神奇的大学习率:多大才算大, 神奇的效用又为何?

2022 年 9 月 9 日 PaperWeekly



本文是陶默雷 Molei Tao 和王雨晴 Yuqing Wang 的一篇博客的中文版。



©PaperWeekly 原创 · 作者 | 孔令凯、陶默雷
单位 | 佐治亚理工学院
研究方向 | 机器学习



背景知识

1.1 梯度下降法

在机器学习中,人们经常使用一阶优化器(1st-order optimizer)来训练模型。一阶优化器是指只利用一阶导数的迭代优化算法,其中最著名的是梯度下降法(Gradient descent, GD)。尽管从 GD 衍生出来了一系列强大的算法,这篇文章我们着重讨论 GD(虽然它的很多结论都可以推广到其他的算法里去)。GD 算法的迭代是:

其中 学习率 (learning rate, LR. 数值计算的领域也称之为步长 stepsize)

1.2 传统的学习率选择

很多时候,在机器学习和优化的领域,人们会分析具有 光滑性 (smoothness)的目标函数。在机器学习和优化方向的术语里,一个函数 被称为 - smooth  是说 是全局 -利普希茨(Lipschitz)连续的。这是一个很强的假设(例如,在这种定义下, 是 2-smooth 的,但 就不是 smooth 的)。
虽然有些时候是这个条件可以放宽的(例如,我们可以做局部 smooth 的假设,或者利用定义域有界的性质),但是首先,让我们来看看在 -smooth 假设下,能得到什么结论。
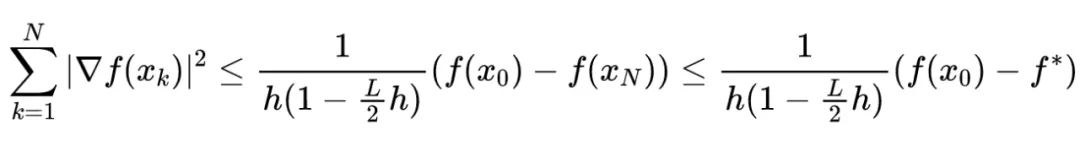
定理: 给定一个 -smooth 的函数 ,并且已知 的极小值 存在,那么当学习率满足 时,GD 收敛到一个驻点(stationary point)。
证明:


所以:



因此, ,也就是说 GD 收敛到一个驻点。
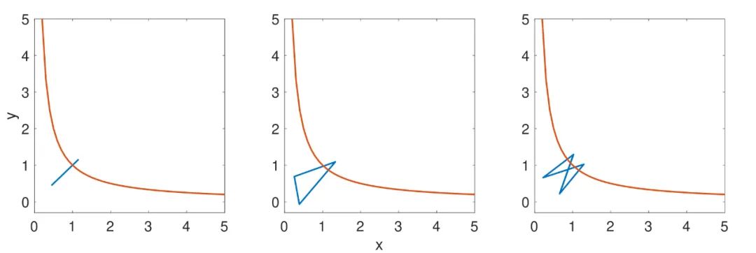
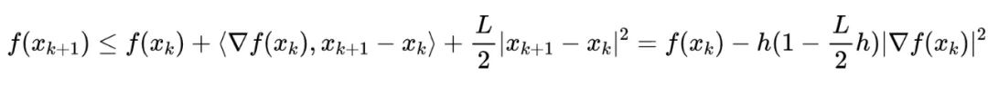
这个定理告诉我们,学习率 是一个有很好性质的区间。有意思的是,这个学习率的范围还可以划分成两个部分。就像下面的动画在目标函数 上面展示的,当 时,x 的轨迹是近似于单调且连续变化的,但是更大的学习率会导致一个不连续的,震荡的轨迹(仅仅 是震荡的, 仍然是单调下降的)。






1.3 这个简单学习率区间的最简单部分,以及此时GD和梯度流的关系

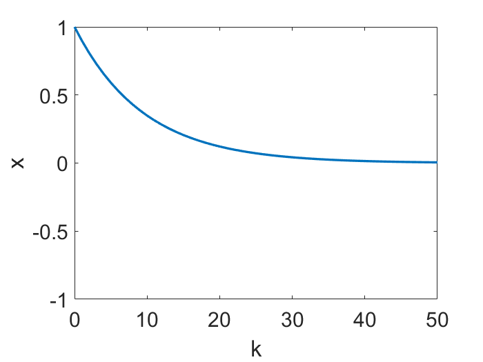
熟悉数值分析的朋友们或许可以很快的意识到, GD 可以看作由 梯度流 (gradient flow)的常微分方程(ODE)。

用显示欧拉法离散得到的。显然,在连续时间极限(h 无限小)的时候,x 是连续变化的。有兴趣的朋友可以试试,如何用经典数值分析的方法来得到上一节提到的 这个条件。这种学习率使 GD 很接近梯度流,因此我们称之为 小学习率(small LR)
然而,随着 增大,GD 偏离梯度流越来越多。显然,GD 在 的时候和梯度流的表现相去甚远。




超越梯度流的ODE?

