记一个神经网络中出现的混沌图样

2022 年 10 月 13 日 PaperWeekly


©作者 | 叶耿杰

单位 | 武汉大学

研究方向 | 凝聚态物理


自己写的 numpy BP 神经网络(拟合 [0,2] 上的函数 sin(2 pi x)/4+0.5 )第一次跑通,兴奋之余胡乱修改了网络结构。看着 loss 曲线时而下降,时而振荡,突然,有一个网络(代码附在文末)啥也没学到,但给出了熟悉的图案:



赶紧把 loss 曲线的数据小心翼翼的导出来,作散点图,果不其然:



原来训练集为间隔 0.1 采样,反复试验均无分岔图案;当训练集改为间隔 0.05 采样时,出现了分岔图案。

反复运行了好几次,都能出现这种图样,说明与参数初始化无关。

抽去了一个 2 节点 /sigmoid 激活函数的层,仍然出现了类似的分岔图(代码是抽去之后的)。

没有照抄大佬的代码,以下代码说不定有错;但经过试验,取间隔 0.1 采样的数据集,很小的网络规模(1,3,3,1,全 sigmoid),还是能看出它在试图拟合一个函数的。

第一次更新:

补充一些实验结果:

@Horizony大佬 和 @镇戎大佬 所言甚妙:将待拟合的函数换成常函数 y=0.5,仍然出现相同的图样。

分岔的发生与采样点的密度有关;而分岔“合并”的速率与学习率的衰减有关:学习率衰减越快,分岔合并得也越快。不负责任地推测,假设那儿已经有了一张完整的分岔图,而加密采样点起“平移”作用,加快/减慢学习率衰减起伸/缩作用。



注意到上图的散点图出现了一些台阶的特征,这是不必要的设置——每 100 次迭代衰减一次学习率造成的。去除这个设置后,散点图显得更平滑(相应地可以将迭代次数减少到百分之一)。

混沌很可能是 sigmoid 激活函数导致的,而 relu 不起作用:单层,甚至单个 sigmoid 神经元足以产生分岔图样,虽然并不像 Logistic。



解析计算似乎有希望了?

目前为止,最令我惊讶的是,我本以为最无关的参数——采样间隔,反而是控制着分岔图样出现的最关键参数,实在匪夷所思。

会不会有这么一种可能:每个神经网络的 loss 曲线都是某个混沌映射的反向的图样,只是平时因为位置或伸缩不合适而看不出来?

第二次更新:

非常感谢各位大佬推荐的论文和从动力系统的角度做出的解答…… 同时深刻地意识到自己实在太菜,看懂它们可能还得几年。(´;ω;`)

再补充一些现象层面的东西:

正如  @年 轻诗人  所说的,学习率增长就能得到正向的分岔图。

学习率和采样间隔似乎满足某种尺度不变性。比如下面四张图:



分别是固定学习率每次迭代增长 0.01%,而样本间距与初始学习率的组合分别为

(0.05,0.3),
(0.005,0.03),
(0.0005,0.003),
(0.00005,0.0003)

的 loss 曲线(只使用单个神经元)。虽然 3 -周期的位置有细微的差别,但是比起其他的参数组合,它们确实非常相似。

如果这样的假设是正确的,那么一方面,分岔可能在学习率很低的情况下发生,只要训练集密度够高;另一方面,训练集的元素甚至可以只有一个,只要学习率高到离谱,同样可以触发分岔。

对于后者,实验表明确实如此。由于不用迭代上百次就能求得周期点(中的一个)的位置,这可能可以用于编写快速生成分岔图的算法。鉴于其只有一个神经元、过高学习率以及不再要求网络学到训练集的特征的特点,可能已经偏离了神经网络的问题,因此,请详见: https://zhuanlan.zhihu.com/p/567118016

第三次更新:

上面那个算法并不准确,大家还是忘了它吧

按照 @年轻诗人 的意见,训练集大小与学习率之间的关系是因为我在对 MSE 求导的时候没有正确地归一化(忘记除以样本数目 n),导致训练集扩大等效于学习率增大相同的倍数。

