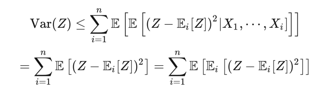
©  斯宾王 
 
     
     
     在概率论(probability theory)中有很多优美且重要的不等式,它们常常被称作集中不等式(concentration inequality)。这些不等式为随机变量偏离(deviate)某些值的概率给出界(bound),因此它们常常在机器学习(machine learning)中起到评估估计量(estimate)的作用。  
      
     
     
     比如,应用霍夫丁不等式(Hoeffding's inequality),可以得到经验误差(empirical error)偏离真实误差(true error)的上界。马尔可夫不等式(Markov's inequality)和切比雪夫不等式(Chebyshev's inequality)是集中不等式中最有名的,也是最基础的。  
      
    
 
    
 
     
     
     
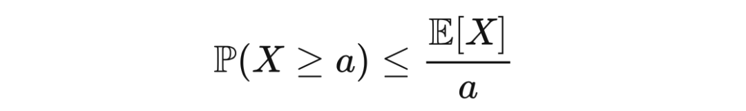
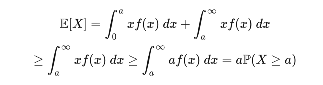
    著名的马尔可夫不等式为一个非负随机变量大于等于一个正值的概率给出了上界。此不等式以数学家马尔可夫命名,但由于它在马尔可夫的老师切比雪夫的工作中出现,也被称作切比雪夫不等式。为了和一般所指的切比雪夫不等式区分开,马尔可夫不等式被称作切比雪夫第一不等式,而一般所指的切比雪夫不等式被称作切比雪夫第二不等式。马尔可夫不等式如下所述。 
 
     
     定理 1.1(马尔可夫不等式) 若  
        
         
          
           
             
           
          
          是一个非负随机变量,且  
        
         
          
           
             
           
             
           
             
           
          
         ,那么  
      
    
 
     
     证明  由于  
        
         
          
           
             
           
          
          是非负的,所以  
        
         
          
           
            
              
            
           
             
           
             
           
             
           
             
           
            
              
            
             
               
             
            
              
            
           
             
           
             
           
             
           
             
           
             
           
             
           
             
           
          
         ,其中  
        
         
          
           
             
           
          
          是  
        
         
          
           
             
           
          
          的PDF(概率密度函数)。那么,  
      
     
     
     
     在实际应用中,常数  
        
         
          
           
             
           
          
          通常被选定为  
        
         
          
           
             
           
          
          的期望的正数倍,这样马尔可夫不等式可被写作  
      
    
 
     
     这里  
        
         
          
           
             
           
             
           
             
           
          
         。举个形象的例子,若  
        
         
          
           
             
           
          
          是收入,那么收入超过 3 倍平均收入的人不超过总人数的  
        
         
          
           
            
              
            
              
             
           
          
         。  
      
    
 
    
 
    
 
     
     
     
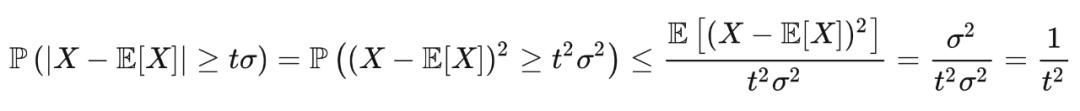
     切比雪夫不等式指出,随机变量偏离其期望超过  
        
         
          
           
             
           
          
          个标准差的概率以  
        
         
          
           
            
              
            
             
               
             
               
             
             
           
          
          为界。切比雪夫不等式的用途和正态分布的 68−95−99.7 法则类似,但可以应对更一般的概率分布。此不等式保证,对于一系列范围很广的随机变量,有至少 75% 的值分布离期望两个标准差之内的范围当中,有至少 88.9% 的值分布离期望三个标准差之内的范围当中。切比雪夫不等式是马尔可夫不等式的直接推论。  
      
    
 
    ▲ 68-95-99.7法则和切比雪夫不等式 
 
     
     定理 2.1(切比雪夫不等式) 若  
        
         
          
           
             
           
          
          是一个随机变量,其方差为  
        
         
          
           
            
              
            
              
            
           
             
           
             
           
             
           
             
           
            
              
            
           
             
           
          
         ,那么  
      
    
 
     
    
 
     
     切比雪夫不等式的一个重要应用是证明弱大数定律(weak law of large numbers)。对于  
        
         
          
           
            
             
               
             
              
                
              
             
            
              
            
           
             
           
            
              
            
              
             
           
            
              
            
              
            
             
               
             
               
             
               
             
            
           
            
              
            
              
            
           
          
         ,其中  
        
         
          
           
            
              
            
              
            
           
             
           
             
           
             
           
            
              
            
              
            
           
          
          是独立随机变量,和任意  
        
         
          
           
             
           
             
           
             
           
          
         ,令  
        
         
          
           
             
           
             
           
            
              
            
             
              
               
                 
               
                 
               
                 
               
              
                
              
               
                
                  
                
                 
                   
                 
                
               
                 
               
              
                
              
             
               
              
             
           
          
         ,并应用切比雪夫不等式,我们就可以得到弱大数定律。  
      
     
     定理 2.2(弱大数定律 ) 令  
        
         
          
           
             
           
            
              
            
              
            
           
            
              
            
             
               
             
               
             
              
                
              
             
            
           
          
          为独立随机变量序列,其中所有  
        
         
          
           
            
              
            
              
            
           
          
          均值相等,且方差均为  
        
         
          
           
            
              
            
              
            
           
             
           
             
           
             
           
             
           
            
              
            
           
             
           
          
         ,并令  
        
         
          
           
            
             
               
             
              
                
              
             
            
              
            
           
             
           
            
              
            
              
             
           
            
              
            
              
            
             
               
             
               
             
               
             
            
           
            
              
            
              
            
           
          
         。那么,对于任意  
        
         
          
           
             
           
             
           
             
           
          
         ,  
      
     
    
 
     
    
 
    
 
    
 
     
     
    坎泰利不等式(Cantelli's inequality)是对切比雪夫不等式单边尾界(tail bound)的改进。尽管此不等式以数学家坎泰利命名,它在切比雪夫的工作中已经出现。 
 
     
     定理 3.1(坎泰利不等式) 若  
        
         
          
           
             
           
          
          是一个随机变量,其方差为  
        
         
          
           
            
              
            
              
            
           
             
           
             
           
             
           
             
           
            
              
            
           
             
           
          
         ,那么,对于  
        
         
          
           
             
           
             
           
             
           
          
         ,  
      
    
 
     
     
     
     其中第三个不等式是由于马尔可夫不等式。若选取  
        
         
          
           
             
           
             
           
             
           
          
          使得  
        
         
          
           
            
             
              
                
              
                
              
             
               
             
              
                
              
                
              
             
            
             
               
             
               
             
               
             
               
             
              
                
              
                
              
             
             
           
          
          最小,我们得到  
        
         
          
           
            
              
            
              
            
           
             
           
            
             
               
             
               
             
            
              
             
           
          
         。将此值代入上面的不等式,我们就得到了坎泰利不等式。  
      
     
     若选取  
        
         
          
           
             
           
             
           
             
           
          
         ,我们可以通过坎泰利不等式得到  
        
         
          
           
            
              
            
           
             
           
             
           
             
           
            
              
            
           
             
           
             
           
             
           
             
           
             
           
             
           
             
           
            
              
            
              
             
           
          
          和  
        
         
          
           
            
              
            
           
             
           
             
           
             
           
            
              
            
           
             
           
             
           
             
           
             
           
             
           
             
           
             
           
            
              
            
              
             
           
          
         。因此,坎泰利不等式表明,随机变量的平均数和中位数的差不会超过一个标准差。  
      
     
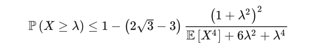
     切比雪夫不等式和坎泰利不等式用到的是随机变量的二阶矩(second-order moment),而若用到更高阶的矩,我们可以得到更强的不等式,比如何-张-张不等式。此不等式指出,若随机变量  
        
