50.1%AP!D2Det:高质量目标检测和实例分割(已开源)

2020 年 6 月 13 日 CVer

点击上方“CVer”,选择加"星标"置顶

重磅干货,第一时间送达

本文转载自:AI深度视线 |  论文已上传,文末附下载方式


D2Det:致力于高质量的目标检测和实例分割 在COCO上可达50.1 AP!(多尺度训练)47.4 AP(单尺度训练),性能优于Auto-FPN、TridentNet等网络。

文章链接:

后台回复关键字:D2Det

代码刚刚开源!

https://github.com/JialeCao001/D2Det

作者团队:天津大学&IIAI





1


摘要


我们提出了一种新颖的两阶段检测方法D2Det,它可以同时解决精确定位和精确分类的问题。

为了精确定位:

  • 引入了 密集局部回归 该回归可以预测object proposal的多个密集框偏移
    与两阶段检测器中使用的传统回归和基于关键点的定位不同,我们的密集局部回归不限于固定区域内的一组量化的关键点,并且具有回归位置敏感实数密集偏移的能力,从而导致更多精确的定位。通过减少背景区域对最终盒回归的影响的二进制重叠预测策略,进一步改善了密集局部回归。

为了进行准确的分类:

  • 引入了 判别式RoI合并方案 该方案可从proposal的各个子区域进行采样,并执行自适应加权以获得判别式特征
目标检测
在MS COCO test-dev上,使用ResNet101主干网, 本文的D2Det优于现有的两阶段方法,其单模型性能为45.4 AP。当使用多尺度训练和推理时,D2Det获得的AP为50.1
实例分割
与最新技术相比, 可实现40.2倍的蒙版AP加速。 我们还通过在无人机图像(UAVDT数据集)中进行物体检测和在卫星图像(iSAID数据集)中进行实例分割的实验,证明了D2Det在机载传感器上的有效性。


2


主要思路


大多数两级检测器基于预定义的anchor box在图像中表示每个对象。另外,一些单阶段方法提出了一个anchor free策略,消除了对anchor的需求。这通常涉及使用成对的关键点和关键点估计来检测目标边界框。这些方法都是自底向上的,因为关键点直接从整个图像生成,而不需要定义目标个体。

Grid RCNN的问题

与这些自下而上的方法不同, Grid RCNN是一种自上而下的两阶段方法,首先定义实例目标,然后使用网格引导的基于关键点的定位方法生成边界框关键点。 该策略通过对感兴趣区域的扩展区域映射, 在固定大小的区域内搜索一组关键点来识别目标边界。
  • 目标定位问题

关键点搜索是在固定分辨率的特征空间(56×56)中进行的,对于较大的物体来说,这可能是一个问题。在这种情况下(如物体大小>100×100图像像素),相对较小的搜索空间可能导致定位精度较低。
MS COCO上,与Grid R-CNN相比,我们单一的稠密局部回归(没有分类分支的改进)在大目标检测获得了3.7%的增益。
  • 目标分类问题

Grid R-CNN只注重于提高定位能力,与原始Faster-RCNN相比,并没有做大的改进,时保持了相似的原始分类分支。原来Faster-RCNN使用了RoIPool 对候选提案进行特征池,最近,RoIAlign在一些工作中取代了RoIPool。RoIAlign将候选方案划分为大小相同的空间子区域,并考虑方案内部子区域的特征。在每个子区域内得到4个采样点,并对所有采样点分配相等的权值进行平均。这可能会降低分类性能,因为区分区域可能不会出现在等距的子区域中。

本文介绍一种新方法,执行自适应加权,以增强区分特征分类。


3


具体实现



本文方法基于标准的Faster-R-CNN框架。在我们的方法中,提出的密集局部回归(第3.1节)代替了传统的更快的R-CNN的盒偏移回归,同时通过区分的RoI池来改进分类(第3.2节)。我们的两阶段检测框架的总体架构如图2(a)所示。