同时他敏锐地发现起作用的是最后一层,并给出了权重 迭代的表达式(见评论区)。这个迭代之所以能生成(类似)Logistic 映射的分岔图,是因为它本身,在 取绝对值的意义下,与 Logistic 映射的迭代式 的图象非常接近,而学习率恰好占据了 Logistic 映射中参数 的位置。

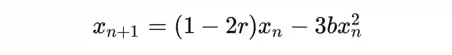
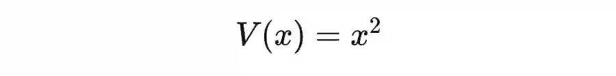
@Peter Griffin 的回答对我大有启发。对于一个优化问题,大的步长确实会带来混沌的可能。以一维梯度下降为例,在极值点的附近,我们可以对势函数做简谐近似,即展开到二阶项。由于常数项、一次项系数可以通过平移消去,二次项系数可以通过重新选取长度量纲而归一,我们实际上只要考虑



代入梯度下降的公式



可得



这个数列的命运随 取值不同,只有单调收敛、振荡收敛、周期为 2 的振荡( ),和振荡发散四种。

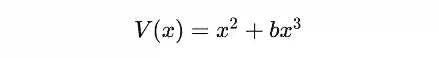
而在极值点附近稍远一点的地方,简谐近似失效,我们可以将势函数展到三次项,考虑



其极小值点仍为 ,迭代关系为



可以看到,适当选取系数,它完全可以变成 Logistic 映射。用 Mathematica 硬解方程 ,这是一个 8 次方程,其中两个根是不动点,两个根是周期 2 的点,4 个根是周期 3 的点。决定周期 3 有实根的条件是,根式中的



其解为 大于等于有关 的某个值。这就说明,当学习率 足够大时,我们就得到了产生任意周期和产生混沌的充分条件——实的、连续的、在极值点附近有界的、具有周期 3 的映射。

(用这种方式算出的 值似乎大于模拟出来的出现混沌时对应的 值)

值在一段时间中不变,给了 充足的时间,以演化到收敛、周期或混沌的轨道上,从而形成清晰的分岔图。

由此可以猜测,在一个优化问题中,目标附近的非谐效应(几乎总是存在)、过大的学习率和过慢的学习率下降是产生分岔和混沌的诱因。


import numpy as np
import copy as cp
import matplotlib.pyplot as plt


def sig(x):
    return 1 / (1 + np.exp(-x))


def dsig(x):
    s = sig(x)
    return np.exp(-x) * s * s


def relu(x):
    if x < 0return 0.1 * x
    return x


def drelu(x):
    if x >= 0return 1
    return 0.1


Sig = (sig, dsig)
Relu = (np.vectorize(relu), np.vectorize(drelu))


class ConnectLayer:
    def __init__(self, inp, output, func_tup, lrate_tup):
        self.inp = inp
        self.output = output
        self.func = func_tup[0]
        self.dfunc = func_tup[1]
        self.lrate = lrate_tup[0]
        self.lrate_decay = lrate_tup[1]
        self.decay_cnt = 0
        self.w = np.random.random((output, inp))
        self.b = np.random.random((output, 1))
        self.yjs_cache = None
        self.xjs_cache = None

    def forward(self, xs):
        # n = xs.shape[1] 
        self.xjs_cache = xs
        yjs = self.w @ xs + self.b
        self.yjs_cache = yjs
        return self.func(yjs)

    def backF(self, upstream):  # f对y求导
        return self.dfunc(self.yjs_cache) * upstream

    def backPass(self, upstream):  # y对x求导
        return self.w.T @ upstream

    def refw(self, upstream):  # y对w求导
        return upstream @ self.xjs_cache.T 

    def refb(self, upstream):  # y对b求导
        # 注意:不要直接使用np.sum,否则行列不稳定
        db = np.sum(upstream, axis=1)
        return db.reshape(self.b.shape)

    def backward(self, upstream)
        M = self.backF(upstream)
        self.w -= self.lrate * self.refw(M)
        self.b -= self.lrate * self.refb(M)

        self.decay_cnt += 1
        if self.decay_cnt == 100:
            self.lrate *= self.lrate_decay
            self.decay_cnt = 0

        return self.backPass(M)


def g(x):
    return np.sin(2 * np.pi * x) / 4 + 0.5


def genData():
    xs = np.arange(02.0010.05)
    n = len(xs)
    ys = []
    for x in xs:
        ys.append(g(x))
    ys = np.array(ys)
    return xs.reshape(1, n), ys.reshape(1, n)


def mse(fjs, yjs)
    m, n = yjs.shape
    delta = fjs - yjs
    return np.sum(delta * delta) / m / n


def dmse(fjs, yjs):
    return 2 * (fjs - yjs)