         
          
           
             
           
          
          满足  
        
         
          
           
            
              
            
           
             
           
             
           
             
           
             
           
             
           
          
         ,且  
        
         
          
           
            
              
            
           
             
           
            
              
            
              
            
           
             
           
             
           
             
           
          
         ,则  
      
     
    
 
    
 
    
 
    
 
     
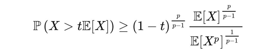
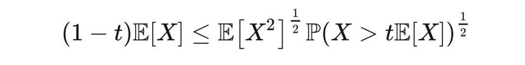
    前面的不等式为尾部概率给出了上界,而佩利-齐格蒙德不等式(Paley-Zygmund inequality)为尾部概率给出了下界。此不等式表述如下。 
 
     
     定理 4.1(佩利-齐格蒙德不等式) 若  
        
         
          
           
             
           
          
          是一个非负随机变量,且  
        
         
          
           
             
           
             
           
             
           
             
           
             
           
             
           
             
           
          
         ,那么  
      
    
 
     
    
 
     
    
 
     
    
 
    整理后就是佩利-齐格蒙德不等式。 
 
     
     佩利-齐格蒙德不等式还有  
        
         
          
           
            
              
            
              
            
           
          
          版本:若  
        
         
          
           
             
           
          
          是一个非负随机变量, 
        
         
          
           
             
           
             
           
             
           
             
           
             
           
             
           
             
           
          
         ,且  
        
         
          
           
             
           
             
           
             
           
          
         ,那么  
      
    
 
    
 
    
 
    
 
     
     
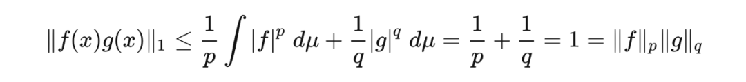
     赫尔德不等式(Hölder's inequality)是  
        
         
          
           
            
              
            
              
            
           
          
          空间中的积分所满足的不等式。 
        
         
          
           
            
              
            
              
            
           
          
          空间是由这样的函数  
        
         
          
           
             
           
          
          所构成的空间:令  
        
         
          
           
             
           
             
           
             
           
            
              
            
           
             
           
             
           
             
           
          
          为一个测度空间(measure space),函数  
        
         
          
           
             
           
             
           
             
           
             
           
            
              
            
           
          
          是可测的(measurable),且它的  
        
         
          
           
            
              
            
              
            
           
          
          范数(norm) 
        
         
          
           
            
              
            
           
             
           
            
              
            
           
             
           
          
          满足  
        
         
          
           
            
              
            
           
             
           
            
             
               
             
            
              
            
           
             
           
             
           
             
           
             
           
             
           
            
              
            
              
            
           
             
           
             
           
            
              
            
             
               
             
              
                
              
             
               
             
            
           
             
           
            
              
            
           
          
         。赫尔德不等式的表述如下。  
      
     
     定理 5.1(赫尔德不等式) 假设  
        
         
          
           
             
           
             
           
             
           
             
           
             
           
             
           
             
           
            
              
            
           
             
           
          
         ,且  
        
         
          
           
            
              
            
              
             
           
             
           
            
              
            
              
             
           
             
           
             
           
          
         。若  
        
         
          
           
             
           
             
           
             
           
          
          是定义在  
        
         
          
           
             
           
          
          上的可测函数,那么  
      
    
 
     
     特别地,如果  
        
         
          
           
             
           
             
           
            
              
            
              
            
           
          
          且  
        
         
          
           
             
           
             
           
            
              
            
              
            
           
          
         ,则  
        
         
          
           
             
           
             
           
             
           
            
              
            
              
            
           
          
         ,且等式成立当且仅当  
        
         
          
           
             
           
             
           
             
           
            
              
            
              
            
           
             
           
             
           
             
           
             
           
            
              
            
              
            
           
             
           
             
           
             
           
             
           
          
         ,其中  
        
         
          
           
             
           
             
           
             
           
          
          为满足  
        
         
          
           
             
           
             
           
             
           
             
           
          
          的常数。  
      
     
     证明  我们首先证明一个工具性不等式:若  
        
         
          
           
             
           
             
           
             
           
             
           
             
           
          
          ,且  
        
         
          
           
             
           
             
           
             
           
             
           
             
           
             
           
             
           
          
         ,则  
      
    
 
     
     等式成立当且  
        
         
          
           
             
           
             
           
             
           
          
         。若  
        
         
          
           
             
           
             
           
             
           
          
         ,结论无需证明。若  
        
         
          
           
             
           
             
           
             
           
          
         ,将不等式两边同时除以  
        
         
          
           
             
           
          
         ,并令  
        
         
          
           
             
           
             
           
             
           
            
              
            
           
             
           
          
         ,我们要证明的结论变为  
        
         
          
           
            
              
            
             
               
             
            
           
             
           
             
           
             
           
             
           
             
           
             
           
             
           
          
         ,等式成立当且仅当  
        
         
          
           
             
           
             
           
             
           
          
         。由于  
        
         
          
           
            
              
            
             
               
             
            
           
             
           
             
           
             
           
          
          在  
        
         
          
           
             
           
             
           
             
           
          
          时严格单调递增,并在  
        
         
          
           
             
           
             
           
             
           
          
          时严格单调递减,所以  
        
         
          
           
            
              
            
             
               
             
            
           
             
           
             
           
             
           
          
          在  
        
         
          
           
             
           
             
           
             
           
          
          时达到最大值,而最大值正是  
        
         
          
           
             
           
             
           
             
           
          
         。  
      
     
     若  
        
         
          
           
            
              
            
           
             
           
            
             
               
             
            
              
            
           
             
           
             
           
          
          或  
        
         
          
           
            
              
            
           
             
           
            
             
               
             
            
              
            
           
             
           
             
           
          
         ,或者  
        
         
          
           
            
              
            
           
             
           
            
             
               
             
            
              
            
           
             
           
            
              
            
           
          
          或  
        
         
          
           
            
              
            
           
             
           
            
             
               
             
            
              
            
           
             
           
            
              
            
           
          
         ,结论无需证明。此外,若结论对于  
        
         
          
           
             
           
             
           
             
           
          
          成立,则结论对于  
        
         
          
           
             
           
             
           
             
           
          
          的标量倍数成立。因此,我们只需证明不等式当  
        
         
          
           
            
              
            
           
             
           
            
             
               
             
            
              
            
           
             
           
            
              
            
           
             
           
            
             
               
             
            
              
            
           
             
           
             
           
          
          是成立,等式成立当且仅当  
        
         
          
           
             
           
             
           
            
              
            
              
            
           
             
           
             
           
             
           
            
              
            
              
            
           
             
           
             
           
             
           
             
           
          
          令  
        
         
          
           
             
           
             
           
             
           
             
           
             
           
             
           
             
           
            
              
            
              
            
           
             
           
             
           
             
           
             
           
             
           
             
           
             
           
             
           
            
              
            
              
            
           
          
         ,并令  
        
         
          
           
             
           
             
           
            
              
            
              
             
           
          
         。根据之前证明的工具,我们有  
      
    
 
     
    
 
     
     
     概率论中的赫尔德不等式表述如下:若  
        
         
          
           
             
           
             
           
             
           
            
              
            
           
             
           
            
              
            
           
             
           
          
          是一个概率空间,且  
        
         
          
           
            
              
            
           
          
          是期望算子(operator),则实值或复值随机变量  
        
         
          
           
             
           
             
           
             
           
          
          满足  
      
    
 
     
     赫尔德不等式的一个推论是闵可夫斯基不等式(Minkowski inequality),即  
        
         
          
           
            
              
            
              
            
           
          
          空间中的函数所满足的三角不等式(triangle inequality)  
      
    
 
     
     这里  
        
         
          
           
             
           
             
           
             
           
             
           
             
           
            
              
            
           
             
           
          
         , 
        
         
          
           
            
