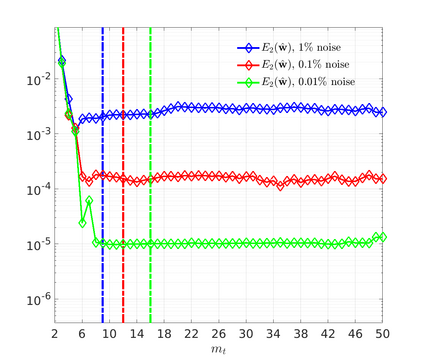
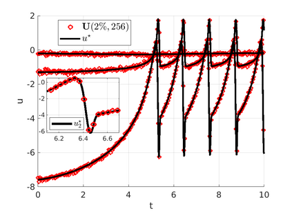
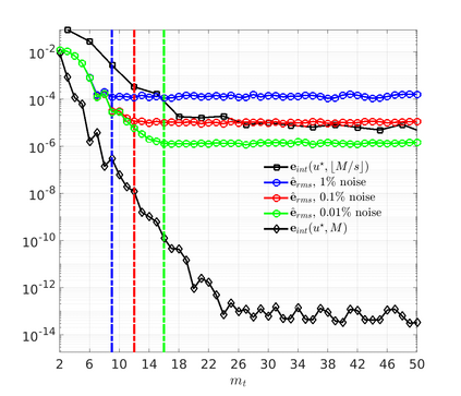
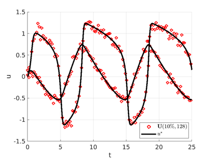
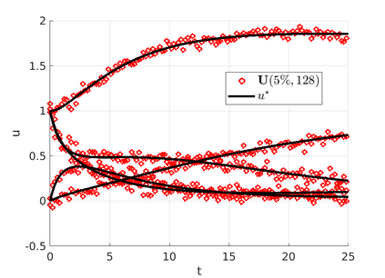
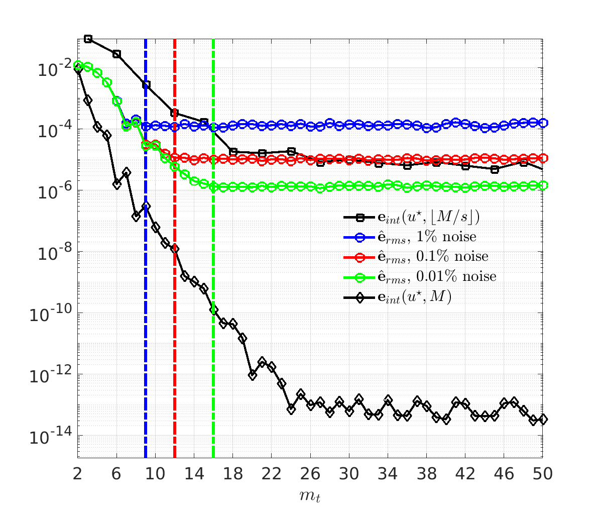
We introduce the Weak-form Estimation of Nonlinear Dynamics (WENDy) method for estimating model parameters for non-linear systems of ODEs. The core mathematical idea involves an efficient conversion of the strong form representation of a model to its weak form, and then solving a regression problem to perform parameter inference. The core statistical idea rests on the Errors-In-Variables framework, which necessitates the use of the iteratively reweighted least squares algorithm. Further improvements are obtained by using orthonormal test functions, created from a set of $C^{\infty}$ bump functions of varying support sizes. We demonstrate that WENDy is a highly robust and efficient method for parameter inference in differential equations. Without relying on any numerical differential equation solvers, WENDy computes accurate estimates and is robust to large (biologically relevant) levels of measurement noise. For low dimensional systems with modest amounts of data, WENDy is competitive with conventional forward solver-based nonlinear least squares methods in terms of speed and accuracy. For both higher dimensional systems and stiff systems, WENDy is typically both faster (often by orders of magnitude) and more accurate than forward solver-based approaches. We illustrate the method and its performance in some common population and neuroscience models, including logistic growth, Lotka-Volterra, FitzHugh-Nagumo, Hindmarsh-Rose, and a Protein Transduction Benchmark model. Software and code for reproducing the examples is available at (https://github.com/MathBioCU/WENDy).