2.2 后向误差分析(修正方程)

梯度流只反映了 GD 在 足够小的时候的表现,但是常微分方程也可以帮助我们理解更大 的效应。考虑到梯度流是 GD 的无穷小学习率的极限,如何理解不是无穷小的  的情况呢?答案是,我们可以在原来的 上面添加 的项来修正 不为 0 的带来的影响,就像泰勒展开一样。

数值分析中这种技术被称为“后向误差分析”,被修正过的 ODE 被称为修正方程(modified equation)。这个美妙的想法至少可以追溯到 [Wilkinson (1960)],经典的教科书 [Hairer, Lubich and Wanner (2006)] 则提供了非常棒的综述。

现在我们用修正方程来分析一下 GD。对梯度流做 的一阶修正会给出:



这是 GD 在 意义下的近似(0 阶修正方程就是 )。可以看到,一阶修正方程依然是一个梯度流, 也因此被称为(一阶)修正势能。

2.3 讨论

一阶修正方程 是很有用的。例如它可以用修正过的的目标函数来刻画由 GD 的离散化带来的隐式偏差(implicit bias,有时也被称为隐式正则化 implicit regularization)。今年已经是 2022 年了,机器学习社区也还在不断发现其在机器学习方面的应用。然而,方法本身并不是新的。
事实上,获得 的表达式并不困难,仅仅通过匹配 GD 的迭代表达式和 的泰勒展开就可以得到。然而这种“推导”仅仅是形式上的,甚至让人错误地认为修正方程对于任意大的 都好使。然而,(关于 的)幂级数存在收敛半径,同样,拓展到 ODE 后的幂级数也会有收敛性的问题。
一篇漂亮的论文 [Li, Tai and E (2019)] 超越了形式上匹配级数的非严格方法,严格刻画了在 足够小的时候一阶修正方程的误差。它所需的条件也更弱(SGD),而 GD 则是此文中的一个特例。其他一些较早的文献也已经给出了 GD 情况的表达式。例如(尽管这不是他们论文的重点),[Kong and Tao (2020)] 提供了 的表达式,并定量讨论了什么情况下, (或者是任意高阶的修正势能 )是不够的。
尽管 可以在 更大的时候比 更好地逼近 GD。但它并没有解决所有的问题。这种方法在  太大时也会失效。
既然在  大时,一阶修正方程不够好,那么高阶的修正方程会更好吗?在大多数情况下,答案是否定的,甚至如果  太大了,修正方程的阶数越高,逼近效果反而越差。
这可以通过下图来说明,其中 LR 分别为 1)接近于 0 的小学习率,此时梯度流很好地近似 GD;2)中等但仍然 ,此时尽管梯度流不是 GD 很好的近似,但修正方程可以很好地近似 GD;3)更大,处于 区间,此时修正方程也不再有效;4)真正的大学习率, ,此时 GD 在简单的目标函数 上发散。






需要注意的是,尽管一些文献使用修正方程来研究 “大” 学习率,但在这篇博客中,我们仍将这种 LR 称为中等大小的学习率。原因是,当 LR 进一步增大时,修正方程会完全失效,但 GD 可能仍能找到有效的极小值,并且此时会有很多非平凡且有趣的效应:这些效应经常是对深度学习有益的!下面是一些例子。