              
            
           
             
           
            
             
               
             
            
              
            
           
             
           
             
           
             
           
             
           
             
           
            
              
            
              
            
           
             
           
             
           
            
              
            
             
               
             
              
                
              
             
               
             
            
           
          
         ,且  
        
         
          
           
             
           
             
           
             
           
             
           
            
              
            
              
            
           
          
         。若用概率论的语言表达,此不等式是  
      
     
    
 
    
 
    
 
    
 
     
     
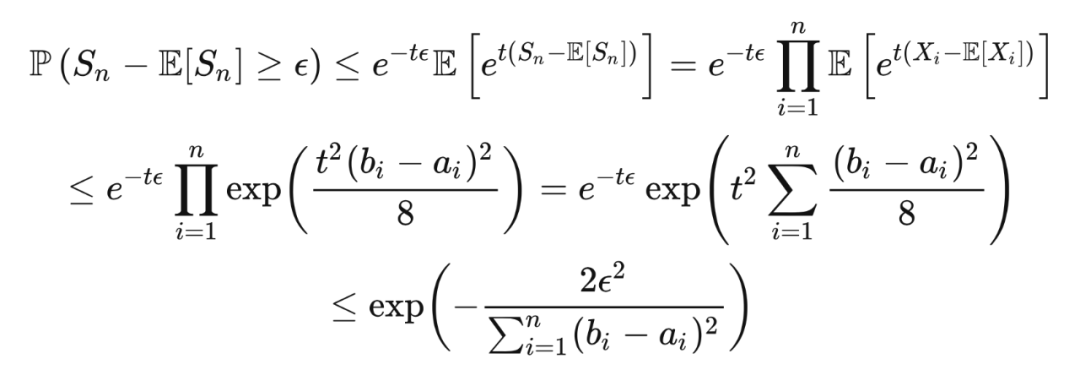
     对于有界独立随机变量之和  
        
         
          
           
             
           
          
         ,霍夫丁不等式(Hoeffding's inequality)给出了  
        
         
          
           
             
           
          
          偏离其期望的概率的上界。若随机变量  
        
         
          
           
            
              
            
              
            
           
          
          在区间  
        
         
          
           
             
           
            
              
            
              
            
           
             
           
            
              
            
              
            
           
             
           
          
          上取值,那么霍夫丁不等式说指出, 
        
         
          
           
             
           
          
          个随机变量之和  
        
         
          
           
            
              
            
              
            
           
          
          满足  
      
    
 
     
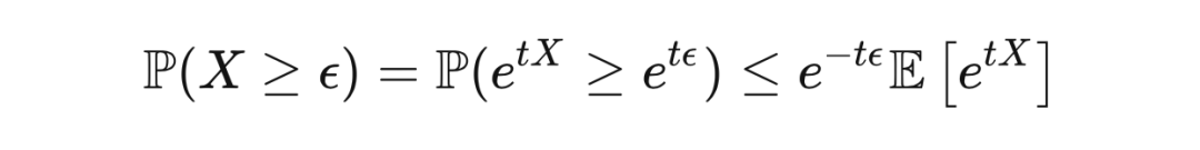
     我们在不等式的证明中常常需要用到切尔诺夫边界技巧(Chernoff bounding technique):对于任意  
        
         
          
           
             
           
             
           
             
           
          
         ,先用马尔可夫不等式得出  
      
    
 
     
     再为  
        
         
          
           
            
              
            
           
             
           
            
              
            
             
               
             
               
             
            
           
             
           
          
          找到上界  
        
         
          
           
             
           
             
           
             
           
             
           
          
         ,然后选择  
        
         
          
           
             
           
          
          对  
        
         
          
           
            
              
            
             
               
             
               
             
               
             
            
           
             
           
             
           
             
           
             
           
          
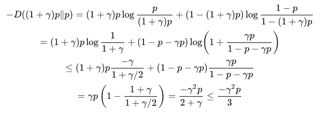
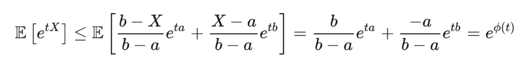
          进行最小化。对于霍夫丁不等式,我们所需的上界由霍夫丁引理(Hoeffding's lemma)给出。  
      
     
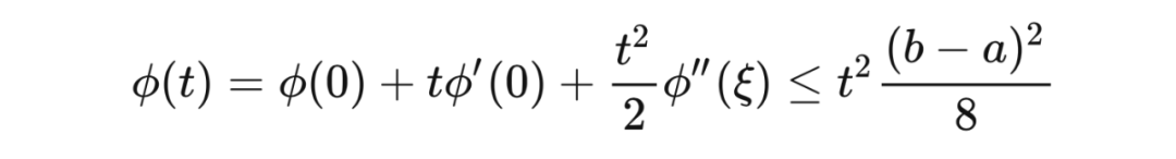
     引理 6.1(霍夫丁引理) 若  
        
         
          
           
            
              
            
           
             
           
             
           
             
           
             
           
             
           
          
         ,且  
        
         
          
           
             
           
             
           
             
           
             
           
             
           
             
           
             
           
          
         ,则对于任意  
        
         
          
           
             
           
             
           
             
           
          
         ,有  
      
    
 
     
    
 
    其中: 
 
     
    通过计算,我们得到: 
 
    
 
     
     其中  
        
         
          
           
             
           
             
           
            
              
            
             
               
             
               
             
               
             
             
           
          
         。注意  
        
         
          
           
             
           
             
           
             
           
             
           
             
           
            
              
            
             
               
             
            
           
             
           
             
           
             
           
             
           
             
           
          
         ,且  
        
         
          
           
            
              
            
             
               
             
            
           
             
           
             
           
             
           
             
           
             
           
             
           
             
           
             
           
             
           
             
           
             
           
             
           
             
           
             
           
            
              
            
              
            
           
          
         ,这里  
        
         
          
           
             
           
             
           
            
              
            
             
               
             
               
             
               
             
               
             
               
             
              
                
              
               
                 
               
                 
               
                 
               
                 
               
                 
               
                 
               
                 
               
              
             
             
           
          
         。由于  
        
         
          
           
             
           
             
           
             
           
             
           
             
           
             
           
             
           
          
         , 
        
         
          
           
             
           
             
           
             
           
             
           
             
           
             
           
             
           
            
              
            
              
             
           
          
         ,故  
        
         
          
           
            
              
            
             
               
             
            
           
             
           
             
           
             
           
             
           
            
             
               
             
               
             
               
             
               
             
              
                
              
                
              
             
            
              
             
           
            
              
            
           
             
           
             
           
             
           
          
         。根据泰勒定理(Taylor's theorem),存在  
        
         
          
           
             
           
             
           
             
           
             
           
             
           
             
           
             
           
          
         ,使得  
      
    
 
    接下来我们证明霍夫丁不等式。 
 
     
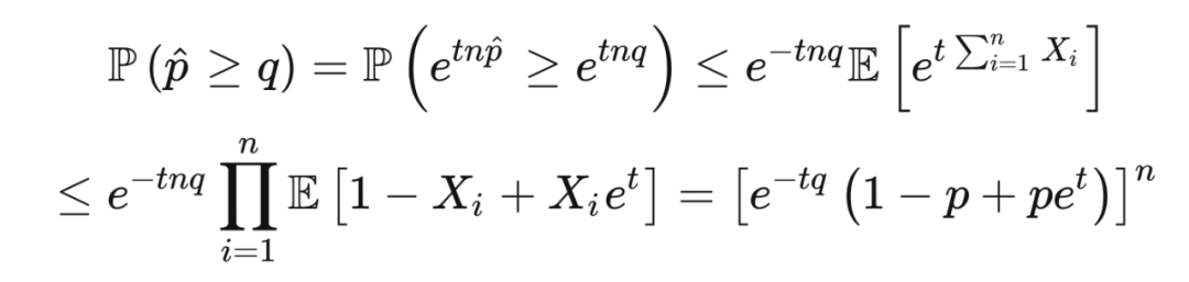
     定理 6.2(霍夫丁不等 式) 若随机变量  
        
         
          
