NeurIPS 2022 | 利用子图和结点的对称性提升子图GNN

2022 年 11 月 4 日 PaperWeekly

©作者 | 焦子豪
来源 | MIND Laboratory

论文标题:
Understanding and Extending Subgraph GNNs by Rethinking Their Symmetries

论文链接:

http://arxiv.org/abs/2206.11140

代码链接:

https://github.com/beabevi/SUN




论文介绍


子图 GNN 能够将图建模成为子图的集合。时至今日,对于子图 GNN 结构的设计和其性质的理论分析方向仍有待探索。本文研究了子图方法中最重要的部分——基于结点的子图选择策略,如 ego-network/node marketing/node deletion。本文将子图表达能力的上界界定为 3-WL,并设计了新的子图 GNN 模型,称之为 SUN,在理论上统一了之前的子图模型,并在多个数据集上取得了更优越的表现。




动机

目前已有许多工作,旨在提升 GNN 的表达性。其中另辟蹊径在子图领域进行的研究也不在少数。这些方法通常是从原始输入图中提取出子图集 (bags),并在子图集上进行聚合等一系列操作,目的是对原图进行有效的表示。 

从原图中挑选并提取子图有许多策略,选择不同的策略对模型的时间开销和性能表现存在影响。

尽管子图 GNN 拥有广阔的发展前景,我们仍缺少对其系统理解与理论分析。首先,理论上子图方法能够严格超越 WL test,但其 expressive power 的上界仍未可知。其次,在实践上,各种模型之间采取的信息传递和聚合策略是有差别的,是否存在对于信息传递规则的一个通用理解?在这两方面之上,我们既需要对于各种模型表达能力上界进行合理的标定,又希望能够在之后设计出更强大的子图 GNN。 

基于以上,本文提出并解决了两个问题: 1)这些子图 GNN 方法的表达能力上界在哪里;2) 在子图集上进行的等变信息传递层之间的内在联系是什么。  

本文的贡献主要有以下两点:

1. 对在子图集上进行操作的对称性集合提出了新的分析;

2. 提出了 SUN,对之前基于结点的子图 GNN 进行了合理的泛化。




方法


3.1 Subgraph GNNs

子图 GNN 按如下公式计算图 G 的表示:


其中,   是从图 G 生成子图集的子图选择策略。   是对结点和子图进行排列组合的 T 个等变层 是具有不变性的池化函数。 是 MLP;不同的子图 GNN 区别在于采取不同的
一个基于结点的子图选择策略表示为  输入是一张图 G 和一个结点 v。

3.2 基于结点的子图选择策略的symmetries


以往的工作对子图集采取两套排列组合方式:在结点上进行的 和在子图集上进行的
本文观察到,当采用基于结点的选择策略时,子图和结点之间存在一种对应关系,因此本文仅仅采用单个排列组合 同时应用于结点和子图上:


3.3 SubGNNs的上界

在本节中,本文证明了子图 GNN 的上界是 3-WL,原因是能被 3-IGN “inplement”:


3.4 A design space for subGNNs


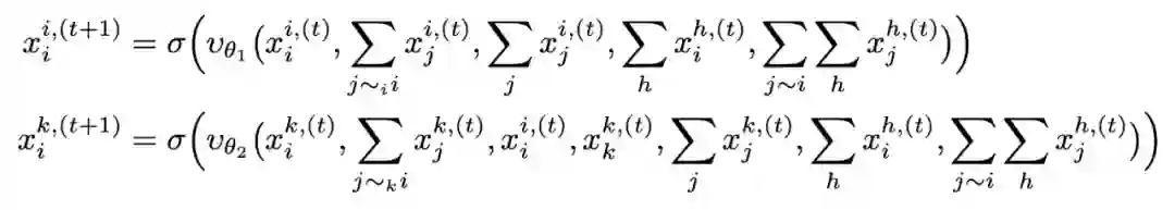
3.5 SUN




实验


人工数据集上的任务是对图中子结构进行计数,SUN 在 4 个任务中的 3 个上表现都最好;真实数据集采用 ZINC-12k,用 MAE 进行衡量,SUN 取得了 SOTA 的结果。


本文测试了当采取训练数据的一小部分时,模型能否仍有效,即模型的泛化能力如何。




总结


本文的工作对现有子图 GNN 的工作进行了统一和拓展,并界定了这些方法的 expressive power 上界是 3-WL。通过对 expressive power 在 1 & 3-WL 之间的模型进行系统研究,提出了子图 GNN 这一类模型的通用理论。在实验部分,本文额外研究了这些模型的泛化能力,其中 SUN 表现最好。


更多阅读



#投 稿 通 道#

 让你的文字被更多人看到 



如何才能让更多的优质内容以更短路径到达读者群体,缩短读者寻找优质内容的成本呢?答案就是:你不认识的人。


总有一些你不认识的人,知道你想知道的东西。PaperWeekly 或许可以成为一座桥梁,促使不同背景、不同方向的学者和学术灵感相互碰撞,迸发出更多的可能性。 


PaperWeekly 鼓励高校实验室或个人,在我们的平台上分享各类优质内容,可以是最新论文解读,也可以是学术热点剖析科研心得竞赛经验讲解等。我们的目的只有一个,让知识真正流动起来。


📝 稿件基本要求:

