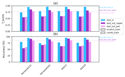
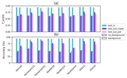
Unsustainable trade in wildlife is one of the major threats affecting the global biodiversity crisis. An important part of the trade now occurs on the internet, especially on digital marketplaces and social media. Automated methods to identify trade posts are needed as resources for conservation are limited. Here, we developed machine vision models based on Deep Neural Networks with the aim to automatically identify images of exotic pet animals for sale. A new training dataset representing exotic pet animals advertised for sale on the web was generated for this purpose. We trained 24 neural-net models spanning a combination of five different architectures, three methods of training and two types of datasets. Specifically, model generalisation improved after setting a portion of the training images to represent negative features. Models were evaluated on both within and out of distribution data to test wider model applicability. The top performing models achieved an f-score of over 0.95 on within distribution evaluation and between 0.75 to 0.87 on the two out of distribution datasets. Notably, feature visualisation indicated that models performed well in detecting the surrounding context (e.g. a cage) in which an animal was located, therefore helping to automatically detect images of animals in non-natural environments. The proposed methods can help investigate the online wildlife trade, but can also be adapted to study other types of people-nature interactions from digital platforms. Future studies can use these findings to build robust machine learning models and new data collection pipelines for more taxonomic groups.


翻译:野生生物的不可持续贸易是影响全球生物多样性危机的主要威胁之一。目前,在互联网上,特别是在数字市场和社交媒体上,这一贸易的一个重要部分正在发生。需要自动确定贸易职位的方法,因为保护资源有限。在这里,我们开发了基于深神经网络的机器愿景模型,目的是自动识别供销售的外来宠物图像。为此产生了一个新的培训数据集,代表了在网络上广告出售的外来宠物。我们培训了24个神经网模型,这些模型涵盖五种不同的结构、三种培训方法和两种数据集的组合。具体地说,在设定部分培训图像以体现负面特征之后,模型的概括化得到了改进。对模型进行了内部和外部分配数据的评估,以测试更广泛的模型适用性。最先进的模型在分销评价中实现了超过0.95的峰值,在两种分销数据集中实现了0.75到0.87到0.87到0.87之间。特别的可视觉可视化显示模型在探测周围环境(例如笼子)方面表现良好。动物所在的机械化模型,因此有助于自动检测非自然环境中的动物贸易图象,因此也可以进行在线研究。