           
            
              
            
              
            
           
             
           
             
           
            
              
            
              
            
           
          
          是独立的,且每个  
        
         
          
           
            
              
            
              
            
           
          
          在区间  
        
         
          
           
             
           
            
              
            
              
            
           
             
           
            
              
            
              
            
           
             
           
          
          上取值,那么对于任意  
        
         
          
           
             
           
             
           
             
           
          
          和  
        
         
          
           
            
              
            
              
            
           
             
           
            
              
            
              
            
             
               
             
               
             
               
             
            
           
            
              
            
              
            
           
          
         ,  
      
     
     
    
 
     
     这里第一个不等式是马尔可夫不等式,第一个等式是因为独立性,第二个不等式是因为霍夫丁引理,最后一个不等式是因为取  
        
         
          
           
             
           
             
           
            
             
               
             
               
             
            
             
              
                
              
                
              
               
                 
               
                 
               
                 
               
              
             
               
             
              
                
              
                
              
             
               
             
              
                
              
                
              
             
              
                
              
                
              
             
             
           
          
          来对上界进行最小化。  
      
     
     霍夫丁不等式可以用于给出置信区间。假如一个特制的硬币正面朝上的概率是  
        
         
          
           
             
           
          
         ,我们投  
        
         
          
           
             
           
          
          次硬币,并得到  
        
         
          
           
             
           
          
          个样本  
        
         
          
           
            
              
            
              
            
           
             
           
             
           
             
           
            
              
            
              
            
           
          
         。令  
        
         
          
           
            
              
            
              
            
           
             
           
            
              
            
              
            
             
               
             
               
             
               
             
            
           
            
              
            
              
            
           
          
          为观察到的正面朝上的次数,则霍夫丁不等式给出  
      
    
 
     
     令  
        
         
          
           
            
              
            
             
               
             
            
           
             
           
            
              
            
              
             
           
            
              
            
              
            
           
          
          为观察到的均值,我们想构造一个长度为  
        
         
          
           
             
           
             
           
          
          且置信水平为  
        
         
          
           
             
           
             
           
             
           
          
          的关于  
        
         
          
           
            
              
            
             
               
             
            
           
          
          的置信区间。由于  
      
    
 
     
    
 
    
 
    
 
    
 
     
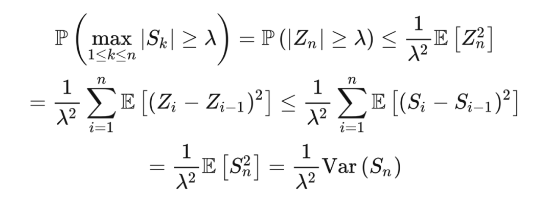
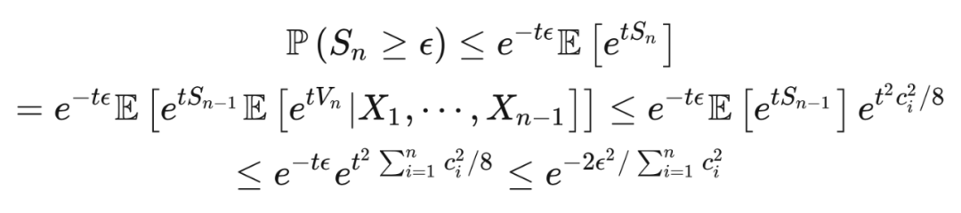
    柯尔莫哥洛夫不等式(Kolmogorov's inequality)又被称作最大值不等式(maximal inequality),它为随机变量的部分和(partial sum)的绝对值的最大值的尾部概率给出了上界。 
 
     
     定理 7.1(柯尔莫哥洛夫不等式) 若随机变量  
        
         
          
           
            
              
            
              
            
           
             
           
             
           
            
              
            
              
            
           
          
          是独立的,且所有  
        
         
          
           
            
              
            
              
            
           
          
          均值为 0 ,方差是有限的,那么,对于  
        
         
          
           
             
           
             
           
             
           
          
         ,  
      
    
 
     
     
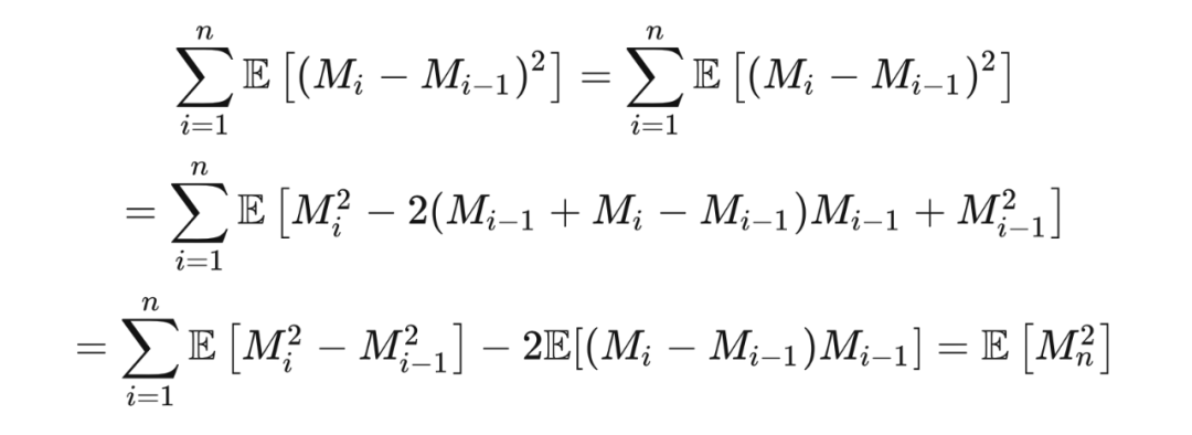
     证明  由于序列  
        
         
          
           
             
           
            
              
            
              
            
           
             
           
          
          由均值为 0 的独立随机变量组成,序列  
        
         
          
           
             
           
            
              
            
              
            
           
             
           
          
          构成一个鞅(martingale),即  
        
         
          
           
            
              
            
           
             
           
            
              
            
              
            
           
             
           
            
              
            
              
            
           
             
           
             
           
            
              
            
              
            
           
            
              
            
           
             
           
             
           
             
           
          
         。定义  
        
         
          
           
            
              
            
              
            
           
             
           
             
           
          
         ,并令  
      
    
 
     
     由于序列每个  
        
         
          
           
            
              
            
              
            
           
          
          都是某个  
        
         
          
           
            
              
            
              
            
           
          
         ,所以  
        
         
          
           
             
           
            
              
            
              
            
           
             
           
          
          构成一个鞅. 对于任意鞅  
        
         
          
           
            
              
            
              
            
           
          
         ,若  
        
         
          
           
            
              
            
              
            
           
             
           
             
           
          
         ,则  
      
    
 
    这里:  
 
     
    因此: 
 
    
 
     
    
 
    
 
    
 
    
 
     
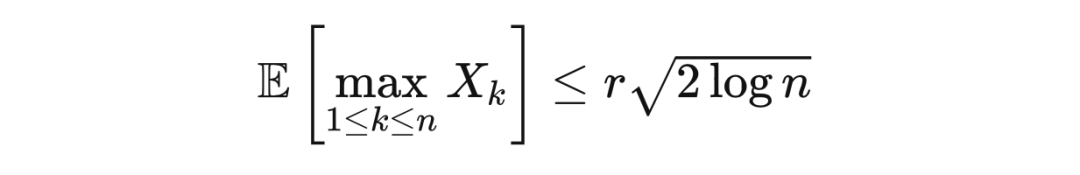
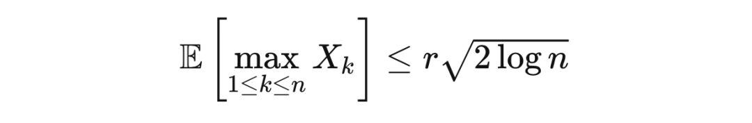
    除了柯尔莫哥洛夫的最大值不等式,我们再介绍两个关于随机变量的最大值的期望的不等式。对于满足一定条件的随机变量,这两个不等式中的上界由样本数的对数决定。 
 
