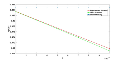
We study a statistical signal processing privacy problem, where an agent observes useful data $Y$ and wants to reveal the information to a user. Since the useful data is correlated with the private data $X$, the agent employs a privacy mechanism to generate data $U$ that can be released. We study the privacy mechanism design that maximizes the revealed information about $Y$ while satisfying a strong $\ell_1$-privacy criterion. When a sufficiently small leakage is allowed, we show that the optimizer vectors of the privacy mechanism design problem have a specific geometry, i.e., they are perturbations of fixed vector distributions. This geometrical structure allows us to use a local approximation of the conditional entropy. By using this approximation the original optimization problem can be reduced to a linear program so that an approximate solution for privacy mechanism can be easily obtained. The main contribution of this work is to consider non-zero leakage with a non-invertible leakage matrix. In an example inspired by water mark application, we first investigate the accuracy of the approximation. Then, we employ different measures for utility and privacy leakage to compare the privacy-utility trade-off using our approach with other methods. In particular, it has been shown that by allowing small leakage, significant utility can be achieved using our method compared to the case where no leakage is allowed.


翻译:我们研究一个统计信号处理隐私问题,其中代理商观测有用的数据,但希望向用户披露有关信息。由于有用的数据与私人数据挂钩,该代理商使用一个隐私机制生成能够释放的数据美元美元。我们研究一个隐私机制设计,在满足强烈的1美元1美元隐私标准的同时,将披露的信息最大化。当允许足够小的渗漏时,我们显示,隐私机制设计问题的最佳矢量具有特定的几何,即它们是固定矢量分布的干扰。这一几何结构允许我们使用一个本地的有条件的矢量分布近似。通过使用这一近似,最初的优化问题可以降低为线性程序,这样可以很容易地获得对隐私机制的近似解决办法。这项工作的主要贡献是考虑非零渗漏,使用非垂直的渗漏矩阵。在水标记应用的启发下,我们首先调查近差的准确性。然后,我们使用不同的实用性和隐私渗漏措施来比较有条件的诱导的诱导。通过使用显著的渗漏方法,我们无法使用其他的方法来比较重要的渗漏法。

0
下载
关闭预览

相关内容

《计算机信息》杂志发表高质量的论文,扩大了运筹学和计算的范围,寻求有关理论、方法、实验、系统和应用方面的原创研究论文、新颖的调查和教程论文,以及描述新的和有用的软件工具的论文。官网链接:https://pubsonline.informs.org/journal/ijoc
剑桥大学《数据科学: 原理与实践》课程,附PPT下载
专知会员服务
54+阅读 · 2021年1月20日
专知会员服务
41+阅读 · 2020年9月6日
Python分布式计算,171页pdf,Distributed Computing with Python
专知会员服务
108+阅读 · 2020年5月3日
因果图,Causal Graphs,52页ppt
专知会员服务
253+阅读 · 2020年4月19日
【哈佛大学商学院课程Fall 2019】机器学习可解释性
专知会员服务
105+阅读 · 2019年10月9日
【泡泡汇总】CVPR2019 SLAM Paperlist
泡泡机器人SLAM
14+阅读 · 2019年6月12日
Hierarchically Structured Meta-learning
CreateAMind
27+阅读 · 2019年5月22日
Transferring Knowledge across Learning Processes
CreateAMind
29+阅读 · 2019年5月18日
强化学习的Unsupervised Meta-Learning
CreateAMind
18+阅读 · 2019年1月7日
Unsupervised Learning via Meta-Learning
CreateAMind
43+阅读 · 2019年1月3日
meta learning 17年:MAML SNAIL
CreateAMind
11+阅读 · 2019年1月2日
Disentangled的假设的探讨
CreateAMind
9+阅读 · 2018年12月10日
【SIGIR2018】五篇对抗训练文章
专知
12+阅读 · 2018年7月9日
Hierarchical Disentangled Representations
CreateAMind
4+阅读 · 2018年4月15日
【推荐】RNN/LSTM时序预测
机器学习研究会
25+阅读 · 2017年9月8日
Arxiv
0+阅读 · 2021年9月16日
Distributed Vertex Cover Reconfiguration
Arxiv
0+阅读 · 2021年9月14日
VIP会员
相关资讯
【泡泡汇总】CVPR2019 SLAM Paperlist
泡泡机器人SLAM
14+阅读 · 2019年6月12日
Hierarchically Structured Meta-learning
CreateAMind
27+阅读 · 2019年5月22日
Transferring Knowledge across Learning Processes
CreateAMind
29+阅读 · 2019年5月18日
强化学习的Unsupervised Meta-Learning
CreateAMind
18+阅读 · 2019年1月7日
Unsupervised Learning via Meta-Learning
CreateAMind
43+阅读 · 2019年1月3日
meta learning 17年:MAML SNAIL
CreateAMind
11+阅读 · 2019年1月2日
Disentangled的假设的探讨
CreateAMind
9+阅读 · 2018年12月10日
【SIGIR2018】五篇对抗训练文章
专知
12+阅读 · 2018年7月9日
Hierarchical Disentangled Representations
CreateAMind
4+阅读 · 2018年4月15日
【推荐】RNN/LSTM时序预测
机器学习研究会
25+阅读 · 2017年9月8日
Top
微信扫码咨询专知VIP会员