因果效应估计组合拳:Reweighting和Representation

2022 年 9 月 2 日 PaperWeekly


©作者 | Zicon
单位 | 广东工业大学
研究方向 | 因果推断


潜在结果框架的语言下,基于观察数据,在 SUTVA,unconfounderness 与 overlap 假设成立的前提下,因果效应具有可识别性,即 。然而,为了无偏估计因果效应,我们还需要处理 confounder bias 的问题,即在观察数据中,confounder 会导致 treatment 组和 control 组的人群的协变量分布不同。


Weighting-based methods 和 Representation-based methods 是解决该问题的两种经典做法,这两种做法的原理是什么?又有什么改进空间?这就是这篇文章想稍微总结的东西。




Weighting-based methods


1.1 balancing weights


因果效应估计问题首先要定义感兴趣的目标人群(target population)以及目标估计量(estimand):


举几个例子:如果我们将感兴趣的目标人群定义为整体人群,则我们的目标估计量为 ATE;如果我们将感兴趣的目标人群定义为 treatment 组的人群,则我们的目标估计量为 ATT;如果我们将感兴趣的目标人群定义为 control 组的人群,则我们的目标估计量为 ATC;如果我们将感兴趣的目标人群定义为treatment 组和 control 组分布平衡的协变量对应的人群,则我们的目标估计量为 ATO。


用形式化的语言来描述这一过程的话,假设总体人群的协变量的 marginal density 为  ,基本测度为 ,定义 为预先定义的关于 x 的函数,用来过滤目标人群,因此我们可以将目标人群的 density 表示为 ,如此一来,定义在目标人群上的估计量可表示如下,其中



定义好目标人群和估计量后。如前文所言,在一定假设下,我们可以证明目标估计量(因果效应)的可识别性,即因果效应是可以基于观察数据得到的。然而为了得到无偏的估计量,我们需要处理 treatment 组和 control 组协变量不平衡的问题。balancing weights 就是为了解决该协变量分布不平衡的问题提出来的,我们可以用下面的数学语言来描述其作用过程。


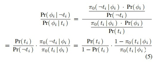
首先定义倾向性得分为 为 treatment 组人群的协变量 density, 类似,表示 control 组人群的协变量 density,可以得到



balancing weights 的作用是:对每个个体赋予权重,使得 treatment 组和 control 组的协变量平衡,并对应目标人群。这句话用数学语言描述为:



具体的权重 如何求?实际上,一旦我们确定了目标人群,即给定 的情况下,balancing weights 也随之确定:



因此,基于观测数据样本,我们建立如下的无偏因果效应估计器:



也就是说,当我们确定目标人群的时候,目标估计量就确定了,描述目标人群的 就确定了,balancing weights 也随之确定。


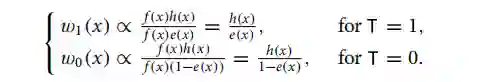
个我们最熟悉的例子,假设我们确定目标人群为观察到的 treatment 组和 control 组的所有人群,则我们的目标估计量为 ATE,且 ,那么具体的 balancing weights 为 ,代入因果效应估计器得到 。这其实就是我们最常用的 IPW —逆倾向性得分加权。
目标人群、 、目标估计量和权重的对应关系见下表:



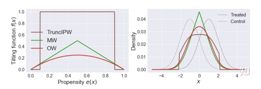
最后三个权重 OW,TruncIPW 和 MW,所选择的目标人群为协变量在 treatment 组和 control 组分布平衡的人群,如下图所示:


  • 图横坐标表示倾向性得分,纵坐标表示目标人群的过滤函数 ,这个图说明 OW 和 MW 倾向于给 的人更大的权重, 也就意味着该协变量在 treatment 组和 control 组分布平衡(TruncIPW 通过阈值 α 的选择,也能达到这个目的);
  • 右图浅色线分别表示 treatment 组与 control 组的 density,不同颜色的线分别对应不同的 balancing weights 加权后的人群分布,集中在 treatment 组和 control 组协变量分布较为平衡的区域。



1.2 covariate balance


1.1 节中提到的 balancing weights 是传统因果推断领域的经典方法,其主要是构建一个基于倾向性得分 e(x) 的函数来确定权重,从而实现协变量的平衡,但是该方法基于倾向性得分,因此难免不了倾向性得分本身存在的问题:模型错误指定、存在极端权重导致结果方差过大等。


近年来,也有人提出了另外一种学习权重的方法,将权重学习问题定义为在一定约束条件下,关于协变量分布的矩匹配(moment matching)/距离的优化问题,即通过拉齐 treatment 组和 control 组的分布,直接学习权重,从而避免需要倾向性得分所带来的问题,但这种做法难以拓展到高维上。