     
     定理 8.1(最大值不等式) 令  
        
         
          
           
            
              
            
              
            
           
             
           
             
           
             
           
            
              
            
              
            
           
          
          为实值独立随机变量,使得对于任意  
        
         
          
           
             
           
             
           
             
           
             
           
             
           
             
           
             
           
             
           
             
           
          
          和  
        
         
          
           
             
           
             
           
             
           
          
         , 
        
         
          
           
            
              
            
           
             
           
            
              
            
             
               
             
              
                
              
                
              
             
            
           
             
           
             
           
            
              
            
             
              
               
                
                  
                
                  
                
               
                
                  
                
                  
                
               
              
                
               
             
            
           
          
         ,其中  
        
         
          
           
             
           
             
           
             
           
          
         。那么,  
      
    
 
     
     证明  任选  
        
         
          
           
             
           
             
           
             
           
          
         。由于指数函数是凸函数,根据詹森不等式,我们有  
      
    
 
     
     不等式两边同时取对数,再选取  
        
         
          
           
             
           
             
           
            
             
              
                
              
                
              
                
              
             
               
              
            
              
             
           
          
          使得右边的表达式最小化,我们得到  
      
    
 
     
     推论 8.2(最大值不等式) 令  
        
         
          
           
            
              
            
              
            
           
             
           
             
           
             
           
            
              
            
              
            
           
          
          为实值随机变量,使得对于任意  
        
         
          
           
             
           
             
           
             
           
             
           
             
           
             
           
             
           
             
           
             
           
          
         , 
        
         
          
           
            
              
            
              
            
           
             
           
            
              
            
              
            
             
               
             
               
             
               
             
            
           
            
              
            
             
               
             
               
             
            
           
          
         ,其中  
        
         
          
           
            
              
            
             
               
             
               
             
            
           
          
          是均值为 0 且在  
        
         
          
           
             
           
             
           
            
              
            
              
            
           
             
           
            
              
            
              
            
           
             
           
          
          取值的独立随机变量,这里  
        
         
          
           
            
              
            
              
            
           
             
           
             
           
          
         。那么  
      
    
 
     
     
    
 
     
     其中  
        
         
          
           
             
           
             
           
            
             
              
                
              
                
              
               
                 
               
                 
               
                 
               
              
             
              
                
              
                
              
                
              
             
            
              
             
           
          
         。这里的不等式是因为霍夫丁引理。应用定理 8.1,证毕。  
      
    
 
    
 
    
 
    
 
     
     
     霍夫丁不等式没有用到关于随机变量的分布的信息,而伯恩斯坦不等式(Bernstein's inequality)利用随机变量的方差给出了一个更紧的界。  
      
     
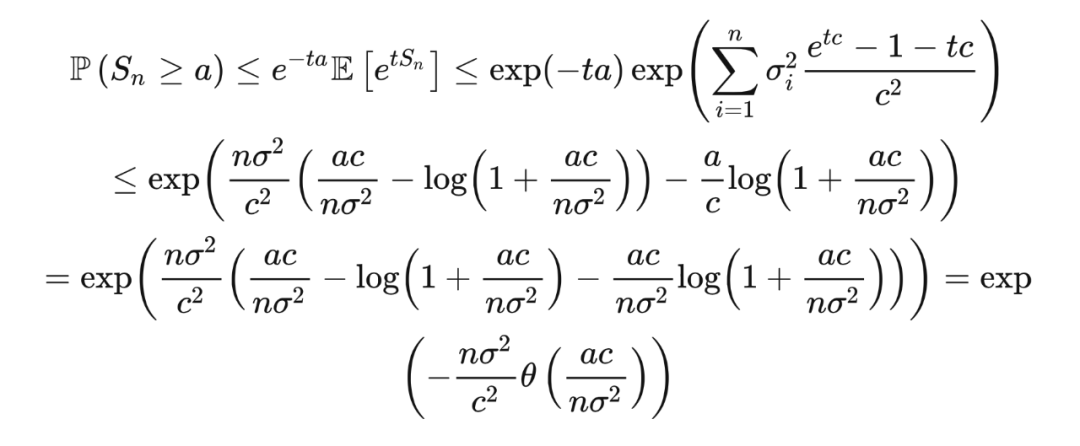
     定理 9.1(伯恩斯坦不等式) 令  
      
       
        
         
          
           
             
           
             
           
          
            
          
            
          
            
          
           
             
           
             
           
          
         
         
     为独立随机变量,使得对于任  
     意  
       
        
         
          
           
             
           
             
           
             
           
             
           
             
           
             
           
             
           
             
           
             
           
          
         , 
        
         
          
           
            
              
            
           
             
           
            
              
            
              
            
           
             
           
             
           
             
           
          
           
     ,  
     且   
      
       
        
         
          
            
          
           
             
           
             
           
          
            
          
            
          
            
          
         
         
     。  
     令   
      
       
        
         
          
           
             
           
             
           
          
            
          
           
             
           
             
            
          
           
             
           
            
              
            
           
            
              
            
              
            
              
            
           
          
           
             
           
             
           
             
           
          
            
          
           
             
           
             
           
          
            
          
         
         
     ,  
     则  
      
    
 
     
    
 
     
    
 
     
     
     
    
 
     
    
 
     
    
 
     
    
 
     
     
     令  
        
         
          
           
             
           
             
           
             
           
             
           
             
           
            
              
            
              
             
           
            
             
               
             
               
             
            
             
               
             
               
             
               
             
             
           
          
          和  
        
         
          
           
             
           
             
           
             
           
             
           
             
           
             
           
             
           
             
           
             
           
             
           
             
           
             
           
             
           
             
           
          
         。很容易证明, 
        
         
          
           
             
           
             
           
             
           
             
           
             
           
             
           
          
         ,且  
        
         
          
           
             
           
             
           
             
           
             
           
             
           
             
           
            
              
            
           
             
           
             
           
             
           
          
         ,故  
        
         
          
           
             
           
             
           
             
           
             
           
             
           
             
           
             
           
             
           
             
           
            
              
            
           
             
           
             
           
             
           
          
         。令  
        
         
          
           
             
           
             
           
             
           
             
           
          
         ,我们得到  
      
    
 
     
     事实上,霍夫丁不等式、吾妻不等式和切尔诺夫界都是伯恩斯坦不等式的特例。  
      
    
 
    
 
    
 
    
 
     
     
     在伯恩斯坦不等式的证明的中间步骤中,我们证明了不等式  
      
    
 
    而这就是班纳特不等式(Bennet's inequality)。 
 
     
     定理 10.1(班纳特不等式) 令  
        
         
          
           
            
              
            
              
            
           
             
           
             
           
             
           
            
              
            
              
            
           
          
          为独立随机变量,使得对于任意  
        
         
          
           
             
           
             
           
             
           
             
           
             
           
             
           
             
           
             
           
             
           
          
         , 
        
         
          
           
            
              
            
           
             
           
            
              
            
              
            
           
             
           
             
           
             
           
          
         ,且  
        
         
          
           
             
           
            
              
            
              
            
           
             
           
             
           
             
           
          
         。令  
        
         
          
           
            
              
            
              
            
           
             
           
            
              
            
              
             
           
            
              
            
              
            
             
               
             
               
             
               
             
            
           
            
              
            
              
            
              
            
           
             
           
            
              
            
              
            
           
             
           
          
         ,则  
      
    
 
     
     
     举例来说,若  
        
         
          
           
            
              
            
              
            
           
          
          是概率为  
        
         
          
           
             
           
          
          的独立的二元(binary)随机变量,那么班纳特不等式给出  
      
    
 
     
     相比之下,霍夫丁不等式给出的界是  
        
         
          