• 文章确系个人原创作品,未曾在公开渠道发表,如为其他平台已发表或待发表的文章,请明确标注 

• 稿件建议以 markdown 格式撰写,文中配图以附件形式发送,要求图片清晰,无版权问题

• PaperWeekly 尊重原作者署名权,并将为每篇被采纳的原创首发稿件,提供业内具有竞争力稿酬,具体依据文章阅读量和文章质量阶梯制结算


📬 投稿通道:

• 投稿邮箱:hr@paperweekly.site 

• 来稿请备注即时联系方式(微信),以便我们在稿件选用的第一时间联系作者

• 您也可以直接添加小编微信(pwbot02)快速投稿,备注:姓名-投稿


△长按添加PaperWeekly小编



🔍


现在,在「知乎」也能找到我们了

进入知乎首页搜索「PaperWeekly」

点击「关注」订阅我们的专栏吧


·

登录查看更多
0

相关内容

【NeurIPS 2022】张量分解图神经网络的高阶池化
专知会员服务
24+阅读 · 2022年11月29日
NeurIPS2022|基于解耦因果子结构学习的去偏差图神经网络
专知会员服务
20+阅读 · 2021年9月12日
专知会员服务
50+阅读 · 2021年6月2日
专知会员服务
30+阅读 · 2021年2月26日
专知会员服务
38+阅读 · 2020年11月24日
专知会员服务
46+阅读 · 2020年10月22日
八篇NeurIPS 2019【图神经网络(GNN)】相关论文
专知会员服务
44+阅读 · 2020年1月10日
ICLR'22| 如何提升任意GNN的表现能力?
图与推荐
0+阅读 · 2022年4月15日
从ICLR 2022看什么是好的图神经网络?
PaperWeekly
0+阅读 · 2022年2月18日
GNN如何利用图上的边信息?
图与推荐
2+阅读 · 2021年11月14日
GraphSAGE: GCN落地必读论文
AI100
29+阅读 · 2019年8月15日
图注意力网络
科技创新与创业
35+阅读 · 2017年11月22日
国家自然科学基金
0+阅读 · 2015年12月31日
国家自然科学基金
0+阅读 · 2013年12月31日
国家自然科学基金
1+阅读 · 2012年12月31日
国家自然科学基金
1+阅读 · 2012年12月31日
国家自然科学基金
1+阅读 · 2012年12月31日
国家自然科学基金
1+阅读 · 2011年12月31日
国家自然科学基金
0+阅读 · 2009年12月31日
国家自然科学基金
0+阅读 · 2009年12月31日
国家自然科学基金
0+阅读 · 2008年12月31日
国家自然科学基金
0+阅读 · 2008年12月31日
Arxiv
23+阅读 · 2022年2月24日
Identity-aware Graph Neural Networks
Arxiv
14+阅读 · 2021年1月25日
A Survey on Bayesian Deep Learning
Arxiv
64+阅读 · 2020年7月2日
Arxiv
27+阅读 · 2020年6月19日
Arxiv
10+阅读 · 2020年6月12日
Deep Graph Infomax
Arxiv
17+阅读 · 2018年12月21日
Arxiv
53+阅读 · 2018年12月11日
Arxiv
12+阅读 · 2018年9月15日
VIP会员
相关VIP内容
【NeurIPS 2022】张量分解图神经网络的高阶池化
专知会员服务
24+阅读 · 2022年11月29日
NeurIPS2022|基于解耦因果子结构学习的去偏差图神经网络
专知会员服务
20+阅读 · 2021年9月12日
专知会员服务
50+阅读 · 2021年6月2日
专知会员服务
30+阅读 · 2021年2月26日
专知会员服务
38+阅读 · 2020年11月24日
专知会员服务
46+阅读 · 2020年10月22日
八篇NeurIPS 2019【图神经网络(GNN)】相关论文
专知会员服务
44+阅读 · 2020年1月10日
相关资讯
ICLR'22| 如何提升任意GNN的表现能力?
图与推荐
0+阅读 · 2022年4月15日
从ICLR 2022看什么是好的图神经网络?
PaperWeekly
0+阅读 · 2022年2月18日
GNN如何利用图上的边信息?
图与推荐
2+阅读 · 2021年11月14日
GraphSAGE: GCN落地必读论文
AI100
29+阅读 · 2019年8月15日
图注意力网络
科技创新与创业
35+阅读 · 2017年11月22日
相关基金
国家自然科学基金
0+阅读 · 2015年12月31日
国家自然科学基金
0+阅读 · 2013年12月31日
国家自然科学基金
1+阅读 · 2012年12月31日
国家自然科学基金
1+阅读 · 2012年12月31日
国家自然科学基金
1+阅读 · 2012年12月31日
国家自然科学基金
1+阅读 · 2011年12月31日
国家自然科学基金
0+阅读 · 2009年12月31日
国家自然科学基金
0+阅读 · 2009年12月31日
国家自然科学基金
0+阅读 · 2008年12月31日
国家自然科学基金
0+阅读 · 2008年12月31日
相关论文
Arxiv
23+阅读 · 2022年2月24日
Identity-aware Graph Neural Networks
Arxiv
14+阅读 · 2021年1月25日
A Survey on Bayesian Deep Learning
Arxiv
64+阅读 · 2020年7月2日
Arxiv
27+阅读 · 2020年6月19日
Arxiv
10+阅读 · 2020年6月12日
Deep Graph Infomax
Arxiv
17+阅读 · 2018年12月21日
Arxiv
53+阅读 · 2018年12月11日
Arxiv
12+阅读 · 2018年9月15日
Top
微信扫码咨询专知VIP会员