Representation-based methods


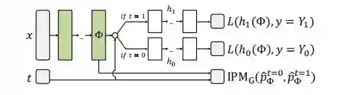
简单来说,Representation-based methods 的思路是从领域泛化的角度出发的:既然 confounders 影响了个体所接受的策略(X->T),进而导致 treatment 组和 control 组的协变量不平衡,那么干脆就学一个新的表征,该表征在 treatment 组和 control 组的分布平衡,且尽可能保留对Y的预测能力,同时丢掉与预测T有关的信息(把 X->T 这条边干掉,也就阻断了后门路径),从而避免了 confounders 带来的 bias。


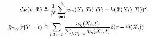
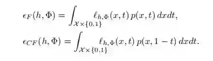
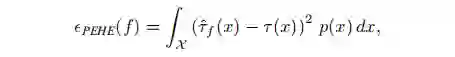
这类方法的代表工作是 [2] 提出的 CFR/TARNet。其最终的损失函数是由关于 CATE 的 bound 导出的(因为我们的目标就是估计因果效应)。 首先定义 ,那么估计的 的期望损失为:



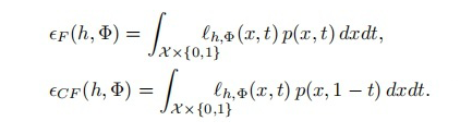
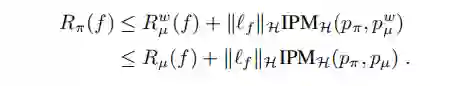
问题是,我们并不知道真正的 ,所以上式无法求解。经过推导可以发现,在一定假设下, 可以被事实期望损失 和反事实期望损失 给 bound 住:



问题是我们拿不到反事实的数据,因此反事实期望损失 也是无法求解的。但同样的,在一定假设下, 可以被 给 bound 住:



综上,在一定假设下,CATE 的期望损失 的 upper bound 可表示为:



其中 为 control 组样本关于 Y 的预测损失, 为 treatment 组样本关于 Y 的预测损失, 表示所学表征在 treatment 组和 control 组的分布距离。基于该 upper bound,可以得到最终的损失函数:



最小化上述损失函数意味着我们要:


  • 最小化事实数据的预测损失(传统的监督学习任务),这本质上是要求学到的表征要尽可能保留关于 Y 的信息;
  • 拉近 的分布距离,这本质上是要求学习的表征要尽可能丢掉关于 T 的信息。


所以,这其实是一个关于 predictive accuracy 与 imbalance in the representation space 两者间的 trade-off。若太追求表征空间的平衡,可能会导致与Y有关的信息损失太多;若太追求预测准确性,可能会导致平衡不到位,confounder bias 仍然存在。基于该损失函数设计的网络结构如下图所示:





改进1:reweighting与representation的组合拳


既然 reweighting 与 representation 的方法都各自有优缺点,且刚好能够互补(比如 representation 方法会丢失信息,reweighting 方法则不会),那么能否把它们结合起来,更好地解决 confounder bias 的问题呢?这正是下面三篇文章的本质出发点,不过它们的 motivation 略有区别(讲了不同的故事):


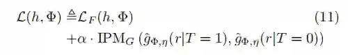
3.1 从bound出发


文章 [3][2] 是同一批作者,因此仍然从 upper bound 的角度进行推导。最终结论如下,在 representation 的基础上再进行 reweighting,能够获得一个比原来更加紧的 bound



最终导出的 loss 为:



基于该损失函数设计的网络结构为:



3.2 从representation出发


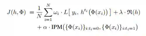
文章 [4] 的出发点是:representation 方法本质上在做信息的取舍,为了保证消除 confounder bias,理论上应该追求完美的 balance,即把关于 T 的信息完全干掉,但这会导致部分对预测 Y 有用的信息也损失掉了,导致 predictive accuracy 下降。既然 reweighting 方法不会造成信息丢失,那可以采取的做法是:representation 承担大部分 balance 的任务,但不追求完美的 balance,剩下的部分由 reweighting 承担。


最终的损失函数为:



其中,权重 的设计如下:



通过贝叶斯定义,上式第二项可化简为与倾向性得分有关的函数:



对应的网络结构如下所示:



3.3 从reweighting出发


文章 [5] 的出发点是:虽然理论上 balancing weights 可以实现完美的 covariate balance,但实际上我们往往学不到完美的权重,导致 confounder bias 没有完全去除。那么可以采取的做法是:reweighting 承担大部分 balancing 的任务,剩下的部分由 representation 承担。


最终的损失函数为:



其中:



这里的 可以是 1.1 节中提到的任一 balancing weights(因此一开始需要先用逻辑回归拟合倾向性得分)。


3.4 小结


虽然上述三篇文章的出发点都是融合 reweighting 和 representation,但其 motivation 不同,模型的细节也稍有不同(从 motivation 出发,这些不同也很好理解)。下面从几个不同角度对做一些区分和总结:


  • 从损失函数涉及到加权的位置看:3.1 和 3.3 在预测损失项和 IPM 项都分布涉及到了加权;3.2 只在预测损失项进行了加权;
  • 从学习权重的输入空间看:3.1 和 3.2 的权重的输入空间是在表征空间上的,由于表征随着训练的 epoch 不断改变, 因此 是需要反复交替训练的;3.3 的权重的输入空间是在协变量空间上的,因此在训练过程中, 只要学习一次;
  • 从学习表征的输入空间看: 3.1 和 3.2 表征映射函数 的输入空间都是原始的协变量空间,即 ;3.3 表征映射函数 的输入空间是加权后的协变量空间,即
  • 从学习权重的技术路线看:3.1 走的 1.2 中提到的,直接以缩小分布距离作为优化目标去学习权重的路线;3.2 和 3.3 走的是 1.1 节中提到的,balancing weights 的路线。




改进2:谁才是真正的confounders


针对于 reweighting 和 representation 的方法,还有另外一种可以改进的思路。我们可以发现,上面几节提出的方法都是直接把所有的协变量都当作 confounders,然而实际上可能并非如此,可能有些协变量只影响 T,我们称之为 Instrumental Variable;有些变量只影响 Y,我们称之为 Adjustment Variable;而同时影响 T 和 Y 的变量,才是 Confounder Variable。


也就是说,为了控制 confounder bias,我们其实只需要控制住真正的 confounder 变量,把非 confounder 变量考虑进来,不仅会造成要平衡的分布维度过高,还会产生额外的 bias。下面针对 reweighting 和 representation 两条技术路线,分别简单介绍两篇文章。


[6] 这篇文章,是在 reweighting 框架下更加细粒度地控制 confounder bias 的,具体走的 1.2 节中提到的,通过拉齐协变量分布的一阶矩来学习样本 权重 。此外,还 额外引入了 confounder weights 来判断每个协变量是否是 confounders 以及其对 confounder bias 的贡献。


体而言,文章的目标估计量是 ATT,对数据生成过程做了如下的线性假设:,通过推导发现在上述假设下,具潜在结果 对协变量X回归得到的参数 ,正好就是要求的 confounder weights:


[7] 这篇文章,是在 representation 框架下更加细粒度地控制 confounder bias 的。其对数据生成过程的假设如下面因果图所示:



因此,借助图上的一些条件独立性性质,例如 ,我们可以首 先将协变量 解耦成 三部分 ,再将 的分布调整到 balance,最后基于 去预测 Y 即可。



参考文献

[1] Li F, Morgan K L, Zaslavsky A M. Balancing covariates via propensity score weighting[J]. Journal of the American Statistical Association, 2018, 113(521): 390-400.

[2] Shalit U, Johansson F D, Sontag D. Estimating individual treatment effect: generalization bounds and algorithms[C]//International Conference on Machine Learning. PMLR, 2017: 3076-3085.

[3] Johansson F D, Kallus N, Shalit U, et al. Learning weighted representations for generalization across designs[J]. arXiv preprint arXiv:1802.08598, 2018.

[4] Negar Hassanpour and Russell Greiner. Counterfactual regression with importance sampling weights. In Proceedings of the Twenty-Eighth International Joint Conference on Artifificial Intelligence, IJCAI-19, pp. 5880–5887, 2019.

[5] Assaad S, Zeng S, Tao C, et al. Counterfactual representation learning with balancing weights[C]//International Conference on Artificial Intelligence and Statistics. PMLR, 2021: 1972-1980.

[6] Kuang K, Cui P, Li B, et al. Estimating treatment effect in the wild via differentiated confounder balancing[C]//Proceedings of the 23rd ACM SIGKDD international conference on knowledge discovery and data mining. 2017: 265-274.

[7] Wu A, Kuang K, Yuan J, et al. Learning decomposed representation for counterfactual inference[J]. arXiv preprint arXiv:2006.07040, 2020.