           
             
           
             
           
             
           
            
             
               
             
              
                
              
                
              
             
            
              
             
           
             
           
          
         ,伯恩斯坦不等式给出的界是  
        
         
          
           
             
           
             
           
             
           
            
             
               
             
               
             
            
             
               
             
               
             
               
             
               
             
               
             
               
             
              
                
              
             
               
             
             
           
             
           
          
         。  
      
    
 
    
 
    
 
    
 
     
    吾妻不等式(Azuma's inequality)给出了一个比霍夫丁不等式更普遍的结果,它是一个关于鞅差(martingale difference)的不等式。 
 
     
     定义 11.1  若在随机变量序列  
        
         
          
           
            
              
            
              
            
           
             
           
            
              
            
              
            
           
             
           
             
           
          
          中,每个  
        
         
          
           
            
              
            
              
            
           
          
          都是关于关于随机变量  
        
         
          
           
            
              
            
              
            
           
             
           
             
           
             
           
             
           
            
              
            
              
            
           
          
          的函数,且  
        
         
          
           
            
              
            
           
             
           
            
              
            
             
               
             
               
             
               
             
            
           
             
           
            
              
            
              
            
           
             
           
             
           
             
           
            
              
            
              
            
           
             
           
             
           
             
           
          
         ,则称  
        
         
          
           
            
              
            
              
            
           
             
           
            
              
            
              
            
           
             
           
             
           
          
          是关于  
        
         
          
           
            
              
            
              
            
           
             
           
            
              
            
              
            
           
             
           
             
           
          
          的一个鞅差序列。  
      
     
     下面的结论和霍夫丁引理类似,证明过程近乎一致,只是把期望替换为条件期望,并选取  
        
         
          
           
             
           
             
           
             
           
             
           
             
           
             
           
          
          和  
        
         
          
           
             
           
             
           
             
           
             
           
             
           
             
           
             
           
             
           
          
         。  
      
     
     引理 11.2  若随机变量  
        
         
          
           
             
           
             
           
             
           
          
          满足  
        
         
          
           
            
              
            
           
             
           
             
           
             
           
             
           
             
           
             
           
             
           
          
         ,且存在函数  
        
         
          
           
             
           
          
          和常数  
        
         
          
           
             
           
             
           
             
           
          
         ,使得  
        
         
          
           
             
           
             
           
             
           
             
           
             
           
             
           
             
           
             
           
             
           
             
           
             
           
             
           
             
           
          
         ,那么对于任意  
        
         
          
           
             
           
             
           
             
           
          
         ,有  
      
    
 
    现在我们来推导吾妻不等式。 
 
     
     定理 11.3(吾妻不等式) 令随机变量序列  
        
         
          
           
            
              
            
              
            
           
             
           
            
              
            
              
            
           
             
           
             
           
          
          为关于随机变量序列  
        
         
          
           
            
              
            
              
            
           
             
           
            
              
            
              
            
           
             
           
             
           
          
          的一个鞅差序列. 若对于所有  
        
         
          
           
             
           
          
          都存在常数  
        
         
          
           
            
              
            
              
            
           
             
           
             
           
          
          和作为关于  
        
         
          
           
            
              
            
              
            
           
             
           
             
           
             
           
             
           
            
              
            
             
               
             
               
             
               
             
            
           
          
          的函数的随机变量  
        
         
          
           
            
              
            
              
            
           
          
         ,使得  
        
         
          
           
            
              
            
              
            
           
             
           
            
              
            
              
            
           
             
           
            
              
            
              
            
           
             
           
            
              
            
              
            
           
          
         ,那么对于任意  
        
         
          
           
             
           
             
           
             
           
          
          和  
        
         
          
           
             
           
             
           
            
              
            
           
          
         ,  
      
    
 
     
     证明  对于任意  
        
         
          
           
             
           
             
           
             
           
             
           
             
           
             
           
             
           
             
           
             
           
          
         ,令  
        
         
          
           
            
              
            
              
            
           
             
           
            
              
            
              
            
             
               
             
               
             
               
             
            
           
            
              
            
              
            
           
          
         。应用切尔诺夫边界技巧和引理 11.2,我们有  
      
    
 
     
     这里第一个不等式是马尔可夫不等式,第一个等式是因为塔性(tower property),第二个不等式是因为引理 11.2,最后一个不等式是因为取  
        
         
          
           
             
           
             
           
             
           
             
           
            
              
            
           
            
              
            
              
            
             
               
             
               
             
               
             
            
           
            
              
            
              
            
              
            
           
          
          来对上界进行最小化。  
      
     
     现在我们来看一个简单的例子。若令  
        
         
          
           
            
              
            
              
            
           
          
          为 i.i.d 随机硬币投掷,那么由于  
        
         
          
           
            
              
            
              
            
           
             
           
            
              
            
              
            
             
               
             
               
             
               
             
            
           
            
              
            
              
            
           
          
          满足  
        
         
          
           
             
           
            
              
            
              
            
           
             
           
            
              
            
             
               
             
               
             
               
             
            
           
             
           
             
           
             
           
          
         ,吾妻不等式给出  
        
         
          
           
            
              
            
           
             
           
            
              
            
              
            
           
             
           
             
           
             
           
             
           
            
              
            
             
               
             
              
                
              
                
              
             
              
                
              
             
               
             
               
             
               
             
               
             
            
           
          
         。设  
        
         
          
           
             
           
             
           
            
             
               
             
               
             
               
             
               
             
            
              
             
           
          
         ,则  
        
         
          
           
            
              
            
           
             
           
            
              
            
              
            
           
             
           
            
             
               
             
               
             
               
             
               
             
            
              
             
           
             
           
             
           
             
           
            
              
            
           
             
           
          
         ,即  
        
         
          
           
            
              
            
              
            
           
          
          距 0 偏离大于  
        
         
          
           
            
             
               
             
               
             
               
             
               
             
            
              
             
           
          
          的概率随  
        
         
          
           
             
           
             
           
            
              
            
           
          
          趋向于 0 。  
      
    
 
    
 
    
 
    
 
     
     
     麦克迪尔米德不等式(McDiarmid's inequality)是机器学习中很重要的一个不等式,对于关于独立随机变量的函数的样本值与期望值的偏离,它给出了界。此不等式成立的条件是有界差性质(bounded difference property),即当我们只改变多元函数的一个变量时,函数值的差不能太大。对麦克迪尔米德不等式的证明用到了吾妻不等式。  
      
     
    
 
     
     
    
 
     
     由于  
        
         
          
           
             
           
          
          满足有界差性质,有  
        
         
          
           
            
              
            
              
            
           
             
           
            
              
            
              
            
           
             
           
            
              
            
              
            
           
          
         ,故  
        
         
          
           
            
              
            
              
            
           
             
           
            
              
            
              
            
           
             
           
            
              
            
              
            
           
             
           
            
              
            
              
            
           
          
         。对  
        
         
          
           
             
           
             
           
            
              
            
              
            
             
               
             
               
             
               
             
            
           
            
              
            
              
            
           
          
          应用吾妻不等式 ,我们就可以得到麦克迪尔米德不等式。  
      
     
     麦克迪尔米德不等式可以从稳定性(stability)的角度来理解:若一个变量的改变对函数值的改变有限,则函数对于其均值的偏离是是指数有界的(exponentially bounded)。注意霍夫丁不等式是麦克迪尔米德不等式的特例,此时函数是  
        
         
          
           
             
           
             
           
             
           
            
              
            
              
            
           
             
           
             
           
             
           
            
              
            
              
            
           
             
           
             
           
            
              
            
              
             
           
            
              
            
              
            
              
            
           
            
              
            
              
            
           
          
         。  
      
    
 
    
 
    
 
    
 
     
     