  • 第一阶段采用区域建议网络(RPN),稠密的局部回归分支(图2(b))旨在对目标进行精确定位。

  • 第二阶段采用独立的分类和回归分支。基于区分RoI pooling的分类分支(图2(c))旨在改进候选方案的分类。


3.1  Dense Local Regression

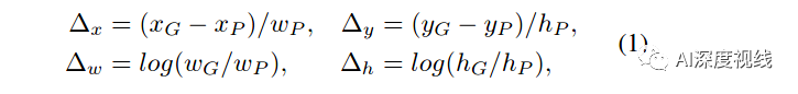
在两阶段的检测框架中,边界盒回归分支的目标是找到一个围绕对象的紧密边界盒。让P(xP, yP, wP, hP)作为候选目标,G(xG, yG, wG, hG)作为Ground Truth。FasterR-CNN中传统回归预测的边界盒偏移量(∆x,∆y,∆w,∆h)为:

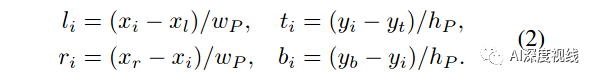
与上述策略不同,我们的Dense Local Regression(密集局部回归)方法将k×k维的RoI特征视为 K 2 个空间相邻的局部特征,其中一个局部特征如图2(b)中的p i 所示。 这些局部RoI特征通过一个完全卷积的网络来预测多个局部盒偏移量,称为密集盒偏移量。 密集盒偏移量用来预测每个(xi, yi)位置的局部特征pi到GT框左上和右下角的距离 。 下面四个变量l、t、r、b分别表示在左上右下四个维度上的密集盒偏移量:

局部特征的数量取决于候选目标和GT的重合度,但是即使重合度高的时候,也会有非目标特征(例如背景特征)出现在这K2个局部特征中。为了处理这种情况,采用二元重合度预测来对每个局部特征进行分类:


比较我们的密集局部回归(c)与传统的Faster-RCNN(a)和网格R-CNN(b)中的关键点定位。
  • 与传统FasterR-CNN相比:
传统FasterR-CNN回归使用全连接网络预测给定候选目标的单一全局偏移量(图3(a))。
与传统回归不同, 我们的密集局部回归使用全卷积网络产生多个位置敏感的盒偏移(图3(c))。此外,我们的二元重叠预测器减少了背景区域对最终盒回归的影响
  • GridR-CNN中使用的基于关键点的定位策略(图3(b))相比:
GridR-CNN与我们的方法类似,也使用了一个全卷积网络。 但我们的密集局部回归能够回归任何实数偏移量,并且不局限于固定兴趣区域内量化的一组关键点,因此可以更准确地定位目标。此外,我们的方法不需要反卷积上采样操作来增加边界盒定位的空间分辨率,从而避免了额外的计算开销。


3.2  Discriminative RoI Pooling

与回归不同的是,分类需要高度的区分特征。 本文的discriminative RoI pooling的灵感来自于deformable RoI pooling,并在两方面对其进行了改进。
  • 首先,我们使用一种轻量级的偏移量预测,它需要大约四分之一的参数,与可变形RoIpooling中的标准偏移量预测相比。
    标准偏移量预测采用RoIAlign操作从k×k子区域中获取特征,并将这些特征通过三个完全连通的层。相反,轻量级偏移预测只需要一个k/2 * k/2大小的RoIAlign,然后是完全连接的层(轻量级是因为更小的输入向量)。


  • 其次在偏移量预测之后,标准的deformable  RoIpooling使用一个RoIAlign,在每个子区域内获得的四个采样点都被平均分配相等的权值。与此相反,本文提出的加权pooling的目的是自适应地分配更高的权值给discriminative的采样点。例如下图中的右图,不同的采样点s1~s4被赋予不同的权值w1~w4。



注意:落在discriminative RoI pooling中的预测偏移量样本。所提取的特征很可能包含与目标及其上下文相关的识别信息,有望进一步提高分类性能。


3.3   Instance Segmentation

通过修改密集局部回归分支, 本文方法可以很容易地扩展到实例分割
在Eq.(3)中,我们使用实例分割中可用的ground-truth mask来标注局部特征pi∈P,而不是假设ground-truth边界盒G内的所有区域都属于对象(Sec.3.1)。基于mask的ground-truth用来训练二值重叠预测和密集回归分支中的偏移预测(图2 (b))。在推理过程中,二值重叠预测来提供实例分割预测mask
此外, 我们利用两个反卷积层将输出空间分辨率提高4倍(即,从7×7到28×28)和两个全连接层来有效地进行mask scoring。
本文方法提供了一个高效的实例分割框架和较高的分割性能(见实验部分)。


4


实验结果


4.1 COCO结果比较

  • 基准比较

  • 量化分析


  • 消融实验


4.2 UAVDT结果比较


4.3 实例分割结果比较

论文下载

在CVer公众号后台回复:D2Det,即可下载本论文

重磅!CVer-目标检测 微信交流群已成立


扫码添加CVer助手,可申请加入CVer-目标检测 微信交流群,目前已汇集4000人!涵盖2D/3D目标检测、小目标检测、遥感目标检测等。互相交流,一起进步!