更多阅读



#投 稿 通 道#

 让你的文字被更多人看到 



如何才能让更多的优质内容以更短路径到达读者群体,缩短读者寻找优质内容的成本呢?答案就是:你不认识的人。


总有一些你不认识的人,知道你想知道的东西。PaperWeekly 或许可以成为一座桥梁,促使不同背景、不同方向的学者和学术灵感相互碰撞,迸发出更多的可能性。 


PaperWeekly 鼓励高校实验室或个人,在我们的平台上分享各类优质内容,可以是最新论文解读,也可以是学术热点剖析科研心得竞赛经验讲解等。我们的目的只有一个,让知识真正流动起来。


📝 稿件基本要求:

• 文章确系个人原创作品,未曾在公开渠道发表,如为其他平台已发表或待发表的文章,请明确标注 

• 稿件建议以 markdown 格式撰写,文中配图以附件形式发送,要求图片清晰,无版权问题

• PaperWeekly 尊重原作者署名权,并将为每篇被采纳的原创首发稿件,提供业内具有竞争力稿酬,具体依据文章阅读量和文章质量阶梯制结算


📬 投稿通道:

• 投稿邮箱:hr@paperweekly.site 

• 来稿请备注即时联系方式(微信),以便我们在稿件选用的第一时间联系作者

• 您也可以直接添加小编微信(pwbot02)快速投稿,备注:姓名-投稿


△长按添加PaperWeekly小编




🔍


现在,在「知乎」也能找到我们了

进入知乎首页搜索「PaperWeekly」

点击「关注」订阅我们的专栏吧


·

登录查看更多
0

相关内容

因果推断,Causal Inference:The Mixtape
专知会员服务
109+阅读 · 2021年8月27日
最新《因果推断导论》课程,102页ppt
专知会员服务
185+阅读 · 2020年9月1日
生成扩散模型漫谈:最优扩散方差估计(上)
PaperWeekly
0+阅读 · 2022年9月25日
因果森林总结:基于树模型的异质因果效应估计
梯度下降(Gradient Descent)的收敛性分析
PaperWeekly
2+阅读 · 2022年3月10日
再谈变分自编码器(VAE):估计样本概率密度
PaperWeekly
3+阅读 · 2021年12月23日
多篇顶会看个体因果推断(ITE)的前世今生
PaperWeekly
3+阅读 · 2021年11月19日
度量学习中的pair-based loss
极市平台
65+阅读 · 2019年7月17日
详解常见的损失函数
七月在线实验室
20+阅读 · 2018年7月12日
CosFace: Large Margin Cosine Loss for Deep Face Recognition论文笔记
统计学习与视觉计算组
44+阅读 · 2018年4月25日
国家自然科学基金
4+阅读 · 2015年12月31日
国家自然科学基金
0+阅读 · 2015年12月31日
国家自然科学基金
0+阅读 · 2014年12月31日
国家自然科学基金
0+阅读 · 2013年12月31日
国家自然科学基金
0+阅读 · 2013年12月31日
国家自然科学基金
1+阅读 · 2012年12月31日
国家自然科学基金
0+阅读 · 2012年12月31日
国家自然科学基金
2+阅读 · 2012年12月31日
国家自然科学基金
0+阅读 · 2012年12月31日
国家自然科学基金
0+阅读 · 2009年12月31日
Arxiv
0+阅读 · 2022年11月22日
Arxiv
0+阅读 · 2022年11月22日
Arxiv
14+阅读 · 2022年10月15日
VIP会员
相关VIP内容
相关资讯
生成扩散模型漫谈:最优扩散方差估计(上)
PaperWeekly
0+阅读 · 2022年9月25日
因果森林总结:基于树模型的异质因果效应估计
梯度下降(Gradient Descent)的收敛性分析
PaperWeekly
2+阅读 · 2022年3月10日
再谈变分自编码器(VAE):估计样本概率密度
PaperWeekly
3+阅读 · 2021年12月23日
多篇顶会看个体因果推断(ITE)的前世今生
PaperWeekly
3+阅读 · 2021年11月19日
度量学习中的pair-based loss
极市平台
65+阅读 · 2019年7月17日
详解常见的损失函数
七月在线实验室
20+阅读 · 2018年7月12日
CosFace: Large Margin Cosine Loss for Deep Face Recognition论文笔记
统计学习与视觉计算组
44+阅读 · 2018年4月25日
相关基金
国家自然科学基金
4+阅读 · 2015年12月31日
国家自然科学基金
0+阅读 · 2015年12月31日
国家自然科学基金
0+阅读 · 2014年12月31日
国家自然科学基金
0+阅读 · 2013年12月31日
国家自然科学基金
0+阅读 · 2013年12月31日
国家自然科学基金
1+阅读 · 2012年12月31日
国家自然科学基金
0+阅读 · 2012年12月31日
国家自然科学基金
2+阅读 · 2012年12月31日
国家自然科学基金
0+阅读 · 2012年12月31日
国家自然科学基金
0+阅读 · 2009年12月31日
Top
微信扫码咨询专知VIP会员