真正大的学习率
现在我们来看一下真正的大学习率的表现。
3.1 欢迎来到动物园

不收敛

人们的直觉或许是,LR 太大会导致 GD“爆炸”(即迭代得到发散的序列)。这种现象的确存在。如下图在 上的例子说明, 对于二次函数,当 时 GD 就会“爆炸”。



但是,对于更复杂的目标函数 , GD 不一定会在大学习率下爆炸。
更奇妙的是, 即使是在 GD 收敛的情况下, GD 也不总是收敛到一个点! 我们可以将 GD 迭代视为离散时间的动力系统。而动力系统可以有各种类型的吸引子(attractor),一些最常见的吸引子是不动点、周期轨道和奇异吸引子(没错,正是混沌,或者严格的说,很多情况下是混沌)。而他们都可以由 GD 产生!
周期性的轨道
下图是一个 GD 收敛到周期性轨道的例子,它来自于一个简化版的矩阵分解问题。其中 (注:尽管看起来简单,这个函数既不 -smooth,也不是凸的)。并且,它的 GD 迭代存在不同的周期,而图片中的 GD 迭代都不收敛到极小点。



时 GD 至少可以收敛到周期分别为 2, 3 and 4 的轨道,不同的轨道取决于不同的初始条件。图片中蓝线是周期性轨道,红线是所有满足 的极小点。
这些图片来自 [Wang et al (2022)](尽管这不是那篇文章的重点)。更多内容将在下下节中讨论。
奇异吸引子
现在让我们看一个 GD 收敛到混沌吸引子的例子(著名的洛伦兹蝴蝶是另一个混沌吸引子的例子)。




这些图片来自 [Kong and Tao (2020)]。下面是更详细的解释:
3.2 另一种跳出局部极小的方式

上面的势能有很多个 spurious 局部极小点。令人惊讶的是,就像动画表现的那样,GD 可以跳出这些局部极小点。

这背后的原因是大学习率!事实上,如果应用了小学习率,就像梯度流一样,GD 只会收敛到一个接近于初值的局部极小点。

人们最近开始赏识大学习率的这种效应,有趣的实验结果不断出现。一个主要的原因是,深度学习社区对于跳出局部极小点很感兴趣,因为这能提高训练的精度。跳出局部极小点,最流行的的方法是利用随机梯度带来的噪音。而大学习率提供一个截然不同的方式,即使梯度的完全确定性的,也依然有效。[Kong and Tao (2020)] 已经提供了严格的定量分析,主要想法如下:

给定目标函数 ,假设可以将其分解为 ,其中 是宏观趋势, 而 表示微观细节,例如下图展示的一维函数:


直观来说,如果车开得很快,就感觉不到路上的小坑坑洼洼了。同样,当 LR 变得足够大时,GD 就不再能够解析 中的微观细节。那么,多大是“足够大”呢?用 表示微观尺度(与宏观尺度相对)并假设 -smooth 的,那么 (由二阶导数得出),这意味着传统的小 LR 是 。因此,如果 独立于 ,那么我们有 , 此时学习率就是足够大的。
在这种模型下,[Kong and Tao (2020)] 严格证明了在 确定性的  GD 算法中, 微观部分的梯度( )导致的效果很像是额外加上了噪音。事实上,使用来自动力系统、概率论和泛函分析的工具,此文在合理的假设下证明了 GD 迭代实际上收敛到一个混沌吸引子,因此 GD 给出的结果收敛到一个非常接近于 的概率分布。
熟悉统计力学的读者知道这就是著名的吉布斯分布(Gibbs distribution)。值得注意的是,这种 GD 的极限分布仅取决于目标函数的宏观部分( ),而微观细节 由于大 LR( )的使用而消失了!
这一定量结果还表明,得到较小的 值(这也意味着较小的 值)的概率(显著)的更高。通俗来说,这意味着 GD 将更频繁地访问它们。通常情况下这是人们想要的(因为较小的训练损失很可能意味着更小的测试误差),因此,这是大学习率的一大好处。

在这种意义上,尽管 GD 没有随机性或小批量梯度(minibatch),但是大学习率的 GD 的行为 SGD 与 SGD 非常相似。它提供了另一种跳出极小值的方法!

更多细节可以在 [Kong and Tao (2020)] 中找到,但让我们再最后摘录一个文中的讨论:现实问题中的目标函数,是否也存在这种多尺度结构?此文中同时包含了理论和实验的讨论。例如,如果训练数据是多尺度的,那么对于一个(非线性的)回归任务,理论上来说,神经网络的损失函数有可能继承这个多尺度结构!下面是小型前馈网络用 GD 训练时一个权重的变化:



可以看到它不收敛到一个点,而是“一堆点”,这实际上是混沌吸引子,也可以用概率分布来定量化的描述。

总结 [Kong & Tao (2020)] 表明,在大学习率的帮助下,GD 可以避开局部极小值并指数地倾向更小的局部极小值。这是因为,由于大 LR 产生的混沌动力学, GD不再是仅仅优化目标函数, 而是对概率分布进行采样。
3.3 大学习率导致的隐式偏差(implicit bias):偏好更平坦的极小值

现在让我们回到 GD 收敛到一个点的简单情况。这种简单的情况比看上去有趣得多。这里我们只讨论一件事:严格证明大学习率偏好更平坦的局部极小值。但首先, 这件事有什么意义呢?