1
下载
关闭预览

相关内容

ACM/IEEE第23届模型驱动工程语言和系统国际会议,是模型驱动软件和系统工程的首要会议系列,由ACM-SIGSOFT和IEEE-TCSE支持组织。自1998年以来,模型涵盖了建模的各个方面,从语言和方法到工具和应用程序。模特的参加者来自不同的背景,包括研究人员、学者、工程师和工业专业人士。MODELS 2019是一个论坛,参与者可以围绕建模和模型驱动的软件和系统交流前沿研究成果和创新实践经验。今年的版本将为建模社区提供进一步推进建模基础的机会,并在网络物理系统、嵌入式系统、社会技术系统、云计算、大数据、机器学习、安全、开源等新兴领域提出建模的创新应用以及可持续性。 官网链接:http://www.modelsconference.org/
Keras François Chollet 《Deep Learning with Python 》, 386页pdf
专知会员服务
163+阅读 · 2019年10月12日
[综述]深度学习下的场景文本检测与识别
专知会员服务
78+阅读 · 2019年10月10日
机器学习入门的经验与建议
专知会员服务
94+阅读 · 2019年10月10日
【哈佛大学商学院课程Fall 2019】机器学习可解释性
专知会员服务
105+阅读 · 2019年10月9日
【SIGGRAPH2019】TensorFlow 2.0深度学习计算机图形学应用
专知会员服务
41+阅读 · 2019年10月9日
VCIP 2022 Call for Demos
CCF多媒体专委会
1+阅读 · 2022年6月6日
VCIP 2022 Call for Special Session Proposals
CCF多媒体专委会
1+阅读 · 2022年4月1日
ACM MM 2022 Call for Papers
CCF多媒体专委会
5+阅读 · 2022年3月29日
IEEE TII Call For Papers
CCF多媒体专委会
3+阅读 · 2022年3月24日
【ICIG2021】Check out the hot new trailer of ICIG2021 Symposium8
中国图象图形学学会CSIG
0+阅读 · 2021年11月16日
【ICIG2021】Check out the hot new trailer of ICIG2021 Symposium1
中国图象图形学学会CSIG
0+阅读 · 2021年11月3日
Transferring Knowledge across Learning Processes
CreateAMind
29+阅读 · 2019年5月18日
Unsupervised Learning via Meta-Learning
CreateAMind
43+阅读 · 2019年1月3日
ResNet, AlexNet, VGG, Inception:各种卷积网络架构的理解
全球人工智能
20+阅读 · 2017年12月17日
【推荐】ResNet, AlexNet, VGG, Inception:各种卷积网络架构的理解
机器学习研究会
20+阅读 · 2017年12月17日
国家自然科学基金
1+阅读 · 2014年12月31日
国家自然科学基金
0+阅读 · 2013年12月31日
国家自然科学基金
1+阅读 · 2013年12月31日
国家自然科学基金
0+阅读 · 2013年12月31日
国家自然科学基金
0+阅读 · 2012年12月31日
国家自然科学基金
0+阅读 · 2012年12月31日
国家自然科学基金
0+阅读 · 2012年12月31日
国家自然科学基金
0+阅读 · 2011年12月31日
国家自然科学基金
0+阅读 · 2009年12月31日
国家自然科学基金
0+阅读 · 2009年12月31日
Arxiv
0+阅读 · 2022年7月8日
Detect what you want: Target Sound Detection
Arxiv
0+阅读 · 2022年7月7日
Generalized Out-of-Distribution Detection: A Survey
Arxiv
15+阅读 · 2021年10月21日
Arxiv
20+阅读 · 2020年6月8日
Arxiv
11+阅读 · 2019年4月15日
VIP会员
相关资讯
VCIP 2022 Call for Demos
CCF多媒体专委会
1+阅读 · 2022年6月6日
VCIP 2022 Call for Special Session Proposals
CCF多媒体专委会
1+阅读 · 2022年4月1日
ACM MM 2022 Call for Papers
CCF多媒体专委会
5+阅读 · 2022年3月29日
IEEE TII Call For Papers
CCF多媒体专委会
3+阅读 · 2022年3月24日
【ICIG2021】Check out the hot new trailer of ICIG2021 Symposium8
中国图象图形学学会CSIG
0+阅读 · 2021年11月16日
【ICIG2021】Check out the hot new trailer of ICIG2021 Symposium1
中国图象图形学学会CSIG
0+阅读 · 2021年11月3日
Transferring Knowledge across Learning Processes
CreateAMind
29+阅读 · 2019年5月18日
Unsupervised Learning via Meta-Learning
CreateAMind
43+阅读 · 2019年1月3日
ResNet, AlexNet, VGG, Inception:各种卷积网络架构的理解
全球人工智能
20+阅读 · 2017年12月17日
【推荐】ResNet, AlexNet, VGG, Inception:各种卷积网络架构的理解
机器学习研究会
20+阅读 · 2017年12月17日
相关论文
相关基金
国家自然科学基金
1+阅读 · 2014年12月31日
国家自然科学基金
0+阅读 · 2013年12月31日
国家自然科学基金
1+阅读 · 2013年12月31日
国家自然科学基金
0+阅读 · 2013年12月31日
国家自然科学基金
0+阅读 · 2012年12月31日
国家自然科学基金
0+阅读 · 2012年12月31日
国家自然科学基金
0+阅读 · 2012年12月31日
国家自然科学基金
0+阅读 · 2011年12月31日
国家自然科学基金
0+阅读 · 2009年12月31日
国家自然科学基金
0+阅读 · 2009年12月31日
Top
微信扫码咨询专知VIP会员