神经网络图的简介(基本概念,DeepWalk以及GraphSage算法)

2019 年 3 月 5 日 AI研习社

本文为 AI 研习社编译的技术博客,原标题 :

A Gentle Introduction to Graph Neural Networks (Basics, DeepWalk, and GraphSage)

作者 | 黃功詳 Steeve HuangFollow

翻译 | GuardSkill、丝特芬妮•理           

校对 | 酱番梨        审核 | 约翰逊·李加薪       整理 | 立鱼王

原文链接:

https://towardsdatascience.com/a-gentle-introduction-to-graph-neural-network-basics-deepwalk-and-graphsage-db5d540d50b3

注:本文的相关链接请访问文末二维码


图片来源: Pexels 

近来,图神经网络(GNN)在各个领域广受关注,比如社交网络,知识图谱,推荐系统以及生命科学。GNN在对图节点之间依赖关系进行建模的强大功能使得与图分析相关的研究领域取得了突破。 本文旨在介绍图形神经网络的基础知识两种较高级的算法,DeepWalk和GraphSage。


  

在我们学习GAN之前,大家先了解一下什么图。在计算机科学中,图是一种数据结构,由顶点和边组成。图G可以通过顶点集合V和它包含的边E来进行描述。

根据顶点之间是否存在方向性,边可以是有向或无向的。


顶点通常称为节点。在本文中,这两个术语是可以互换的。


  图神经网络

图神经网络是一种直接在图结构上运行的神经网络。GNN的一个典型应用是节点分类。本质上,图中的每个节点都与一个标签相关联,我们希望预测未标记节点的标签。本节将介绍论文中描述的算法,GNN的第一个提法,因此通常被视为原始GNN。

在节点分类问题中,每个节点v都可以用其特征x_v表示并且与已标记的标签t_v相关联。给定部分标记的图G,目标是利用这些标记的节点来预测未标记的节点标签。 它通过学习得到每个节点的d维向量(状态)表示h_v,同时包含其邻居的信息。


https://arxiv.org/pdf/1812.08434  

x_co[v] 代表连接顶点v的边的特征,h_ne[v]代表顶点v的邻居节点的嵌入表示,x_ne[v]代表顶点v的邻居节点特征。f是将输入投影到d维空间的转移函数。由于要求出h_v的唯一解,我们应用Banach不动点理论重写上述方程进行迭代更新。

https://arxiv.org/pdf/1812.08434  

H和X分别表示所有h和x的连接。

通过将状态h_v以及特征x_v传递给输出函数g来计算GNN的输出。

https://arxiv.org/pdf/1812.08434  

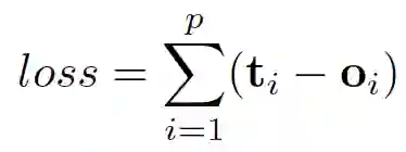
这里的f和g都可以解释为全连接前馈神经网络。 L1损失可以直接表述如下:

https://arxiv.org/pdf/1812.08434  

可以通过梯度下降优化。

但是,本文指出的原始GNN有三个主要局限:

  1. 如果放宽了“固定点”的假设,则可以利用多层感知器来学习更稳定的表示,并删除迭代更新过程。 这是因为,在原始方法中,不同的迭代使用转移函数f的相同参数,而不同MLP层中的不同参数允许分层特征提取。

  2. 它不能处理边缘信息(例如知识图谱中的不同边可能表示节点之间的不同关系)

  3. 固定点会限制节点分布的多样化,因此可能不适合学习节点表示。

已经提出了几种GNN变体来解决上述问题。 但是,他们不是这篇文章的重点。


  DeepWalk

DeepWalk是第一个以无监督学习的节点嵌入算法。 它在训练过程中类似于词嵌入。 它的初衷是图中的两个节点分布和语料库中的单词分布都遵循幂律,如下图所示:

http://www.perozzi.net/publications/14_kdd_deepwalk.pdf

算法包括两个步骤:

  1. 在图中的节点上执行随机游走生成节点序列

  2. 运行skip-gram,根据步骤1中生成的节点序列学习每个节点的嵌入

在随机游走过程中,下一个节点是从前一节点的邻居统一采样。 然后将每个序列截短为长度为2 | w |+1的子序列,其中w表示skip-gram中的窗口大小。如果您不熟悉skip-gram,我之前的博客文章已经向您介绍它的工作原理。