Mse = (mse, dmse)


class ScalarLayer:
    def __init__(self, inp, answer, loss_tup):
        self.inp = inp
        self.answer = answer
        self.loss = loss_tup[0]
        self.dloss = loss_tup[1]

    def forward(self, fyjs):
        return self.loss(fyjs, self.answer)

    def backward(self, fyjs):  # L对f求导
        return self.dloss(fyjs, self.answer)


class nn:
    def __init__(self, layer_msg, funcs_msg, loss, xs, ys, lrate):
        self.layer_msg = layer_msg
        self.layers = []
        self.xs = xs
        self.ys = ys
        for i in range(len(layers_msg) - 1):
            self.layers.append(ConnectLayer(
                inp=layers_msg[i],
                output=layers_msg[i + 1],
                func_tup=funcs_msg[i],
                lrate_tup=lrate
            ))
        self.outlet = ScalarLayer(1, ys, loss)

    def train(self, TURNS):
        ls = []
        for t in range(TURNS):
            # 单步训练
            data = cp.deepcopy(self.xs)
            for lay in self.layers:
                data = lay.forward(data)
            L = self.outlet.forward(data)
            data = self.outlet.backward(data)
            for lay in self.layers[::-1]:
                data = lay.backward(data)
            ls.append(L)
        return ls

    def test(self):
        newxs = np.hstack((self.xs - 1self.xs + 1))
        data = cp.deepcopy(newxs)
        for lay in self.layers:
            data = lay.forward(data)
        return newxs, data


if __name__ == '__main__':
    xs, ys = genData()
    layers_msg = [14221]
    funcs_msg = [Relu, Sig, Sig, Sig]
    model = nn(layers_msg, funcs_msg, Mse, xs, ys, lrate=(0.30.999))
    ls = model.train(40000)
    plt.plot(ls)
    plt.show()
    print('end')


更多阅读



#投 稿 通 道#

 让你的文字被更多人看到 



如何才能让更多的优质内容以更短路径到达读者群体,缩短读者寻找优质内容的成本呢?答案就是:你不认识的人。


总有一些你不认识的人,知道你想知道的东西。PaperWeekly 或许可以成为一座桥梁,促使不同背景、不同方向的学者和学术灵感相互碰撞,迸发出更多的可能性。 


PaperWeekly 鼓励高校实验室或个人,在我们的平台上分享各类优质内容,可以是最新论文解读,也可以是学术热点剖析科研心得竞赛经验讲解等。我们的目的只有一个,让知识真正流动起来。


📝 稿件基本要求:

• 文章确系个人原创作品,未曾在公开渠道发表,如为其他平台已发表或待发表的文章,请明确标注 

• 稿件建议以 markdown 格式撰写,文中配图以附件形式发送,要求图片清晰,无版权问题

• PaperWeekly 尊重原作者署名权,并将为每篇被采纳的原创首发稿件,提供业内具有竞争力稿酬,具体依据文章阅读量和文章质量阶梯制结算


📬 投稿通道:

• 投稿邮箱:hr@paperweekly.site 

• 来稿请备注即时联系方式(微信),以便我们在稿件选用的第一时间联系作者

• 您也可以直接添加小编微信(pwbot02)快速投稿,备注:姓名-投稿


△长按添加PaperWeekly小编




🔍


现在,在「知乎」也能找到我们了

进入知乎首页搜索「PaperWeekly」

点击「关注」订阅我们的专栏吧

·
·

登录查看更多
0

相关内容

神经网络的基础数学
专知会员服务
207+阅读 · 2022年1月23日
专知会员服务
31+阅读 · 2021年10月4日
深度学习激活函数全面综述论文
专知会员服务
72+阅读 · 2021年10月1日
【经典书】线性代数,352页pdf教你应该这样学
专知会员服务
107+阅读 · 2020年12月20日
专知会员服务
29+阅读 · 2020年10月24日
专知会员服务
43+阅读 · 2020年7月7日
神经网络的拓扑结构,TOPOLOGY OF DEEP NEURAL NETWORKS
专知会员服务
35+阅读 · 2020年4月15日
机器学习速查手册,135页pdf
专知会员服务
345+阅读 · 2020年3月15日
一文搞懂反向传播
机器学习与推荐算法
18+阅读 · 2020年3月12日
深度学习网络调参技巧
AINLP
15+阅读 · 2019年11月15日
吴恩达团队:神经网络如何正确初始化?
AI100
11+阅读 · 2019年5月15日
从泰勒展开来看梯度下降算法
深度学习每日摘要
13+阅读 · 2019年4月9日
基础 | GRU神经网络
黑龙江大学自然语言处理实验室
27+阅读 · 2018年3月5日
深度学习之CNN简介
Python技术博文
20+阅读 · 2018年1月10日
神经网络bp算法推导
统计学习与视觉计算组
11+阅读 · 2017年11月17日
国家自然科学基金
0+阅读 · 2013年12月31日
国家自然科学基金
0+阅读 · 2012年12月31日
国家自然科学基金
3+阅读 · 2011年12月31日
国家自然科学基金
4+阅读 · 2011年12月31日
国家自然科学基金
0+阅读 · 2011年12月31日
国家自然科学基金
0+阅读 · 2011年12月31日
国家自然科学基金
0+阅读 · 2011年12月31日
国家自然科学基金
0+阅读 · 2011年12月31日
国家自然科学基金
0+阅读 · 2009年12月31日
国家自然科学基金
0+阅读 · 2009年12月31日
Arxiv
0+阅读 · 2022年11月23日
Arxiv
0+阅读 · 2022年11月23日
Arxiv
0+阅读 · 2022年11月22日
已删除
Arxiv
33+阅读 · 2020年3月23日
VIP会员
相关VIP内容
神经网络的基础数学
专知会员服务
207+阅读 · 2022年1月23日
专知会员服务
31+阅读 · 2021年10月4日
深度学习激活函数全面综述论文
专知会员服务
72+阅读 · 2021年10月1日
【经典书】线性代数,352页pdf教你应该这样学
专知会员服务
107+阅读 · 2020年12月20日
专知会员服务
29+阅读 · 2020年10月24日
专知会员服务
43+阅读 · 2020年7月7日
神经网络的拓扑结构,TOPOLOGY OF DEEP NEURAL NETWORKS
专知会员服务
35+阅读 · 2020年4月15日
机器学习速查手册,135页pdf
专知会员服务
345+阅读 · 2020年3月15日
相关资讯
一文搞懂反向传播
机器学习与推荐算法
18+阅读 · 2020年3月12日
深度学习网络调参技巧
AINLP
15+阅读 · 2019年11月15日
吴恩达团队:神经网络如何正确初始化?
AI100
11+阅读 · 2019年5月15日
从泰勒展开来看梯度下降算法
深度学习每日摘要
13+阅读 · 2019年4月9日
基础 | GRU神经网络
黑龙江大学自然语言处理实验室
27+阅读 · 2018年3月5日
深度学习之CNN简介
Python技术博文
20+阅读 · 2018年1月10日
神经网络bp算法推导
统计学习与视觉计算组
11+阅读 · 2017年11月17日
相关基金
国家自然科学基金
0+阅读 · 2013年12月31日
国家自然科学基金
0+阅读 · 2012年12月31日
国家自然科学基金
3+阅读 · 2011年12月31日
国家自然科学基金
4+阅读 · 2011年12月31日
国家自然科学基金
0+阅读 · 2011年12月31日
国家自然科学基金
0+阅读 · 2011年12月31日
国家自然科学基金
0+阅读 · 2011年12月31日
国家自然科学基金
0+阅读 · 2011年12月31日
国家自然科学基金
0+阅读 · 2009年12月31日
国家自然科学基金
0+阅读 · 2009年12月31日
Top
微信扫码咨询专知VIP会员