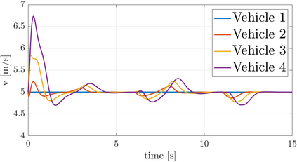
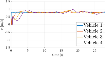
In the near future, the development of autonomous driving will get more complex as the vehicles will not only rely on their own sensors but also communicate with other vehicles and the infrastructure to cooperate and improve the driving experience. Towards this, several research areas, such as robotics, communication, and control, are required to collaborate in order to implement future-ready methods. However, each area focuses on the development of its own components first, while the effects the components may have on the whole system are only considered at a later stage. In this work, we integrate the simulation tools of robotics, communication and control namely ROS2, OMNeT++, and MATLAB to evaluate cooperative driving scenarios. The framework can be utilized to develop the individual components using the designated tools, while the final evaluation can be conducted in a complete scenario, enabling the simulation of advanced multi-robot applications for cooperative driving. Furthermore, it can be used to integrate additional tools, as the integration is done in a modular way. We showcase the framework by demonstrating a platooning scenario under cooperative adaptive cruise control (CACC) and the ETSI ITS-G5 communication architecture. Additionally, we compare the differences of the controller performance between the theoretical analysis and practical case study.


翻译:在不远的将来,开发自主驾驶将变得更加复杂,因为车辆不仅依靠自己的传感器,而且还依靠与其他车辆和基础设施的通信来合作和改进驾驶经验,为此,若干研究领域,如机器人、通信和控制,需要合作实施未来准备的方法;然而,每个领域首先侧重于开发自己的部件,而各组成部分对整个系统可能产生的影响只能在稍后阶段加以考虑;在这项工作中,我们综合机器人、通信和控制的模拟工具,即ROS2、OMNET+++和MATLAB,以评价合作驾驶方案;可以利用该框架来开发个别部件,使用指定的工具,同时进行最后评价,可以完整地进行,模拟先进的多机器人应用,用于合作驾驶;此外,还可以利用它来整合其他工具,因为整合是以模块方式完成的;我们通过展示合作适应航行控制下的排位情景和ETI ITS-G5通信结构,来展示这一框架;此外,我们比较了控制室业绩的理论分析与分析之间的实际差异。

0
下载
关闭预览

相关内容

Integration:Integration, the VLSI Journal。 Explanation:集成,VLSI杂志。 Publisher:Elsevier。 SIT:http://dblp.uni-trier.de/db/journals/integration/
100+篇《自监督学习(Self-Supervised Learning)》论文最新合集
专知会员服务
167+阅读 · 2020年3月18日
强化学习最新教程,17页pdf
专知会员服务
182+阅读 · 2019年10月11日
[综述]深度学习下的场景文本检测与识别
专知会员服务
78+阅读 · 2019年10月10日
机器学习入门的经验与建议
专知会员服务
94+阅读 · 2019年10月10日
【哈佛大学商学院课程Fall 2019】机器学习可解释性
专知会员服务
105+阅读 · 2019年10月9日
VCIP 2022 Call for Demos
CCF多媒体专委会
1+阅读 · 2022年6月6日
征稿 | International Joint Conference on Knowledge Graphs (IJCKG)
开放知识图谱
2+阅读 · 2022年5月20日
VCIP 2022 Call for Special Session Proposals
CCF多媒体专委会
1+阅读 · 2022年4月1日
IEEE ICKG 2022: Call for Papers
机器学习与推荐算法
3+阅读 · 2022年3月30日
AIART 2022 Call for Papers
CCF多媒体专委会
1+阅读 · 2022年2月13日
会议交流 | IJCKG: International Joint Conference on Knowledge Graphs
Hierarchically Structured Meta-learning
CreateAMind
27+阅读 · 2019年5月22日
Transferring Knowledge across Learning Processes
CreateAMind
29+阅读 · 2019年5月18日
Unsupervised Learning via Meta-Learning
CreateAMind
43+阅读 · 2019年1月3日
A Technical Overview of AI & ML in 2018 & Trends for 2019
待字闺中
18+阅读 · 2018年12月24日
国家自然科学基金
2+阅读 · 2017年12月31日
国家自然科学基金
0+阅读 · 2015年12月31日
国家自然科学基金
0+阅读 · 2014年12月31日
国家自然科学基金
0+阅读 · 2013年12月31日
国家自然科学基金
0+阅读 · 2013年12月31日
国家自然科学基金
1+阅读 · 2013年12月31日
国家自然科学基金
1+阅读 · 2012年12月31日
国家自然科学基金
0+阅读 · 2011年12月31日
国家自然科学基金
0+阅读 · 2009年12月31日
Arxiv
24+阅读 · 2021年6月25日
Arxiv
12+阅读 · 2021年6月21日
Interest-aware Message-Passing GCN for Recommendation
Arxiv
12+阅读 · 2021年2月19日
Adaptive Synthetic Characters for Military Training
Arxiv
50+阅读 · 2021年1月6日
VIP会员
相关VIP内容
相关资讯
VCIP 2022 Call for Demos
CCF多媒体专委会
1+阅读 · 2022年6月6日
征稿 | International Joint Conference on Knowledge Graphs (IJCKG)
开放知识图谱
2+阅读 · 2022年5月20日
VCIP 2022 Call for Special Session Proposals
CCF多媒体专委会
1+阅读 · 2022年4月1日
IEEE ICKG 2022: Call for Papers
机器学习与推荐算法
3+阅读 · 2022年3月30日
AIART 2022 Call for Papers
CCF多媒体专委会
1+阅读 · 2022年2月13日
会议交流 | IJCKG: International Joint Conference on Knowledge Graphs
Hierarchically Structured Meta-learning
CreateAMind
27+阅读 · 2019年5月22日
Transferring Knowledge across Learning Processes
CreateAMind
29+阅读 · 2019年5月18日
Unsupervised Learning via Meta-Learning
CreateAMind
43+阅读 · 2019年1月3日
A Technical Overview of AI & ML in 2018 & Trends for 2019
待字闺中
18+阅读 · 2018年12月24日
相关基金
国家自然科学基金
2+阅读 · 2017年12月31日
国家自然科学基金
0+阅读 · 2015年12月31日
国家自然科学基金
0+阅读 · 2014年12月31日
国家自然科学基金
0+阅读 · 2013年12月31日
国家自然科学基金
0+阅读 · 2013年12月31日
国家自然科学基金
1+阅读 · 2013年12月31日
国家自然科学基金
1+阅读 · 2012年12月31日
国家自然科学基金
0+阅读 · 2011年12月31日
国家自然科学基金
0+阅读 · 2009年12月31日
Top
微信扫码咨询专知VIP会员