流行猜想1: 更平坦的极小点可以更好地泛化。有许多工作支持这种猜测,但有趣的是,也有许多工作支持截然相反的结果。在这里我们不准备提出任何新的观点,而只是希望大家同意找到更平坦的局部极小值这件事有意义。

流行猜想2: 大学习率有助于找到更平坦的极小点。尽管这个猜想最近才出现,但正迅速受到关注。目前已经有相关的实验结果,还出现了半理论的分析,例如一些基于一阶修正势能 中的 修正项的工作(关于修正势能,请见上文“后向误差分析, 又称修正方程”部分)。
[Wang et al (2022)] 则研究了真正的大的学习率,而不是修正方程能够研究的中等学习率。在这种情况下,GD 对于平坦极小值的偏好更加明显。对于一类目标函数,此文为 流行猜想2  提供了严格的证明。
更具体地说, 考虑一类矩阵分解问题。它可以看作优化问题:



即试图为 的矩阵 找一个秩 的近似。这个问题本身就是一个重要的数据科学问题,但对于那些对深度学习感兴趣的人来说,它与 2 层线性神经网络的训练也几乎是一样的。
这里的目标函数 很有趣。例如,1)极小点是不孤立且不可数的。事实上,如果 是一个极小点,那么对于任何常数标量 也是极小点。作者将此属性称为同质性(homogenity),即使加了某些非线性激活函数(例如 ,其中 是 ReLU 或 leaky-ReLU),这种现象也会存在。2)每个局部极小点都是一个全局极小点。
然而,这些极小点中有些是平的,有些是尖的。事实上,这可以通过在 的极小点处计算 Hessian 矩阵的特征值来判断。一旦大家完成这个计算,不难证明 意味着极小点周围局部是平的,否则就是尖的。所以 是否相近非常的重要,作者称此为均衡性(balancing)。
事实上,除了对深度学习潜在的影响(平的极小点意味着更好的泛化(?))之外, 拥有更平坦几何形状的极小点也有利于 GD 的分析和数值表现(否则需要更小的 LR)。所以,已有的文献经常显式地添加正则项(regularizers),从而促进   和  的均衡性。
[Wang et al (2022)] 表明,如果 LR 足够大,GD 将开始倾向于选择具有均衡性的极小点。并且,LR 越大, 这种偏好就越强。这种对均衡的极小点的偏好并不需要通过额外的正则项得到。如下图所示, 即使初始条件已经接近不具有均衡性的极小点,并且小 LR 的 GD 确实会收敛到一个很近的极小点,大学习率的 GD 仍然会有截然不同的表现:它能"舍近求远"地收敛到一个更均衡的极小点。


注:[Wang et al (2022)] 也可以被认为与近期实验发现的一种被称为“稳定性边缘”(Edge of Stability)的现象有关 [Cohen et al (2021)], 这种现象正在迅速引起人们的关注。

更具体地说,[Wang et al (2022)] 证明了:1)如果 GD 收敛到一个点, 这个极限点 满足一个不等式,即 有一个上界,然后这个上界随着学习率的增大而减小;2)GD 的确收敛到一个点,即使学习率是真正大的那种。
这两个结论,第一个听起来很拗口(但很重要),第二个听起来则很容易;然而事实是,结论 1)可以使用动力系统现有的工具比较容易的得到,而结论 2)更不平凡。这是完全是因为大学习率造成的分析的困难。尽管此处我们不予讨论,但专业的读者也许会在此文的证明及其对 GD 动力学的深入研究中找到乐趣。
但我们希望再次回到一个与此博客相关的重点上去——多大的学习率才叫大呢?简单来说,平衡的现象发生在区间 ,这与本文开头提到的传统工具能分析的区间是完全互补的。另外的一个小贴士是, 更大 可以使 GD 不收敛。
专家读者可能会问,等等,上述描述里的 是什么?事实上,这个问题中目标函数是四次的(即四阶多项式),因此其梯度不是全局利普希茨的。此文理论分析部分的优点不仅在于 ,而且在于它只需要目标函数是局部利普希茨的。 中的 是指初始化时 Hess 的谱半径(spectral radius)。
总结: [Wang et al (2022)] 表明,当 LR 真正很大的时候,GD 具有收敛到更平坦局部极小值的隐式正则化效果。更大的 LR 可以使这种隐式的偏好更强。




