生成扩散模型漫谈:最优扩散方差估计(上)

2022 年 9 月 25 日 PaperWeekly


©PaperWeekly 原创 · 作者 | 苏剑林
单位 | 追一科技
研究方向 | NLP、神经网络


对于生成扩散模型来说,一个很关键的问题是生成过程的方差应该怎么选择,因为不同的方差会明显影响生成效果。
《生成扩散模型漫谈:DDPM = 自回归式 VAE》我们提到,DDPM 分别假设数据服从两种特殊分布推出了两个可用的结果;《生成扩散模型漫谈:DDIM = 高观点DDPM》中的 DDIM 则调整了生成过程,将方差变为超参数,甚至允许零方差生成,但方差为 0 的 DDIM 的生成效果普遍差于方差非 0 的 DDPM;而《生成扩散模型漫谈:一般框架之 SDE 篇》显示前、反向 SDE 的方差应该是一致的,但这原则上在 时才成立;《Improved Denoising Diffusion Probabilistic Models》则提出将它视为可训练参数来学习,但会增加训练难度。
所以,生成过程的方差究竟该怎么设置呢?今年的两篇论文《Analytic-DPM: an Analytic Estimate of the Optimal Reverse Variance in Diffusion Probabilistic Models》和《Estimating the Optimal Covariance with Imperfect Mean in Diffusion Probabilistic Models》算是给这个问题提供了比较完美的答案。接下来我们一起欣赏一下它们的结果。




不确定性

事实上,这两篇论文出自同一团队,作者也基本相同。第一篇论文(简称 Analytic-DPM)下面简称在 DDIM 的基础上,推导了无条件方差的一个解析解;第二篇论文(简称 Extended-Analytic-DPM)则弱化了第一篇论文的假设,并提出了有条件方差的优化方法。本文首先介绍第一篇论文的结果。

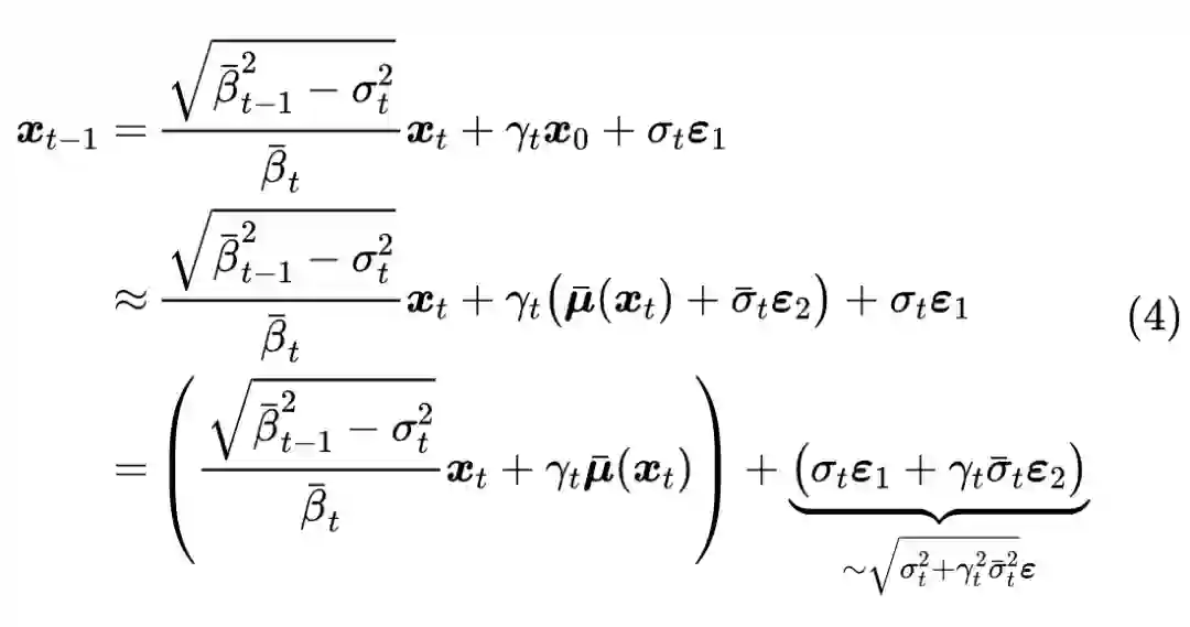
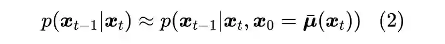
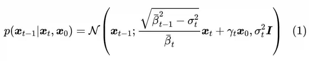
《生成扩散模型漫谈:DDIM = 高观点 DDPM》中,我们推导了对于给定的 ,对应的 的一般解为