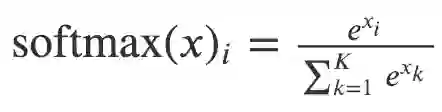
在论文中,分层softmax用于解决由于节点数量庞大而导致的softmax计算成本过高的问题。为了计算每个单独输出元素的softmax值,我们必须为所有元素k计算ek。


softmax的定义

因此,原始softmax的计算时间是 O(|V|) ,其中其中V表示图中的顶点集。

多层的softmax利用二叉树来解决softmax计算成本问题。 在二叉树中,所有叶子节点(上面所说的图中的v1,v2,... v8)都是图中的顶点。 在每个内部节点中(除了叶子节点以外的节点,也就是分枝结点),都通过一个二元分类器来决定路径的选取。 为了计算某个顶点v_k的概率,可以简单地计算沿着从根节点到叶子节点v_k的路径中的每个子路径的概率。 由于每个节点的孩子节点的概率和为1,因此在多层softmax中,所有顶点的概率之和等于1的特性仍然能够保持。如果n是叶子的数量,二叉树的最长路径由O(log(n))限定,因此,元素的计算时间复杂度将减少到O(log | V |)。

多层softmax

(http://www.perozzi.net/publications/14_kdd_deepwalk.pdf)  

在训练DeepWalk GNN之后,模型已经学习到了了每个节点的良好表示,如下图所示。 不同的颜色在输入图中(图a)表示不同标签。 我们可以看到,在输出图(每个顶点被嵌入到2维平面)中,具有相同标签的节点聚集在一起,而具有不同标签的大多数节点被正确分开。


http://www.perozzi.net/publications/14_kdd_deepwalk.pdf  

然而,DeepWalk的主要问题是它缺乏泛化能力。 每当有新节点加入到图中时,它必须重新训练模型以正确表示该节点( 直推式学习 )。 因此,这种GNN不适用于图中节点不断变化的动态图。


  GraphSage

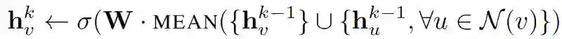
GraphSage提供了解决上述问题的解决方案,它以归纳方式学习每个节点的嵌入。 具体来讲,它将每个节点用其邻域的聚合重新表示。 因此,即使在训练时间期间未出现在图中新节点,也仍然可以由其相邻节点正确地表示。 下图展示了GraphSage的算法过程。


https://www-cs-faculty.stanford.edu/people/jure/pubs/graphsage-nips17.pdf  

外层for循环表示更新迭代次数,而 h^k_v  表示节点v 在迭代第 k  次时的本征向量。 在每次迭代时,将通过聚合函数,前一次迭代中 v 和 v 领域的本征向量以及权重矩阵W^k 来更新h^k_v 。这篇论文提出了三种聚合函数:

1.均值聚合器:

均值聚合器取一个节点及其邻域的本征向量的平均值。


https://www-cs-faculty.stanford.edu/people/jure/pubs/graphsage-nips17.pdf  

与原始方程相比,它删除了上述伪代码中第5行的连接操作。 这种操作可以被视为"skip-connection" ("跳连接"),这篇论文后面将证明其可以在很大程度上提高模型的性能。 

2. LSTM聚合器:

由于图中的节点没有任何顺序,因此他们通过互换这些节点来随机分配顺序。 

3.池聚合器:

此运算符在相邻顶点集上执行逐元素池化函数。下面显示了最大池的例子:


https://www-cs-faculty.stanford.edu/people/jure/pubs/graphsage-nips17.pdf  

可以用平均池或任何其他对称池函数替换这种最大池函数。尽管均值池和最大池聚合器性能相似,但是池聚合器(也就是说采用最大池函数)被实验证明有最佳的性能。  这篇论文使用max-pooling作为默认聚合函数

损失函数定义如下:


https://www-cs-faculty.stanford.edu/people/jure/pubs/graphsage-nips17.pdf

其中u 和v 共同出现在一定长度的随机游走中,而 v_n 是不与u共同出现的负样本。这种损失函数鼓动节点在投影空间中更靠近嵌入距离更近的节点,而与那些相距很远的节点分离。通过这种方法,节点将获得越来越多其邻域的信息。 

GraphSage通过聚合其附近的节点,可以为看不见的节点生成可表示的嵌入位置。它让节点嵌入的方式可以被应用于涉及动态图的研究领域,这类动态图的图的结构是可以不断变化的。例如,Pinterest采用了GraphSage的扩展版本PinSage作为他们的内容探索系统的核心。


  结束语

您已经学习了图形神经网络,DeepWalk和GraphSage的基础知识。 GNN在复杂图形结构建模中的强大功能确实令人惊讶。鉴于其高效性,我相信GNN将在人工智能的发展中发挥重要作用。如果您觉得我的文章还不错,请不要忘记在Medium和Twitter上关注我,我经常分享AI,ML和DL的高级发展动态。


想要继续查看该篇文章相关链接和参考文献?

