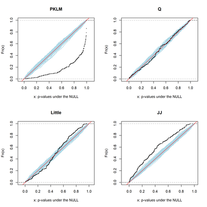
We develop a fully non-parametric, fast, easy-to-use, and powerful test for the missing completely at random (MCAR) assumption on the missingness mechanism of a data set. The test compares distributions of different missing patterns on random projections in the variable space of the data. The distributional differences are measured with the Kullback-Leibler Divergence, using probability Random Forests. We thus refer to it as "Projected Kullback-Leibler MCAR" (PKLM) test. The use of random projections makes it applicable even if very little or no fully observed observations are available or if the number of dimensions is large. An efficient permutation approach guarantees the level for any finite sample size, resolving a major shortcoming of most other available tests. Moreover, the test can be used on both discrete and continuous data. We show empirically on a range of simulated data distributions and real data sets that our test has consistently high power and is able to avoid inflated type I errors. Finally, we provide an R-package \texttt{PKLMtest} with an implementation of our test.


翻译:我们开发了一个完全非参数、快速、易用和强大的测试,用于对数据集缺失机制的随机完全丢失的假设(MCAR) 。 测试比较了数据可变空间中随机预测的不同缺失模式的分布。 分布差异与 Kullback- Leibel differgence 使用概率随机森林测量。 因此, 我们把它称为“ 预测 Kullback- Leibel MCAR( PKLM) ” 测试。 随机预测的使用使得它适用, 即使很少或没有完全观测到的观测, 或尺寸很大。 高效的调整方法保证了任何有限样本大小的分布, 解决了大多数其他可用测试的重大缺陷。 此外, 测试可以同时用于离散和连续的数据。 我们从一系列模拟数据分布和真实数据集中实验显示, 我们的测试能力始终很高, 并且能够避免错误的I型错误。 最后, 我们提供了一个 R- package \ textt{PLMstest} 并实施了测试 。

0
下载
关闭预览

相关内容

让 iOS 8 和 OS X Yosemite 无缝切换的一个新特性。 > Apple products have always been designed to work together beautifully. But now they may really surprise you. With iOS 8 and OS X Yosemite, you’ll be able to do more wonderful things than ever before.

Source: Apple - iOS 8
【干货书】机器学习速查手册,135页pdf
专知会员服务
127+阅读 · 2020年11月20日
零样本文本分类,Zero-Shot Learning for Text Classification
专知会员服务
97+阅读 · 2020年5月31日
强化学习最新教程,17页pdf
专知会员服务
182+阅读 · 2019年10月11日
【哈佛大学商学院课程Fall 2019】机器学习可解释性
专知会员服务
105+阅读 · 2019年10月9日
【论文笔记】通俗理解少样本文本分类 (Few-Shot Text Classification) (1)
深度学习自然语言处理
7+阅读 · 2020年4月8日
Hierarchically Structured Meta-learning
CreateAMind
27+阅读 · 2019年5月22日
强化学习的Unsupervised Meta-Learning
CreateAMind
18+阅读 · 2019年1月7日
无监督元学习表示学习
CreateAMind
27+阅读 · 2019年1月4日
Unsupervised Learning via Meta-Learning
CreateAMind
43+阅读 · 2019年1月3日
meta learning 17年:MAML SNAIL
CreateAMind
11+阅读 · 2019年1月2日
vae 相关论文 表示学习 1
CreateAMind
12+阅读 · 2018年9月6日
Hierarchical Disentangled Representations
CreateAMind
4+阅读 · 2018年4月15日
lightgbm algorithm case of kaggle(上)
R语言中文社区
8+阅读 · 2018年3月20日
强化学习 cartpole_a3c
CreateAMind
9+阅读 · 2017年7月21日
Arxiv
5+阅读 · 2020年6月16日
Arxiv
7+阅读 · 2020年3月1日
Meta-Learning with Implicit Gradients
Arxiv
13+阅读 · 2019年9月10日
Arxiv
13+阅读 · 2019年1月26日
Few Shot Learning with Simplex
Arxiv
5+阅读 · 2018年7月27日
VIP会员
相关资讯
【论文笔记】通俗理解少样本文本分类 (Few-Shot Text Classification) (1)
深度学习自然语言处理
7+阅读 · 2020年4月8日
Hierarchically Structured Meta-learning
CreateAMind
27+阅读 · 2019年5月22日
强化学习的Unsupervised Meta-Learning
CreateAMind
18+阅读 · 2019年1月7日
无监督元学习表示学习
CreateAMind
27+阅读 · 2019年1月4日
Unsupervised Learning via Meta-Learning
CreateAMind
43+阅读 · 2019年1月3日
meta learning 17年:MAML SNAIL
CreateAMind
11+阅读 · 2019年1月2日
vae 相关论文 表示学习 1
CreateAMind
12+阅读 · 2018年9月6日
Hierarchical Disentangled Representations
CreateAMind
4+阅读 · 2018年4月15日
lightgbm algorithm case of kaggle(上)
R语言中文社区
8+阅读 · 2018年3月20日
强化学习 cartpole_a3c
CreateAMind
9+阅读 · 2017年7月21日
Top
微信扫码咨询专知VIP会员