其中 就是可调的标准差参数。在 DDIM 中,接下来的处理流程是:用 来估计 ,然后认为



然而,从贝叶斯的角度来看,这个处理是非常不妥的,因为从 预测 不可能完全准确,它带有一定的不确定性,因此我们应该用概率分布而非确定性的函数来描述它。事实上,严格地有



精确的 通常是没法获得的,但这里只要一个粗糙的近似,因此我们用正态分布 去逼近它(如何逼近我们稍后再讨论)。有了这个近似分布后,我们可以写出:



其中 。可以看到, 更加接近均值为 、协方差为 的正态分布,其中均值跟以往的结果是一致的,不同的是方差多出了 这一项,因此即便 ,对应的方差也不为0。多出来的这一项,就是第一篇论文所提的最优方差的修正项。




均值优化
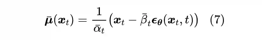
现在我们来讨论如何用 去逼近真实的 ,说白了就是求出 的均值和协方差。
对于均值 来说,它依赖于 ,所以需要一个模型来拟合它,而训练模型就需要损失函数。利用



我们得到



这就是训练 所用的损失函数。如果像之前一样引入参数化



就可以得到 DDPM 训练所用的损失函数形式 了。关于均值优化的结果是跟以往一致的,没有什么改动。




方差估计1
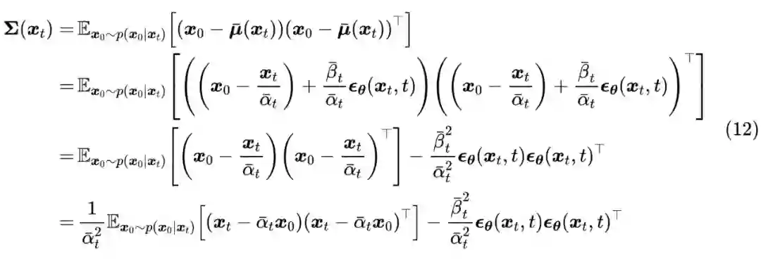
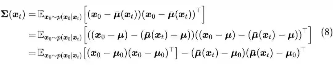
类似地,根据定义,协方差矩阵应该是



其中 可以是任意常向量,这对应于协方差的平移不变性。
上式估计的是完整的协方差矩阵,但并不是我们想要的,因为目前我们是想要用 去逼近 ,其中设计的协方差矩阵为 ,它有两个特点:
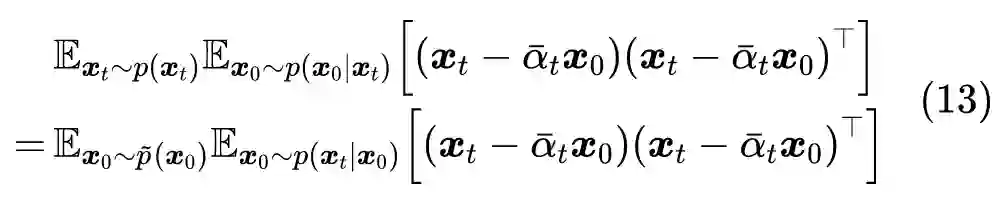
1、跟 无关:为了消除对 的依赖,我们对全体 求平均,即
2、单位阵的倍数:这意味着我们只用考虑对角线部分,并且对对角线元素取平均,即 ,其中
于是我们有



这是笔者给出的关于 的一个解析形式,在 完成训练的情况下,可以通过采样一批 来近似计算上式。
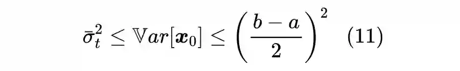
特别地,如果取 ,那么刚好可以写成



这里的 是全体训练数据 的像素级方差。如果 的每个像素值都在 区间内,那么它的方差显然不会超过 ,从而有不等式





方差估计2
刚才的解是笔者给出的、认为比较直观的一个解,Analytic-DPM 原论文则给出了一个略有不同的解,但笔者认为相对来说没那么直观。通过代入式(7),我们可以得到:



此时如果两端对 求平均,我们有



别忘了 ,所以 实际上就是 的均值,那么 实际上是在求 的均值的协方差矩阵,结果显然就是 ,所以



那么

两边取迹然后处以 ,得到



这就得到了另一个估计和上界,这就是 Analytic-DPM 的原始结果。




实验结果

原论文的实验结果显示,Analytic-DPM 所做的方差修正,主要在生成扩散步数较少时会有比较明显的提升,所以它对扩散模型的加速比较有意义:


▲ Analytic-DPM 主要在扩散步数较少时会有比较明显的效果提升

笔者也在之前自己实现的代码上尝试了Analytic-DPM 的修正,参考代码为:

Github:

https://github.com/bojone/Keras-DDPM/blob/main/adpm.py 


当扩散步数为 10 时,DDPM 与 Analytic-DDPM 的效果对比如下图:


▲ DDPM 在扩散步数为 10 时的生成结果


▲ Analytic-DDPM 在扩散步数为 10 时的生成结果

可以看到,在扩散步数较小时,DDPM 的生成效果比较光滑,有点“重度磨皮”的感觉,相比之下 Analytic-DDPM 的结果显得更真实一些,但是也带来了额外的噪点。从评价指标来说,Analytic-DDPM 要更好一些。




吹毛求疵

至此,我们已经完成了 Analytic-DPM 的介绍,推导过程略带有一些技巧性,但不算太复杂,至少思路上还是很明朗的。如果读者觉得还是很难懂,那不妨再去看看原论文在附录中用 7 页纸、13 个引理完成的推导,想必看到之后就觉得本文的推导是多么友好了哈哈~

诚然,从首先得到这个方差的解析解来说,我为原作者们的洞察力而折服,但不得不说的是,从“事后诸葛亮”的角度来说,Analytic-DPM 在推导和结果上都走了一些的“弯路”,显得“太绕”、”太巧“,从而感觉不到什么启发性。其中,一个最明显的特点是,原论文的结果都用了 来表达,这就带来了三个问题:一来使得推导过程特别不直观,难以理解“怎么想到的”;二来要求读者额外了解得分匹配的相关结果,增加了理解难度;最后落到实践时, 又要用回 来表示,多绕一道。
本文推导的出发点是,我们是在估计正态分布的参数,对于正态分布来说,矩估计与最大似然估计相同,因此直接去估算相应的均值方差即可。结果上,没必要强行在形式上去跟 、得分匹配对齐,因为很明显 Analytic-DPM 的 baseline 模型是 DDIM,DDIM 本身就没有以得分匹配为出发点,增加与得分匹配的联系,于理论和实验都无益。直接跟 对齐,形式上更加直观,而且更容易跟实验形式进行转换。




文章小结
本文分享了论文 Analytic-DPM 中的扩散模型最优方差估计结果,它给出了直接可用的最优方差估计的解析式,使得我们不需要重新训练就可以直接应用它来改进生成效果。笔者用自己的思路简化了原论文的推导,并进行了简单的实验验证。


更多阅读



#投 稿 通 道#

 让你的文字被更多人看到 



如何才能让更多的优质内容以更短路径到达读者群体,缩短读者寻找优质内容的成本呢?答案就是:你不认识的人。


总有一些你不认识的人,知道你想知道的东西。PaperWeekly 或许可以成为一座桥梁,促使不同背景、不同方向的学者和学术灵感相互碰撞,迸发出更多的可能性。 


PaperWeekly 鼓励高校实验室或个人,在我们的平台上分享各类优质内容,可以是最新论文解读,也可以是学术热点剖析科研心得竞赛经验讲解等。我们的目的只有一个,让知识真正流动起来。


📝 稿件基本要求:

• 文章确系个人原创作品,未曾在公开渠道发表,如为其他平台已发表或待发表的文章,请明确标注 

• 稿件建议以 markdown 格式撰写,文中配图以附件形式发送,要求图片清晰,无版权问题

• PaperWeekly 尊重原作者署名权,并将为每篇被采纳的原创首发稿件,提供业内具有竞争力稿酬,具体依据文章阅读量和文章质量阶梯制结算


📬 投稿通道:

• 投稿邮箱:hr@paperweekly.site 

• 来稿请备注即时联系方式(微信),以便我们在稿件选用的第一时间联系作者

• 您也可以直接添加小编微信(pwbot02)快速投稿,备注:姓名-投稿


△长按添加PaperWeekly小编



🔍

现在,在「知乎」也能找到我们了
进入知乎首页搜索「PaperWeekly」
点击「关注」订阅我们的专栏吧
·
·

登录查看更多
0

相关内容

【NeurIPS 2022】扩散模型的深度平衡方法
专知会员服务
40+阅读 · 2022年11月5日
专知会员服务
121+阅读 · 2021年10月6日
最新《深度卷积神经网络理论》报告,35页ppt
专知会员服务
47+阅读 · 2020年11月30日
生成扩散模型漫谈:统一扩散模型(应用篇)
PaperWeekly
0+阅读 · 2022年11月19日
生成扩散模型漫谈:统一扩散模型(理论篇)
PaperWeekly
1+阅读 · 2022年11月6日
生成扩散模型漫谈:条件控制生成结果
PaperWeekly
1+阅读 · 2022年10月26日
生成扩散模型漫谈:最优扩散方差估计(下)
PaperWeekly
0+阅读 · 2022年10月10日
生成扩散模型漫谈:一般框架之ODE篇
PaperWeekly
1+阅读 · 2022年9月1日
生成扩散模型漫谈:一般框架之SDE篇
PaperWeekly
0+阅读 · 2022年8月14日
生成扩散模型漫谈:DDIM = 高观点DDPM
PaperWeekly
5+阅读 · 2022年8月4日
生成扩散模型漫谈:DDPM = 贝叶斯 + 去噪
PaperWeekly
1+阅读 · 2022年7月24日
生成扩散模型漫谈:DDPM = 自回归式VAE
PaperWeekly
2+阅读 · 2022年7月10日
生成扩散模型漫谈:DDPM = 拆楼 + 建楼
PaperWeekly
1+阅读 · 2022年6月19日
国家自然科学基金
0+阅读 · 2014年12月31日
国家自然科学基金
5+阅读 · 2014年12月31日
国家自然科学基金
1+阅读 · 2014年12月31日
国家自然科学基金
0+阅读 · 2013年12月31日
国家自然科学基金
1+阅读 · 2012年12月31日
国家自然科学基金
3+阅读 · 2012年12月31日
国家自然科学基金
1+阅读 · 2012年12月31日
国家自然科学基金
0+阅读 · 2009年12月31日
国家自然科学基金
0+阅读 · 2009年12月31日
国家自然科学基金
1+阅读 · 2008年12月31日
Arxiv
0+阅读 · 2022年11月28日
Arxiv
0+阅读 · 2022年11月25日
Arxiv
46+阅读 · 2022年9月6日
Arxiv
14+阅读 · 2022年8月25日
VIP会员
相关VIP内容
【NeurIPS 2022】扩散模型的深度平衡方法
专知会员服务
40+阅读 · 2022年11月5日
专知会员服务
121+阅读 · 2021年10月6日
最新《深度卷积神经网络理论》报告,35页ppt
专知会员服务
47+阅读 · 2020年11月30日
相关资讯
生成扩散模型漫谈:统一扩散模型(应用篇)
PaperWeekly
0+阅读 · 2022年11月19日
生成扩散模型漫谈:统一扩散模型(理论篇)
PaperWeekly
1+阅读 · 2022年11月6日
生成扩散模型漫谈:条件控制生成结果
PaperWeekly
1+阅读 · 2022年10月26日
生成扩散模型漫谈:最优扩散方差估计(下)
PaperWeekly
0+阅读 · 2022年10月10日
生成扩散模型漫谈:一般框架之ODE篇
PaperWeekly
1+阅读 · 2022年9月1日
生成扩散模型漫谈:一般框架之SDE篇
PaperWeekly
0+阅读 · 2022年8月14日
生成扩散模型漫谈:DDIM = 高观点DDPM
PaperWeekly
5+阅读 · 2022年8月4日
生成扩散模型漫谈:DDPM = 贝叶斯 + 去噪
PaperWeekly
1+阅读 · 2022年7月24日
生成扩散模型漫谈:DDPM = 自回归式VAE
PaperWeekly
2+阅读 · 2022年7月10日
生成扩散模型漫谈:DDPM = 拆楼 + 建楼
PaperWeekly
1+阅读 · 2022年6月19日
相关基金
国家自然科学基金
0+阅读 · 2014年12月31日
国家自然科学基金
5+阅读 · 2014年12月31日
国家自然科学基金
1+阅读 · 2014年12月31日
国家自然科学基金
0+阅读 · 2013年12月31日
国家自然科学基金
1+阅读 · 2012年12月31日
国家自然科学基金
3+阅读 · 2012年12月31日
国家自然科学基金
1+阅读 · 2012年12月31日
国家自然科学基金
0+阅读 · 2009年12月31日
国家自然科学基金
0+阅读 · 2009年12月31日
国家自然科学基金
1+阅读 · 2008年12月31日
Top
微信扫码咨询专知VIP会员