点击底部【阅读原文】或长按下方地址/二维码访问

https://ai.yanxishe.com/page/TextTranslation/1485


AI求职百题斩 · 每日一题


每天进步一点点,扫码参与每日一题!


登录查看更多
12

相关内容

DeepWalk是最早提出的基于 Word2vec 的节点向量化模型。其主要思路,就是利用构造节点在网络上的随机游走路径,来模仿文本生成的过程,提供一个节点序列,然后用Skip-gram和Hierarchical Softmax模型对随机游走序列中每个局部窗口内的节点对进行概率建模,最大化随机游走序列的似然概率,并使用最终随机梯度下降学习参数。
【ICML2020】持续图神经网络,Continuous Graph Neural Networks
专知会员服务
151+阅读 · 2020年6月28日
【ICLR2020】图神经网络与图像处理,微分方程,27页ppt
专知会员服务
48+阅读 · 2020年6月6日
【阿尔托大学】图神经网络,Graph Neural Networks,附60页ppt
专知会员服务
184+阅读 · 2020年4月26日
一份简短《图神经网络GNN》笔记,入门小册
专知会员服务
226+阅读 · 2020年4月11日
【CVPR2020】图神经网络中的几何原理连接
专知会员服务
57+阅读 · 2020年4月8日
【图神经网络(GNN)结构化数据分析】
专知会员服务
117+阅读 · 2020年3月22日
【NeurIPS2019】图变换网络:Graph Transformer Network
专知会员服务
112+阅读 · 2019年11月25日
图神经网络三剑客:GCN、GAT与GraphSAGE
PaperWeekly
65+阅读 · 2020年2月27日
图论、图算法与图学习
专知
29+阅读 · 2019年6月24日
图嵌入(Graph embedding)综述
人工智能前沿讲习班
449+阅读 · 2019年4月30日
卷积神经网络简介
AI研习社
7+阅读 · 2019年4月24日
掌握图神经网络GNN基本,看这篇文章就够了
新智元
164+阅读 · 2019年2月14日
图卷积网络介绍及进展【附PPT与视频资料】
人工智能前沿讲习班
24+阅读 · 2019年1月3日
网络表示学习介绍
人工智能前沿讲习班
18+阅读 · 2018年11月26日
【干货】监督学习与无监督学习简介
专知
14+阅读 · 2018年4月4日
深度 | 一文概览图卷积网络基本结构和最新进展
机器之心
17+阅读 · 2017年11月30日
Graph Analysis and Graph Pooling in the Spatial Domain
OD-GCN: Object Detection by Knowledge Graph with GCN
Arxiv
4+阅读 · 2019年9月30日
Arxiv
24+阅读 · 2018年10月24日
Arxiv
12+阅读 · 2018年1月28日
VIP会员
相关VIP内容
【ICML2020】持续图神经网络,Continuous Graph Neural Networks
专知会员服务
151+阅读 · 2020年6月28日
【ICLR2020】图神经网络与图像处理,微分方程,27页ppt
专知会员服务
48+阅读 · 2020年6月6日
【阿尔托大学】图神经网络,Graph Neural Networks,附60页ppt
专知会员服务
184+阅读 · 2020年4月26日
一份简短《图神经网络GNN》笔记,入门小册
专知会员服务
226+阅读 · 2020年4月11日
【CVPR2020】图神经网络中的几何原理连接
专知会员服务
57+阅读 · 2020年4月8日
【图神经网络(GNN)结构化数据分析】
专知会员服务
117+阅读 · 2020年3月22日
【NeurIPS2019】图变换网络:Graph Transformer Network
专知会员服务
112+阅读 · 2019年11月25日
相关资讯
图神经网络三剑客:GCN、GAT与GraphSAGE
PaperWeekly
65+阅读 · 2020年2月27日
图论、图算法与图学习
专知
29+阅读 · 2019年6月24日
图嵌入(Graph embedding)综述
人工智能前沿讲习班
449+阅读 · 2019年4月30日
卷积神经网络简介
AI研习社
7+阅读 · 2019年4月24日
掌握图神经网络GNN基本,看这篇文章就够了
新智元
164+阅读 · 2019年2月14日
图卷积网络介绍及进展【附PPT与视频资料】
人工智能前沿讲习班
24+阅读 · 2019年1月3日
网络表示学习介绍
人工智能前沿讲习班
18+阅读 · 2018年11月26日
【干货】监督学习与无监督学习简介
专知
14+阅读 · 2018年4月4日
深度 | 一文概览图卷积网络基本结构和最新进展
机器之心
17+阅读 · 2017年11月30日
Top
微信扫码咨询专知VIP会员