谢谢您的阅读
以上就是本文的全部内容。由于篇幅限制和读者的多样性,我们仅仅触及了冰山一角,另外很多严格的细节和相关的工作都未能覆盖。非常欢迎您的提问,评论和引用。希望您喜欢!

致谢:

感谢赵拓教授鼓励我们写博客。


参考文献

[1]. J.H.Wilkinson. Error analysis of floating-point computation. Numer. Math. 1960

[2]. Ernst Hairer, Christian Lubich, and Gerhard Wanner. Geometric Numerical Integration. Springer 2006

[3]. Qianxiao Li, Cheng Tai, and Weinan E. Stochastic modified equations and dynamics of stochastic gradient algorithms i: Mathematical foundations. JMLR 2019

[4]. Lingkai Kao and Molei Tao. Stochasticity of deterministic gradient descent: Large learning rate for multiscale objective function. NeurIPS 2020

[5]. Yuqing Wang, Minshuo Chen, Tuo Zhao, and Molei Tao. Large Learning Rate Tames Homogeneity: Convergence and Balancing Effect. ICLR 2022

[6]. Jeremy Cohen, Simran Kaur, Yuanzhi Li, J. Zico Kolter, and Ameet Talwalkar. Gradient descent on neural networks typically occurs at the edge of stability. ICLR 2021


更多阅读



#投 稿 通 道#

 让你的文字被更多人看到 



如何才能让更多的优质内容以更短路径到达读者群体,缩短读者寻找优质内容的成本呢?答案就是:你不认识的人。


总有一些你不认识的人,知道你想知道的东西。PaperWeekly 或许可以成为一座桥梁,促使不同背景、不同方向的学者和学术灵感相互碰撞,迸发出更多的可能性。 


PaperWeekly 鼓励高校实验室或个人,在我们的平台上分享各类优质内容,可以是最新论文解读,也可以是学术热点剖析科研心得竞赛经验讲解等。我们的目的只有一个,让知识真正流动起来。


📝 稿件基本要求:

• 文章确系个人原创作品,未曾在公开渠道发表,如为其他平台已发表或待发表的文章,请明确标注 

• 稿件建议以 markdown 格式撰写,文中配图以附件形式发送,要求图片清晰,无版权问题

• PaperWeekly 尊重原作者署名权,并将为每篇被采纳的原创首发稿件,提供业内具有竞争力稿酬,具体依据文章阅读量和文章质量阶梯制结算


📬 投稿通道:

• 投稿邮箱:hr@paperweekly.site 

• 来稿请备注即时联系方式(微信),以便我们在稿件选用的第一时间联系作者

• 您也可以直接添加小编微信(pwbot02)快速投稿,备注:姓名-投稿


△长按添加PaperWeekly小编




🔍


现在,在「知乎」也能找到我们了

进入知乎首页搜索「PaperWeekly」

点击「关注」订阅我们的专栏吧

·
·


登录查看更多
0

相关内容

通用动力公司(General Dynamics)是一家美国的国防企业集团。2008年时通用动力是世界第五大国防工业承包商。由于近年来不断的扩充和并购其他公司,通用动力现今的组成与面貌已与冷战时期时大不相同。现今通用动力包含三大业务集团:海洋、作战系统和资讯科技集团。
【斯坦福大学博士论文】鲁棒学习:信息论和算法,88页pdf
专知会员服务
43+阅读 · 2022年11月13日
NeurIPS 2021 | 用简单的梯度下降算法逃离鞍点
专知会员服务
24+阅读 · 2021年12月6日
【博士论文】基于冲量的加速优化算法
专知会员服务
28+阅读 · 2021年11月29日
周志华教授:关于深度学习的一点思考
专知会员服务
122+阅读 · 2021年11月23日
【NeurIPS 2021】学会学习图拓扑
专知会员服务
25+阅读 · 2021年10月22日
专知会员服务
75+阅读 · 2020年12月7日
概率论和机器学习中的不等式
PaperWeekly
3+阅读 · 2022年11月9日
内嵌物理知识神经网络(PINN)是个坑吗?
PaperWeekly
19+阅读 · 2022年2月14日
交替方向乘子法(ADMM)算法原理详解
PaperWeekly
5+阅读 · 2022年1月21日
深度运用LSTM神经网络并与经典时序模型对比
PaperWeekly
1+阅读 · 2021年12月16日
简单复读机LR如何成为推荐系统精排之锋?
夕小瑶的卖萌屋
1+阅读 · 2021年9月27日
近期神奇机器学习应用大赏
夕小瑶的卖萌屋
0+阅读 · 2021年7月5日
一文搞懂反向传播
机器学习与推荐算法
18+阅读 · 2020年3月12日
详解常见的损失函数
七月在线实验室
20+阅读 · 2018年7月12日
如何找到最优学习率?
AI研习社
11+阅读 · 2017年11月29日
干货|代码原理教你搞懂SGD随机梯度下降、BGD、MBGD
机器学习研究会
12+阅读 · 2017年11月25日
国家自然科学基金
0+阅读 · 2015年12月31日
国家自然科学基金
3+阅读 · 2014年12月31日
国家自然科学基金
0+阅读 · 2013年12月31日
国家自然科学基金
0+阅读 · 2013年12月31日
国家自然科学基金
0+阅读 · 2013年12月31日
国家自然科学基金
0+阅读 · 2012年12月31日
国家自然科学基金
1+阅读 · 2012年12月31日
国家自然科学基金
0+阅读 · 2012年12月31日
国家自然科学基金
0+阅读 · 2011年12月31日
国家自然科学基金
5+阅读 · 2011年12月31日
Arxiv
17+阅读 · 2021年2月15日
W-net: Bridged U-net for 2D Medical Image Segmentation
Arxiv
20+阅读 · 2018年7月12日
VIP会员
相关VIP内容
【斯坦福大学博士论文】鲁棒学习:信息论和算法,88页pdf
专知会员服务
43+阅读 · 2022年11月13日
NeurIPS 2021 | 用简单的梯度下降算法逃离鞍点
专知会员服务
24+阅读 · 2021年12月6日
【博士论文】基于冲量的加速优化算法
专知会员服务
28+阅读 · 2021年11月29日
周志华教授:关于深度学习的一点思考
专知会员服务
122+阅读 · 2021年11月23日
【NeurIPS 2021】学会学习图拓扑
专知会员服务
25+阅读 · 2021年10月22日
专知会员服务
75+阅读 · 2020年12月7日
相关资讯
概率论和机器学习中的不等式
PaperWeekly
3+阅读 · 2022年11月9日
内嵌物理知识神经网络(PINN)是个坑吗?
PaperWeekly
19+阅读 · 2022年2月14日
交替方向乘子法(ADMM)算法原理详解
PaperWeekly
5+阅读 · 2022年1月21日
深度运用LSTM神经网络并与经典时序模型对比
PaperWeekly
1+阅读 · 2021年12月16日
简单复读机LR如何成为推荐系统精排之锋?
夕小瑶的卖萌屋
1+阅读 · 2021年9月27日
近期神奇机器学习应用大赏
夕小瑶的卖萌屋
0+阅读 · 2021年7月5日
一文搞懂反向传播
机器学习与推荐算法
18+阅读 · 2020年3月12日
详解常见的损失函数
七月在线实验室
20+阅读 · 2018年7月12日
如何找到最优学习率?
AI研习社
11+阅读 · 2017年11月29日
干货|代码原理教你搞懂SGD随机梯度下降、BGD、MBGD
机器学习研究会
12+阅读 · 2017年11月25日
相关基金
国家自然科学基金
0+阅读 · 2015年12月31日
国家自然科学基金
3+阅读 · 2014年12月31日
国家自然科学基金
0+阅读 · 2013年12月31日
国家自然科学基金
0+阅读 · 2013年12月31日
国家自然科学基金
0+阅读 · 2013年12月31日
国家自然科学基金
0+阅读 · 2012年12月31日
国家自然科学基金
1+阅读 · 2012年12月31日
国家自然科学基金
0+阅读 · 2012年12月31日
国家自然科学基金
0+阅读 · 2011年12月31日
国家自然科学基金
5+阅读 · 2011年12月31日
Top
微信扫码咨询专知VIP会员