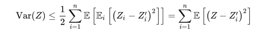
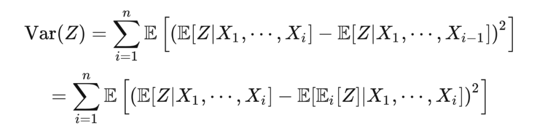
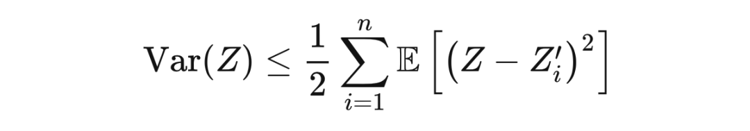
     埃夫隆-施泰因不等式(Efron–Stein inequality)对关于随机变量的函数的方差给出了界,它是已知的界中最紧的之一。  
      
     
     定理 13.1(埃夫隆-施泰因不等式) 令  
        
         
          
           
             
           
             
           
            
             
               
             
            
              
            
           
             
           
            
              
            
           
          
          为一个关于随机变量的函数,并令  
        
         
          
           
            
              
            
              
            
           
             
           
             
           
             
           
            
              
            
              
            
           
          
          为独立随机变量。令   
      
       
        
         
          
            
          
            
          
            
          
            
          
           
             
           
             
           
          
            
          
            
          
            
          
           
             
           
             
           
          
            
          
            
          
            
          
            
          
            
          
            
          
         
         
     ,  
     则  
      
    
 
     
     
     
    
 
    根据塔性质: 
 
     
     
     
     
    
 
     
    
 
    在第二个等式中,我们用到了: 
 
     
     
     由于  
        
         
          
           
             
           
             
           
            
              
            
              
            
           
          
          是一个凸映射,根据詹森不等式(Jansen's inequality) 
        
         
          
           
            
              
            
           
             
           
             
           
             
           
             
           
            
              
            
              
            
           
             
           
             
           
            
              
            
           
             
           
             
           
             
           
             
           
             
           
            
              
            
              
            
           
          
         ,我们有  
      
    
 
     
    
 
     
    
 
    
 
    
 
    
 
     
    平斯克不等式(Pinsker's inequality)用 KL 散度(Kullback–Leibler divergence)为两个分布的总变分距离(total variation distance)给出了界。在引入此不等式之前,我们先介绍 KL 散度的概念。 
 
     
    
 
     
     里我们令  
        
         
          
           
             
           
             
           
             
           
             
           
             
           
          
         , 
        
         
          
           
             
           
             
           
            
              
            
              
             
           
             
           
             
           
          
         ,且若  
        
         
          
           
             
           
             
           
             
           
          
         , 
        
         
          
           
             
           
             
           
            
              
            
              
             
           
             
           
            
              
            
           
          
         。此外, 
        
         
          
           
             
           
             
           
             
           
             
           
             
           
            
              
            
           
             
           
             
           
             
           
             
           
             
           
          
         , 
        
         
          
           
             
           
             
           
             
           
             
           
             
           
            
              
            
           
             
           
             
           
             
           
             
           
             
           
          
         ,这里  
        
         
          
           
             
           
          
          和  
        
         
          
           
             
           
          
          分别为分布是  
        
         
          
           
             
           
          
          和  
        
         
          
           
             
           
          
          的随机变量。KL 散度也叫作相对熵(relative entropy)。  
      
    由于詹森不等式(Jansen's inequality),KL 散度总是非负的。然而,KL 散度不是一个距离(distance),因为它不是对称的,且不满足三角不等式。平斯克不等式表明,两个分布的总变分距离以 KL 散度的函数为界。 
 
     
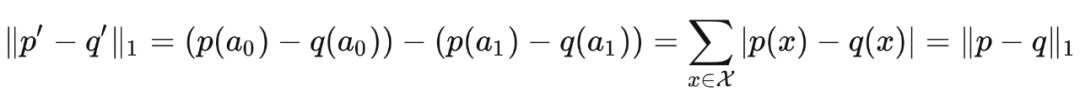
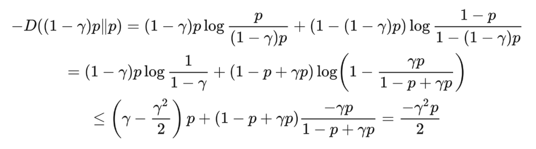
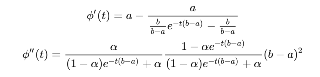
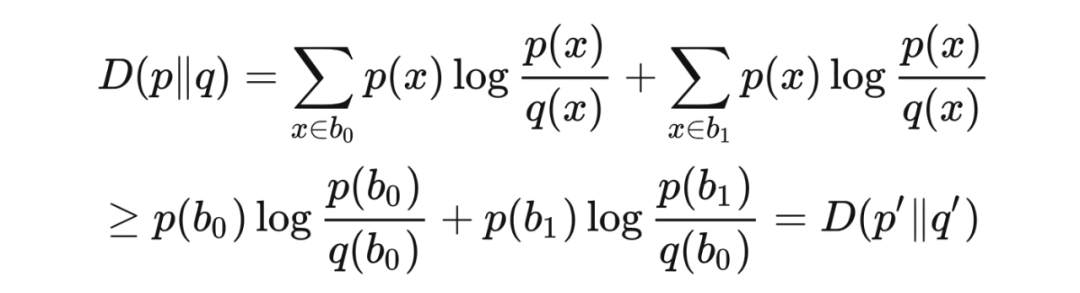
     定理 14.2(平斯克不等式) 对于两个分布  
        
         
          
           
             
           
          
          和  
        
         
          
           
             
           
          
         ,有  
      
    
 
     
     证明  我们首先证明此不等式对于在基数(cardinality)为 2 的一个集合  
        
         
          
           
             
           
             
           
             
           
            
              
            
              
            
           
             
           
            
              
            
              
            
           
             
           
          
          上的分布成立。令  
        
         
          
           
            
              
            
              
            
           
             
           
             
           
             
           
            
              
            
              
            
           
             
           
          
          和  
        
         
          
           
            
              
            
              
            
           
             
           
             
           
             
           
            
              
            
              
            
           
             
           
          
         。固定  
        
         
          
           
            
              
            
              
            
           
             
           
             
           
             
           
             
           
             
           
             
           
          
         ,并考虑映射  
        
         
          
           
            
              
            
              
            
           
             
           
             
           
             
           
            
              
            
              
            
           
             
           
          
         ,此映射由  
      
    
 
     
    
 
     
     这样我们就证明了,平斯克不等式对于在基数为 2 的集合上的分布成立。现在考虑在集合  
        
         
          
           
             
           
             
           
             
           
            
              
            
              
            
           
             
           
            
              
            
              
            
           
             
           
          
          上的分布  
        
         
          
           
            
              
            
             
               
             
            
           
          
          和  
        
         
          
           
            
              
            
             
               
             
            
           
          
         ,这里   
      
       
        
         
          
           
             
           
             
           
          
            
          
            
          
            
          
            
          
           
             
           
          
            
          
            
          
            
          
            
          
            
          
            
          
            
          
            
          
            
          
            
          
            
          
         
         
     , 
        
         
          
           
            
              
            
              
            
           
             
           
             
           
             
           
             
           
            
              
            
           
             
           
             
           
             
           
             
           
             
           
             
           
             
           
             
           
             
           
             
           
             
           
          
         , 
        
         
          
           
            
              
            
             
               
             
            
           
             
           
            
              
            
              
            
           
             
           
             
           
            
              
            
             
               
             
               
             
              
                
              
                
              
             
            
           
             
           
             
           
             
           
             
           
          
         , 
        
         
          
           
            
              
            
             
               
             
            
           
             
           
            
              
            
              
            
           
             
           
             
           
            
              
            
             
               
             
               
             
              
                
              
                
              
             
            
           
             
           
             
           
             
           
             
           
          
           
     。  
      
     
     注意  
        
         
          
           
            
              
            
             
               
             
            
           
          
          和  
        
         
          
           
            
              
            
             
               
             
            
           
          
          是定义在  
        
         
          
           
            
              
            
              
            
           
          
          和  
        
         
          
           
            