同时也可申请加入CVer大群和细分方向技术群,细分方向已涵盖:目标检测、图像分割、目标跟踪、人脸检测&识别、OCR、姿态估计、超分辨率、SLAM、医疗影像、Re-ID、GAN、NAS、深度估计、自动驾驶、强化学习、车道线检测、模型剪枝&压缩、去噪、去雾、去雨、风格迁移、遥感图像、行为识别、视频理解、图像融合、图像检索、论文投稿&交流、PyTorch和TensorFlow等群。


一定要备注:研究方向+地点+学校/公司+昵称(如目标检测+上海+上交+卡卡),根据格式备注,可更快被通过且邀请进群

▲长按加群


▲长按关注我们

麻烦给我一个在看

登录查看更多
0

相关内容

实例分割是在像素级识别对象轮廓的任务。
3D目标检测进展综述
专知会员服务
193+阅读 · 2020年4月24日
专知会员服务
164+阅读 · 2020年4月21日
CVPR2020 | 商汤-港中文等提出PV-RCNN:3D目标检测新网络
专知会员服务
45+阅读 · 2020年4月17日
2019最全目标检测指南
计算机视觉life
13+阅读 · 2019年10月22日
做目标检测,这一篇就够了!2019最全目标检测指南
机器学习算法与Python学习
30+阅读 · 2019年9月11日
目标检测中边界框的回归策略
极市平台
17+阅读 · 2019年9月8日
最全综述 | 图像目标检测
计算机视觉life
31+阅读 · 2019年6月24日
CenterNet:目标即点(代码已开源)
极市平台
25+阅读 · 2019年5月24日
FCOS: 最新的one-stage逐像素目标检测算法
极市平台
15+阅读 · 2019年4月14日
目标检测算法盘点(最全)
七月在线实验室
17+阅读 · 2018年4月27日
S4Net: Single Stage Salient-Instance Segmentation
Arxiv
10+阅读 · 2019年4月10日
DPOD: Dense 6D Pose Object Detector in RGB images
Arxiv
5+阅读 · 2019年2月28日
Arxiv
5+阅读 · 2018年4月17日
Arxiv
3+阅读 · 2018年3月5日
Arxiv
7+阅读 · 2018年1月24日
Arxiv
8+阅读 · 2018年1月12日
Arxiv
4+阅读 · 2017年11月14日
Arxiv
5+阅读 · 2016年12月29日
VIP会员
相关资讯
2019最全目标检测指南
计算机视觉life
13+阅读 · 2019年10月22日
做目标检测,这一篇就够了!2019最全目标检测指南
机器学习算法与Python学习
30+阅读 · 2019年9月11日
目标检测中边界框的回归策略
极市平台
17+阅读 · 2019年9月8日
最全综述 | 图像目标检测
计算机视觉life
31+阅读 · 2019年6月24日
CenterNet:目标即点(代码已开源)
极市平台
25+阅读 · 2019年5月24日
FCOS: 最新的one-stage逐像素目标检测算法
极市平台
15+阅读 · 2019年4月14日
目标检测算法盘点(最全)
七月在线实验室
17+阅读 · 2018年4月27日
相关论文
S4Net: Single Stage Salient-Instance Segmentation
Arxiv
10+阅读 · 2019年4月10日
DPOD: Dense 6D Pose Object Detector in RGB images
Arxiv
5+阅读 · 2019年2月28日
Arxiv
5+阅读 · 2018年4月17日
Arxiv
3+阅读 · 2018年3月5日
Arxiv
7+阅读 · 2018年1月24日
Arxiv
8+阅读 · 2018年1月12日
Arxiv
4+阅读 · 2017年11月14日
Arxiv
5+阅读 · 2016年12月29日
Top
微信扫码咨询专知VIP会员