挑战泛化能力天花板!突破GNN中消息传递范式的限制

2022 年 5 月 5 日 图与推荐


“问渠那得清如许,为有源头活水来”,通过前沿领域知识的学习,从其他研究领域得到启发,对研究问题的本质有更清晰的认识和理解,是自我提高的不竭源泉。为此,我们特别精选论文阅读笔记,开辟“源头活水”专栏,帮助你广泛而深入的阅读科研文献,敬请关注。

来源:知乎—无知影
地址:https://zhuanlan.zhihu.com/p/507111763


编辑:人工智能前沿讲习


消息传递是图神经网络的一种范式,但近些年来研究发现消息传递GNN的表达能力欠佳,不能识别网络中的高阶结构。本文讨论一篇来自ICML2021的文章,介绍GNN如何突破被消息传递范式所限制的表达能力:
http://proceedings.mlr.press/v139/balcilar21a/balcilar21a.pdf
温馨提示:这篇文章也是有代码的哦~
https://github.com/balcilar/gnn-matlang


01


消息传递是什么
消息传递(Message Passing)是图神经网络的一种范式。基于消息传递范式的图神经网络(MPNN)旨在将节点的特征传播到邻居节点上,通常也会考虑添加一些权重来分配邻居之间传播特征的比例。事实上,绝大多数GNN都可以被归纳为消息传递图神经网络(MPNN)。
MPNN的 几种形式——卷积、注意力和广义非线性信息传递
由此,MPNN的第     层     可以被表示为下面这个方程:
   
其中,     表示第s个卷积,定义节点特征如何传播到邻居节点上,最简单的传播方式就是直接传给邻居,即     ;     表示第s个可训练矩阵;     表示激活函数。
根据上述方程可以看出,MPNN 可通过堆叠层数增加参数量,因而MPNN的复杂度往往是线性的。


02


MPNN的问题:表达能力弱
尽管消息传递范式非常流行,但这种结构的图神经网络有一个显著的问题,即表达能力弱。
一般来说,评价某个GNN的表达能力通常看这个GNN能否区别两个图是否同构。下图给出了一对同构图和一对非同构图,而表达能力强的GNN应具有区分它们的能力。
同构图,尽管两个图的节点标号不同,但连接模式相同
非同构图,连接模式不同



03


检验GNN的表达能力:WL图同构测试
表达能力强的GNN能够将两个非同构的图嵌入到特征空间中的两个不同位置,而一个能够识别所有非同构图的GNN就是一个万能逼近器,我们也可以将这种GNN描述为具有很强的泛化能力。
WL测试则是一种识别图同构的方法,因此WL测试经常被用于度量GNN的表达能力。典型的WL测试基于染色方法,且WL测试可以迭代多次,下图展示了1轮迭代的1-WL测试的过程。
1-WL测试,结果11>0表明这是一对非同构图
相关研究表明k-WL测试是有一定规律的。当      ,(k+1)-WL测试的表达能力强于k-WL,但1-WL测试和2-WL测试的表达能力差不多。更重要的是,现有MPNN的表达能力都小于等于1-WL测试。
注:个人认为1-WL能够区分节点,2-WL能够区分节点对(即连边),3-WL能够区分三角模体和更高阶的网络子结构。
有向三角模体



04


设计表达能力更强的MPNN
作者从图谱的角度展开分析,认为迹(trace)和元素乘(element-wise)这两种算子是让MPNN获得超过1-WL表达能力的关键。