              
            
              
            
           
          
          两个元素上的分布,而  
        
         
          
           
             
           
          
          和  
        
         
          
           
             
           
          
          是定义在集合  
        
         
          
           
             
           
          
          的单个元素上的分布。根据对数和不等式(log-sum inequality)  
     ,  
     我们有  
      
    
 
     
    
 
     
     
    
 
    
 
     
    
 
     
    萨诺夫定理(Sanov's theorem)用KL散度给出了一个比霍夫丁不等式更精细的不等式。 
 
     
     定理 15.1(萨诺夫定理) 令  
        
         
          
           
             
           
             
           
             
           
             
           
             
           
             
           
             
           
          
          为独立随机变量,它们均值为  
        
         
          
           
             
           
          
         ,遵循以  
        
         
          
           
             
           
             
           
             
           
             
           
             
           
          
          为支撑(support)的分布. 那么,对于任意  
        
         
          
           
             
           
             
           
             
           
             
           
             
           
             
           
             
           
          
         ,  
      
    
 
     
     
    
 
     
     其中第一个不等式是因为马尔可夫不等式,第二个不等式是因为凸性质。若选取  
        
         
          
           
             
           
          
          使得  
        
         
          
           
            
              
            
             
               
             
               
             
               
             
            
           
             
           
             
           
             
           
             
           
             
           
             
           
            
              
            
              
            
           
             
           
          
         ,我们得到  
        
         
          
           
            
              
            
              
            
           
             
           
             
           
            
             
               
             
               
             
               
             
               
             
               
             
               
             
            
             
               
             
               
             
               
             
               
             
               
             
               
             
             
           
          
         。代入此值后,我们就得到了萨诺夫定理的不等式。  
      
     
    
 
     
     萨诺夫定理给出了一个比霍夫丁定理更精细的上界,因为根据平斯克不等式, 
        
         
          
           
             
           
             
           
             
           
             
           
             
           
            
              
            
           
             
           
             
           
             
           
            
              
            
              
             
           
             
           
             
           
             
           
            
              
            
              
            
           
             
           
             
           
            
              
            
              
            
           
          
         。将此定理应用于  
        
         
          
           
            
              
            
              
            
           
             
           
             
           
             
           
            
              
            
              
            
           
          
         ,那么对于  
        
         
          
           
             
           
             
           
             
           
             
           
             
           
             
           
             
           
          
         ,令  
        
         
          
           
             
           
             
           
             
           
             
           
             
           
          
         ,我们得到一个对称的不等式  
      
    
 
     
     对于概率为  
        
         
          
           
             
           
          
          的伯努利试验(Bernoulli trial)的均值,霍夫丁不等式、班纳特不等式、伯恩斯坦不等式和萨诺夫不等式给出的尾部概率上界如下图所示。  
      
     
     
     ▲ 对于概率为 p 的伯努利试验的均值,霍夫丁不等式、班纳特不等式、伯恩斯坦不等式和萨诺夫不等式给出的尾部概率上界  
      
    
 
    
 
    
 
    
 
     
    萨诺夫定理可以用来证明乘法切尔诺夫界(multiplicative Chernoff bound)。在霍夫丁定理的证明中,我们用到了切尔诺夫边界技巧,而乘法切尔诺夫界是关于相对误差(relative error)的。 
 
     
     定理 16.1(乘法切尔诺夫界) 令  
        
         
          
           
            
              
            
              
            
           
             
           
             
           
             
           
            
              
            
              
            
           
          
          为独立随机变量,它们均值为  
        
         
          
           
             
           
          
         ,遵循以  
        
         
          
           
             
           
             
           
             
           
             
           
             
           
          
          为支撑的分布。那么,对于任意  
        
         
          
           
             
           
             
           
             
           
             
           
             
           
            
              
            
              
             
           
             
           
             
           
             
           
          
         ,  
      
    
 
     
     
     证明  我们要为 KL 散度找到一个比平斯克不等式中的界更精细的下界,这样我们就可以通过这个更精细的下界和萨诺夫定理得到乘法切尔诺夫界。根据不等式  
        
         
          
           
             
           
             
           
             
           
             
           
             
           
             
           
             
           
            
              
            
             
               
             
               
             
               
             
              
                
              
             
               
             
             
           
          
          和  
        
         
          
           
             
           
             
           
             
           
             
           
             
           
             
           
             
           
             
           
          
         ,我们得到  
      
    
 
     
     
     
   
 
   
 
    
   [1] Mehryar Mohri, Afshin Rostamizadeh, Ameet Talwalkar. Foundations of Machine Learning. 
 
   [2] Stéphane Boucheron. Concentration inequalities: a nonasymptotic theory of independence. 
 
   [3] G. B. Folland, Real Analysis: Modern techniques and their applications, New York, Wiley. (1999). 
 
   [4] Cantelli F. (1910). Intorno ad un teorema fondamentale della teoria del rischio. Bolletino dell Associazione degli Attuari Italiani. 
 
   [5] Godwin H. J. (1964). Inequalities on distribution functions. New York, Hafner Pub. Co. 
 
   [6] Billingsley, Patrick (1995). Probability and Measure. New York: John Wiley & Sons, Inc. 
 
   [7] W. Hoeffding, ”Probability Inequalities for Sums of Bounded Random Variables”, Journal of the American Statistical Association, 58:13-30, 1963. 
 
   [8] B. Efron, C. Stein, ”The Jacknife Estimate of Variance”, Annals of Statistics, 9:586-96, 1981. 
 
   [9] J. Michael Steele, “An Efron-Stein Inequality for Nonsymmetric Statistics”, Annals of Statistics, Vol 14, No. 2, Pg 753-758, 1986 
 
   [10] C. McDiarmid, ”On the Method of Bounded Differences”, In Surveys in Combinatorics, LMS lecture. note series 141, 1989. 
 
   [11] G. Benett, ”Probability Inequalities for Sum of Independent Random Variables”, Journal of the American Statistical Association, 57:33-45, 1962. 
 
   [12] S.N. Bernstein, ”The Theory of Probabilities”, Gastehizdat Publishing House, Moscow, 1946. 
 
   
 
   
 
    
   
 
    
    
    
    
    
     
      
       
       
       
       
       
       
       
       如何才能让更多的优质内容以更短路径到达读者群体,缩短读者寻找优质内容的成本呢?答案就是:你不认识的人。  
 
       
 
       总有一些你不认识的人,知道你想知道的东西。PaperWeekly 或许可以成为一座桥梁,促使不同背景、不同方向的学者和学术灵感相互碰撞,迸发出更多的可能性。  
 
       
 
       PaperWeekly 鼓励高校实验室或个人,在我们的平台上分享各类优质内容,可以是最新论文解读 ,也可以是学术热点剖析 、科研心得 或竞赛经验讲解 等。我们的目的只有一个,让知识真正流动起来。 
 
       
 
       📝 稿件基本要求:  
 
       • 文章确系个人原创作品 ,未曾在公开渠道发表,如为其他平台已发表或待发表的文章,请明确标注  
 
       • 稿件建议以 markdown  格式撰写,文中配图以附件形式发送,要求图片清晰,无版权问题 
 
       • PaperWeekly 尊重原作者署名权,并将为每篇被采纳的原创首发稿件,提供业内具有竞争力稿酬 ,具体依据文章阅读量和文章质量阶梯制结算 
 
       
 
       📬 投稿通道:  
 
       • 投稿邮箱: hr@paperweekly.site  
 
       • 来稿请备注即时联系方式(微信),以便我们在稿件选用的第一时间联系作者 
 
       • 您也可以直接添加小编微信(pwbot02 )快速投稿,备注:姓名-投稿 
 
       
 
       
 
       △长按添加PaperWeekly小编 
 
       
 
        
       
      
     
    
   🔍 
 
   
 
   现在,在「知乎」 也能找到我们了 
 
   进入知乎首页搜索「PaperWeekly」  
 
   点击「关注」 订阅我们的专栏吧