TPAMI 2022 | 利用子图同构计数提升图神经网络的表达能力

2022 年 10 月 28 日 PaperWeekly

©作者 | 桑士龙
来源 | MIND Laboratory


论文标题:
Improving Graph Neural Network Expressivity via Subgraph Isomorphism Counting

论文地址:

https://arxiv.org/pdf/2006.09252.pdf




论文介绍


尽管图神经网络(GNNs)在很多的应用中都取得了很大的成绩,但是最近研究发现 GNNs 捕捉底层图结构上仍然有缺陷。研究表明标准的 GNNs 表达能力受到 Weisfeiler-Leman(WL)图同构测试的限制,例如无法检测和计数图的子结构,然而在一些任务中的子结构往往与下游任务密切相关。因此,本文提出了图结构网络(GSN),是一种基于子结构编码的拓扑感知的消息传递方案,并分析了 GSN 的表达能力,证明了它比 WL test 的表达能力更强,还证明了它的普适性。


在复杂的网络中,子结构是十分重要的,但是大多数 GNNs 依靠多个消息传递过程来使该节点发现全图的结构。


本文提出了三个问题:


(1)如何超越各向同性,也就是局部对称和聚合函数


(2)如何确保 GNNs 知道图的结构?


(3)如何不牺牲同构性和 GNNs 泛化能力的前提下实现上述的目标?


作者首先通过在聚合函数中引入结构信息来打破局部对称问题:每个邻居(消息)的贡献根据其与节点中心的结构关系进行不同的转换,这些关系是通过计算某些子结构的外观来表示的。这样可以解决问题 1 和问题 2,而子结构对顶点的排列是不变的,所以 GNNs 对同构是不变的,因此可以解决问题 3。




基本概念

表示图 G, 是一张子图,其中 .


2.1 同构和自同构

如果存在邻接保留双向映射(adjacency-preserving bijective mapping) ,即若 ,使得 ,则称图 G 和图 H 同构,记为 。对于给定的一个小图 H,子图同构问题相当于找到图 G 中的一个子图 使得 ,而 H 的自同构则是将 H 映射到自身上,所有唯一的自同构集合形成了图的自同构群,它包含了图的所有可能的对称,记为 Aut(H)。

自同构群将顶点划分为 的不相交子集,这个子集称为“轨道”。这可以通过对顶点的结构角色进行划分,例如在图 1 中一条路径上的末端点,或者一个环上的所有顶点。


一个节点 的轨道,是它可以通过自同构映射到的节点集合


当所有轨道的集合作用于图 H 上时:


称为自同构的商。文中主要关注的是集合中唯一的元素 其中 是商的基数。
文中同样通过对边的自同构定义了边的结构角色,也就是从边到它自身的双向映射,保持了边的邻接性(如果两条边共享一个端点,则它们就是相邻的)。每个顶点自同构 g 通过将每条边 (u,v) 映射到 (g(u), g(v)) 来产生边自同构。文中同样构造了边自同构群,并推导了边集合在边轨道上的划分
2.2 Weisfeiler-Leman tests

WL test 是判断两个图是否同构的快速启发式,每个顶点 v 最初被分配一个颜色 ,并通过聚合邻居信息迭代改进:


其中:

表示一个多重集(允许元素重复的集合),N(v) 表示节点 v 的邻居。WL 算法在颜色停止变化时停止,并输出颜色的直方图。具有不同直方图的两个图不是同构的,但如果直方图相同,这两个图也有可能不同构。




实验过程


图由具有重复结构角色的节点或者边组成,但是 GNNs 中的节点被当做同样的角色进行操作,因此不知道节点的不同结构角色。尽管最初直觉认为 GNNs 可以通过构造更深层的架构来发现这些角色的不同,但实际上 GNNs 并不能达到这个目的,并且无视结构的属性,例如三角形或者更大的循环。因此,文中显式的将结构角色编码为消息传递的一部分。


定义一个小的连接图 ,对于每一个 ,首先找到他在 G 中的同构子图 。对于每一个节点 ,通过获取它在 H 中映射的轨道 f(v) 来推断它在 H 中的角色 。通过计算 v 中不同轨道的所有可能出现的情况,可以获得顶点 v 的结构特征


存在 |Aut(H)| 不同函数 f 可以将子图 映射到 H,但是他们中的任何一个都可以用来确定每个节点 v 的轨道映射。结合 H 中不同子结构和不同轨道计数,得到特征向量:


其中维度 同样可以通过计算边自同构轨道出现次数得到边特征:


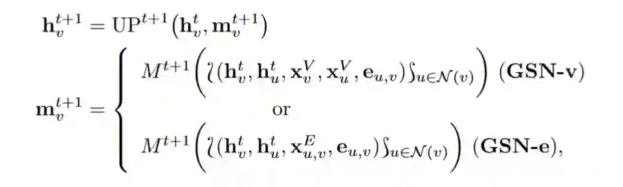
3.1 结构消息传递


图子结构层定义为消息传递网络(MPNN),其中也传递了结构信息。每个节点 v 通过将之前的状态与聚合的消息结合起来更新自身的状态  


其中 是一个任意的函数逼近器,例如 MLP; 是一个邻居聚合函数; 是边特征。GSN-v 和 GSN-e 分别对应顶点计数和边计数。


3.2 GSNs的性能


文中给出了定理 3.1 已经它的证明。因为 GSN 模型包含 MPNN,因此其至少具有和 MPNN 一样的表达能力,也证明了 GSN 至少与 1 阶 WL test 具有同样的表达能力。



除了表达性能的证明外,文中还证明了 GSNs 的普适性:因为子结构集合 H 包含了所有大小为 k=n-1 的图,所以 GSN 可以区分所有大小为 n 的非同构图,因此具有普适性。


对于集合中的每个图 H,顶点结构标识符可以由相应的边标识符重构,因此可以证明对于每一个 GSN-v,都存在一个 GSN-e 可以模拟 GSN-v 的行为。



图 3 针对最坏的情况对计数算法的运行时间进行了定量分析,针对三种不同的图分布:分子、蛋白质联系图、社交网络。当图是稀疏的(对于前两种情况),匹配的数量很少,算法比最坏的情况要快得多,同时随着图 n 的大小,它的伸缩性更好。在社交网络图中,运行时间也比最坏情况更好。




实验结果

测试了 TUD 数据集上的图分类精度,在大部分数据集上 GSN 取得了最好的精确度。



测试 ZINC 数据集中的平均绝对误差(MAE),GSN 的平均绝对误差最小,且远小于 GCN。



图 5 比较了不同子结构族(循环、路径和非同构树:每个实验都使用家族中所有大小 ≤ k 的子结构)的训练和测试误差



GSN 在各种数据集上获得了较高的性能,并且常常优于其他传统的消息传递网络的性能。





总结


本文提出了一种设计结构感知图神经网络的新方法。由于传统 GNNs 在捕获图的重要拓扑属性方面存在局限性,作者制定了一种消息传递方案,增强了通过子图同构提取的结构特征。最后通过实验验证了这个模型可以改进表达能力,并在现实场景中获得了最先进的性能。


更多阅读



#投 稿 通 道#

 让你的文字被更多人看到 



如何才能让更多的优质内容以更短路径到达读者群体,缩短读者寻找优质内容的成本呢?答案就是:你不认识的人。


总有一些你不认识的人,知道你想知道的东西。PaperWeekly 或许可以成为一座桥梁,促使不同背景、不同方向的学者和学术灵感相互碰撞,迸发出更多的可能性。 


PaperWeekly 鼓励高校实验室或个人,在我们的平台上分享各类优质内容,可以是最新论文解读,也可以是学术热点剖析科研心得竞赛经验讲解等。我们的目的只有一个,让知识真正流动起来。


📝 稿件基本要求:

• 文章确系个人原创作品,未曾在公开渠道发表,如为其他平台已发表或待发表的文章,请明确标注 

• 稿件建议以 markdown 格式撰写,文中配图以附件形式发送,要求图片清晰,无版权问题

• PaperWeekly 尊重原作者署名权,并将为每篇被采纳的原创首发稿件,提供业内具有竞争力稿酬,具体依据文章阅读量和文章质量阶梯制结算


📬 投稿通道:

• 投稿邮箱:hr@paperweekly.site 

• 来稿请备注即时联系方式(微信),以便我们在稿件选用的第一时间联系作者

• 您也可以直接添加小编微信(pwbot02)快速投稿,备注:姓名-投稿


△长按添加PaperWeekly小编



🔍


现在,在「知乎」也能找到我们了

进入知乎首页搜索「PaperWeekly」

点击「关注」订阅我们的专栏吧


·

登录查看更多
1

相关内容

【NeurIPS 2022】张量分解图神经网络的高阶池化
专知会员服务
24+阅读 · 2022年11月29日
【ICML2022】深入研究置换敏感的图神经网络
专知会员服务
16+阅读 · 2022年7月31日
【AAAI2022】同时适用于同质和异质性的图神经网络
专知会员服务
32+阅读 · 2022年1月3日
专知会员服务
41+阅读 · 2021年6月10日
专知会员服务
28+阅读 · 2021年5月2日
【ICLR2021】通过多种自监督方式提升GAT中注意力
专知会员服务
44+阅读 · 2021年2月27日
【AAAI2021-斯坦福】身份感知的图神经网络
专知会员服务
39+阅读 · 2021年1月27日
专知会员服务
57+阅读 · 2021年1月26日
专知会员服务
38+阅读 · 2020年11月24日
NeurIPS 2022 | 利用子图和结点的对称性提升子图GNN
ICLR'22| 如何提升任意GNN的表现能力?
图与推荐
0+阅读 · 2022年4月15日
NeurIPS 2021:半监督节点分类中的拓扑不平衡学习
图与推荐
1+阅读 · 2021年11月7日
图神经网络三剑客:GCN、GAT与GraphSAGE
PaperWeekly
65+阅读 · 2020年2月27日
国家自然科学基金
0+阅读 · 2015年12月31日
国家自然科学基金
0+阅读 · 2015年12月31日
国家自然科学基金
0+阅读 · 2012年12月31日
国家自然科学基金
1+阅读 · 2012年12月31日
国家自然科学基金
0+阅读 · 2012年12月31日
国家自然科学基金
0+阅读 · 2012年12月31日
国家自然科学基金
0+阅读 · 2012年12月31日
国家自然科学基金
1+阅读 · 2012年12月31日
国家自然科学基金
0+阅读 · 2011年12月31日
国家自然科学基金
0+阅读 · 2009年12月31日
Arxiv
27+阅读 · 2020年6月19日
Arxiv
102+阅读 · 2020年3月4日
Position-aware Graph Neural Networks
Arxiv
15+阅读 · 2019年6月11日
Deep Graph Infomax
Arxiv
17+阅读 · 2018年12月21日
Arxiv
11+阅读 · 2018年10月17日
Arxiv
26+阅读 · 2018年2月27日
VIP会员
相关VIP内容
【NeurIPS 2022】张量分解图神经网络的高阶池化
专知会员服务
24+阅读 · 2022年11月29日
【ICML2022】深入研究置换敏感的图神经网络
专知会员服务
16+阅读 · 2022年7月31日
【AAAI2022】同时适用于同质和异质性的图神经网络
专知会员服务
32+阅读 · 2022年1月3日
专知会员服务
41+阅读 · 2021年6月10日
专知会员服务
28+阅读 · 2021年5月2日
【ICLR2021】通过多种自监督方式提升GAT中注意力
专知会员服务
44+阅读 · 2021年2月27日
【AAAI2021-斯坦福】身份感知的图神经网络
专知会员服务
39+阅读 · 2021年1月27日
专知会员服务
57+阅读 · 2021年1月26日
专知会员服务
38+阅读 · 2020年11月24日
相关资讯
NeurIPS 2022 | 利用子图和结点的对称性提升子图GNN
ICLR'22| 如何提升任意GNN的表现能力?
图与推荐
0+阅读 · 2022年4月15日
NeurIPS 2021:半监督节点分类中的拓扑不平衡学习
图与推荐
1+阅读 · 2021年11月7日
图神经网络三剑客:GCN、GAT与GraphSAGE
PaperWeekly
65+阅读 · 2020年2月27日
相关基金
国家自然科学基金
0+阅读 · 2015年12月31日
国家自然科学基金
0+阅读 · 2015年12月31日
国家自然科学基金
0+阅读 · 2012年12月31日
国家自然科学基金
1+阅读 · 2012年12月31日
国家自然科学基金
0+阅读 · 2012年12月31日
国家自然科学基金
0+阅读 · 2012年12月31日
国家自然科学基金
0+阅读 · 2012年12月31日
国家自然科学基金
1+阅读 · 2012年12月31日
国家自然科学基金
0+阅读 · 2011年12月31日
国家自然科学基金
0+阅读 · 2009年12月31日
相关论文
Arxiv
27+阅读 · 2020年6月19日
Arxiv
102+阅读 · 2020年3月4日
Position-aware Graph Neural Networks
Arxiv
15+阅读 · 2019年6月11日
Deep Graph Infomax
Arxiv
17+阅读 · 2018年12月21日
Arxiv
11+阅读 · 2018年10月17日
Arxiv
26+阅读 · 2018年2月27日
Top
微信扫码咨询专知VIP会员