  • 迹:矩阵对角线的和
  • 元素乘:矩阵元素按位置相乘


本文中,作者使用元素乘来改造MPNN。这是因为迹算子不足以区分余谱(cospectral)图,类似下面这样的:
余谱图实例
想要直接使用元素乘是不容易的,因为使用元素乘算子区分同构需要用到邻接矩阵的高阶幂(有兴趣可以自己参考原文,这里直接给出结论),但这对于MPNN而言是困难的,因为它不能直接得到这样的高阶幂。更值得注意的是,这样的高阶幂矩阵大概率是稠密的,这使得计算所需的存储空间指数级上升。
解决这个问题的方法是通过设计特别的掩码矩阵      保证高阶幂矩阵的稀疏性,并保留一定长度的感受野(receptive field,指的是某个节点能关联到多远距离的邻居),如感受野长度为1的掩码矩阵      。
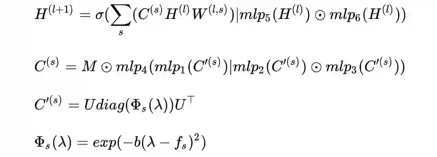
接着文章给出了一个能够满足3-WL表达能力的MPNN,名为GNNML3。相关定理表明,这个MPNN多次卷积等价于图拉普拉斯矩阵(即      )或邻接矩阵的高阶幂:



其中,      表示可训练的模型;      表示图拉普拉斯矩阵的特征向量矩阵,其中的每一列都是图拉普拉斯矩阵的特征向量;      表示图拉普拉斯矩阵的一系列特征值;      函数能够生成一个矩阵,其对角线是输入的向量;      是两个超参数。
最后,作者给出了他的算法(((φ(◎ロ◎;)φ))):



05


这样设计的GNN效果有多好
作者设计了一系列实验以回答下面四个问题:


  1. 多少对1-WL和3-WL等价的非同构图不能被模型区分?
  2. 给定一个图,模型能够对图中的子结构(模体)计数吗?
  3. 模型能够学习到低通、高通和带通滤波器的性质吗?
  4. 模型在下游任务中的表现怎么样?


针对第一个问题,作者在四个数据集上展开图分类任务,结果表明GNNML是最好的。这里提到的几个模型都是图神经网络中比较常见的模型啦,值得注意的是ChebNet表现竟然还不错,这是因为当两个图正则化拉普拉斯矩阵的最大特征值不同时,Cheb Net是能够区分它们的,此时的ChebNet拥有超过1-WL测试的表达能力。此外PPGN的效果也不错,但相比于GNNML的线性复杂度,PPGN的复杂度     还是挺高的
第一个实验结果
针对第二个问题,作者在随机生成的图上计算5种子结构。结果发现表达能力强的模型在子结构计数上的表现都不错。
第二个实验结果
针对第三个问题,作者设计节点回归任务来检验模型是否能学习到三种不同滤波器的性质,并对比了不同模型在图分类任务上的效果。
第三个实验结果
针对第四个任务,作者将模型应用在两个截然不同的场景上,其中ZINC12K是图数据,而MNIST是图片数据。结果显示GNNML在两种完全不同的场景中都能得到比较好的结果。
第四个实验结果



06


一些看法


  1. 逻辑严密,有理有据。推理细节可以参考原文的附录。
  2. 可扩展性有限。预计算图拉普拉斯矩阵的特征向量矩阵     需要用到邻接矩阵,这对于超大规模网络而言代价太高了。


以上就是本文的所有内容啦~


  
  
    