翻译:我们引入了非线性动态(WENDy) 的微弱形式估算方法,用于估算非线性数据系统模型参数的模型参数。核心数学理念包括将模型的强型表示转化为弱型,然后解决回归问题,以进行参数推导。核心统计理念依赖于误差 - 内变量框架,这需要使用数据数量不多的迭代再加权最小方方程式。通过使用基于常规前端溶剂和非线性值的自动测试功能,取得了进一步的改进。我们证明,WENDy是一种在差异方程式中以强势和高效的方式转换模型的参数。WENDy在不依赖任何数字差异方程式解析器的情况下,精确地估算了测量噪音的大小。对于数据数量不多的低维特系统来说,WENDy与基于常规前端溶剂的非线性软值的软值,在速度和准确度方面,Outral-liforal-lical-lical-seral-seral-serviews-Sy-sal-democial-lient sy-lium-lium-sal-sal-ral-reval-ral-rview-rview-ral-ral-lixxxxxxxxxxxxxxxxxxxxxxxxxxxxxxxxxxxxxxxxxxxxxxxxxxxxxxxxxxxxxxxxxxxxxxxxxxxxxxxxxxxxxxxxxxxxxxxxxxxxxxxxxxxxxxxxxxxxxxxxxxxxxxxxxxxxxxxxxxxxxxxxxxxxxxxxxxxxxxxxxxxxxxxxxxxxxxxxxxxxxxxxxxxxxxxxxxxxxxxxxxxxxx),在速度和以速度和以速度和以速度和以速度和以速度和以速度和</s>

0
下载
关闭预览

相关内容

不可错过!《机器学习100讲》课程,UBC Mark Schmidt讲授
专知会员服务
76+阅读 · 2022年6月28日
【SIGGRAPH2019】TensorFlow 2.0深度学习计算机图形学应用
专知会员服务
41+阅读 · 2019年10月9日
VCIP 2022 Call for Demos
CCF多媒体专委会
1+阅读 · 2022年6月6日
Hierarchically Structured Meta-learning
CreateAMind
27+阅读 · 2019年5月22日
Transferring Knowledge across Learning Processes
CreateAMind
29+阅读 · 2019年5月18日
逆强化学习-学习人先验的动机
CreateAMind
16+阅读 · 2019年1月18日
Unsupervised Learning via Meta-Learning
CreateAMind
43+阅读 · 2019年1月3日
A Technical Overview of AI & ML in 2018 & Trends for 2019
待字闺中
18+阅读 · 2018年12月24日
disentangled-representation-papers
CreateAMind
26+阅读 · 2018年9月12日
【论文】变分推断(Variational inference)的总结
机器学习研究会
39+阅读 · 2017年11月16日
国家自然科学基金
0+阅读 · 2013年12月31日
国家自然科学基金
0+阅读 · 2013年12月31日
国家自然科学基金
1+阅读 · 2012年12月31日
国家自然科学基金
0+阅读 · 2012年12月31日
国家自然科学基金
0+阅读 · 2012年12月31日
国家自然科学基金
0+阅读 · 2012年12月31日
国家自然科学基金
0+阅读 · 2011年12月31日
国家自然科学基金
0+阅读 · 2009年12月31日
国家自然科学基金
0+阅读 · 2009年12月31日
Arxiv
15+阅读 · 2022年10月27日
Arxiv
30+阅读 · 2022年9月10日
A Modern Introduction to Online Learning
Arxiv
21+阅读 · 2019年12月31日
VIP会员
相关VIP内容
不可错过!《机器学习100讲》课程,UBC Mark Schmidt讲授
专知会员服务
76+阅读 · 2022年6月28日
【SIGGRAPH2019】TensorFlow 2.0深度学习计算机图形学应用
专知会员服务
41+阅读 · 2019年10月9日
相关资讯
VCIP 2022 Call for Demos
CCF多媒体专委会
1+阅读 · 2022年6月6日
Hierarchically Structured Meta-learning
CreateAMind
27+阅读 · 2019年5月22日
Transferring Knowledge across Learning Processes
CreateAMind
29+阅读 · 2019年5月18日
逆强化学习-学习人先验的动机
CreateAMind
16+阅读 · 2019年1月18日
Unsupervised Learning via Meta-Learning
CreateAMind
43+阅读 · 2019年1月3日
A Technical Overview of AI & ML in 2018 & Trends for 2019
待字闺中
18+阅读 · 2018年12月24日
disentangled-representation-papers
CreateAMind
26+阅读 · 2018年9月12日
【论文】变分推断(Variational inference)的总结
机器学习研究会
39+阅读 · 2017年11月16日
相关基金
国家自然科学基金
0+阅读 · 2013年12月31日
国家自然科学基金
0+阅读 · 2013年12月31日
国家自然科学基金
1+阅读 · 2012年12月31日
国家自然科学基金
0+阅读 · 2012年12月31日
国家自然科学基金
0+阅读 · 2012年12月31日
国家自然科学基金
0+阅读 · 2012年12月31日
国家自然科学基金
0+阅读 · 2011年12月31日
国家自然科学基金
0+阅读 · 2009年12月31日
国家自然科学基金
0+阅读 · 2009年12月31日
Top
微信扫码咨询专知VIP会员