登录查看更多
0

相关内容

「图分类研究」最新2022综述
专知会员服务
99+阅读 · 2022年2月13日
专知会员服务
20+阅读 · 2021年9月12日
专知会员服务
41+阅读 · 2021年6月10日
专知会员服务
28+阅读 · 2021年5月2日
【WWW2021】兴趣感知消息传递图卷积神经网络的推荐
专知会员服务
45+阅读 · 2021年2月23日
专知会员服务
57+阅读 · 2021年1月26日
最新【图神经网络计算】2020综述论文,23页PDF
专知会员服务
193+阅读 · 2020年10月3日
注意力图神经网络的小样本学习
专知会员服务
192+阅读 · 2020年7月16日
专知会员服务
43+阅读 · 2020年7月7日
ICLR'22| 如何提升任意GNN的表现能力?
图与推荐
0+阅读 · 2022年4月15日
「基于GNN的图分类研究」最新2022综述
图与推荐
7+阅读 · 2022年2月14日
【图神经网络入门】GAT图注意力网络
深度学习自然语言处理
28+阅读 · 2020年5月16日
图神经网络火了?谈下它的普适性与局限性
机器之心
22+阅读 · 2019年7月29日
图注意力网络
科技创新与创业
35+阅读 · 2017年11月22日
基于注意力机制的图卷积网络
科技创新与创业
73+阅读 · 2017年11月8日
国家自然科学基金
1+阅读 · 2013年12月31日
国家自然科学基金
0+阅读 · 2013年12月31日
国家自然科学基金
7+阅读 · 2013年12月31日
国家自然科学基金
12+阅读 · 2013年12月31日
国家自然科学基金
0+阅读 · 2012年12月31日
国家自然科学基金
1+阅读 · 2012年12月31日
国家自然科学基金
2+阅读 · 2012年12月31日
国家自然科学基金
0+阅读 · 2012年12月31日
国家自然科学基金
0+阅读 · 2011年12月31日
国家自然科学基金
2+阅读 · 2009年12月31日
Arxiv
13+阅读 · 2022年1月20日
Arxiv
22+阅读 · 2021年12月2日
Arxiv
12+阅读 · 2021年7月26日
Arxiv
24+阅读 · 2021年1月25日
Arxiv
12+阅读 · 2019年3月14日
Arxiv
53+阅读 · 2018年12月11日
Arxiv
11+阅读 · 2018年10月17日
VIP会员
相关VIP内容
「图分类研究」最新2022综述
专知会员服务
99+阅读 · 2022年2月13日
专知会员服务
20+阅读 · 2021年9月12日
专知会员服务
41+阅读 · 2021年6月10日
专知会员服务
28+阅读 · 2021年5月2日
【WWW2021】兴趣感知消息传递图卷积神经网络的推荐
专知会员服务
45+阅读 · 2021年2月23日
专知会员服务
57+阅读 · 2021年1月26日
最新【图神经网络计算】2020综述论文,23页PDF
专知会员服务
193+阅读 · 2020年10月3日
注意力图神经网络的小样本学习
专知会员服务
192+阅读 · 2020年7月16日
专知会员服务
43+阅读 · 2020年7月7日
相关资讯
ICLR'22| 如何提升任意GNN的表现能力?
图与推荐
0+阅读 · 2022年4月15日
「基于GNN的图分类研究」最新2022综述
图与推荐
7+阅读 · 2022年2月14日
【图神经网络入门】GAT图注意力网络
深度学习自然语言处理
28+阅读 · 2020年5月16日
图神经网络火了?谈下它的普适性与局限性
机器之心
22+阅读 · 2019年7月29日
图注意力网络
科技创新与创业
35+阅读 · 2017年11月22日
基于注意力机制的图卷积网络
科技创新与创业
73+阅读 · 2017年11月8日
相关基金
国家自然科学基金
1+阅读 · 2013年12月31日
国家自然科学基金
0+阅读 · 2013年12月31日
国家自然科学基金
7+阅读 · 2013年12月31日
国家自然科学基金
12+阅读 · 2013年12月31日
国家自然科学基金
0+阅读 · 2012年12月31日
国家自然科学基金
1+阅读 · 2012年12月31日
国家自然科学基金
2+阅读 · 2012年12月31日
国家自然科学基金
0+阅读 · 2012年12月31日
国家自然科学基金
0+阅读 · 2011年12月31日
国家自然科学基金
2+阅读 · 2009年12月31日
相关论文
Arxiv
13+阅读 · 2022年1月20日
Arxiv
22+阅读 · 2021年12月2日
Arxiv
12+阅读 · 2021年7月26日
Arxiv
24+阅读 · 2021年1月25日
Arxiv
12+阅读 · 2019年3月14日
Arxiv
53+阅读 · 2018年12月11日
Arxiv
11+阅读 · 2018年10月17日
Top
微信扫码咨询专知VIP会员