【智能金融】【机器学习】机器学习在金融大数据风险建模中的应用

2017 年 8 月 14 日 产业智能官 36大数据

文|张权 罗嗣汉

【摘要】

在互联网金融、消费金融的蓬勃发展的当下,央行征信在数据时效性、全面性和层次性上的短板日益凸显。深度挖掘互联网大数据信息,开发大数据风控模型,更加精准的评估风险,已经逐渐成为了新一代信用风险模型体系建设的核心课题。

本文在传统风险模型体系的基础上,嫁接逻辑回归和决策树模型建立T-L模型,并结合Random Forest模型完善模型结构。采用T-L核模型替代RF模型中的传统决策树模型,将RF模型和T-L核模型结合,建立了ScoreNet模型体系。既大大提升了风险模型区分能力,也保证了模型结构的清晰和评分广泛的应用。

关键词大数据风控 T-L模型 Random Forest ScoreNet

1.选题背景及意义

目前,央行的个人征信中心收录的自然人数达8.6亿多人,但其中仅有3亿多人有信贷记录,同时信贷记录主要来源于商业银行和农村信用社等金融机构,在数据时效性、全面性和层次性上存在严重短板。因此深度挖掘互联网大数据信息,开发大数据风控模型,弥补央行个人征信信息的不足,在互联网金融蓬勃发展的今天尤为重要。

无论是线上还是线下的用户消费、社交数据,都有着不同于传统征信信息的独有特征:

数据的稀疏性强(用户线上线下的行为散布广泛,极难全量收集和覆盖;用户行为偏好亦各有不同,在不同门类的行为差异很大,因此数据的稀疏性极为明显。一般情况下,用户行为信息的缺失率均超过50%);

数据覆盖面广(信息覆盖面广泛,支付宝或微信都有超4亿活跃用户,用户行为覆盖服装、书籍、租房、休闲、娱乐等各方面,单指标维度超过1000个);

单变量风险区分能力弱(不同于传统风险模型采用的历史履约情况,个人资产评估等强变量,消费或社交变量一般均为区分能力较弱的弱变量)。

传统信用风险评估模型在业务逻辑架构下,利用数据驱动或专家经验开发模型模板,最终结合统计分析模型(逻辑回归、判别分析等)得到精准的计量结果。然而在新的数据画像和业务情景下,不仅丧失了原有的业务逻辑框架,更使得传统统计分析模型的应用受到严重限制。近年来,机器学习技术得到飞速的发展,在信息识别、推荐引擎等领域都取得了出色的应用效果,大量实验结果证明机器学习模型有着良好的鲁棒性和泛化性。但机器学习模型的模型逻辑极为复杂,很难把控模型的真实效果,也不易于直观展示和解释变量的风险特性。如何结合传统风险评估模型体系和机器学习技术,在保证业务逻辑和评分广泛应用的前提下,更加精准的评估风险已经成了新一代信用风险模型体系建设的核心课题。

2.文献综述

David Durand(1941)在信用评分领域首先使用判别分析,预测贷款者的还贷情况;20世纪50年代,Bill Fair和Earl Isaac发明了基于logistics回归模型的FICO信用评分体系,得益于清晰的业务逻辑和解释性,该评分体系逐渐成为了最为广泛应用的风险模型体系。然而无论是逻辑回归还是判别分析模型,都主要针对线性问题,无法对变量的非线性结构进行分析,同时对数据完整性和有效性要求较高,对数据噪声亦比较敏感,不适用于大数据背景下的模型开发和集成。

McCulloch, Warren; Walter Pitts(1943)[1]提出了神经网络模型,取得了十分广泛的应用,并首次描绘了机器学习理论的雏形;Ray Solomonoff(1956) [2]在An Inductive Inference Machine一文中,首度提出了机器学习的概念;Aizerman, Mark A.; Braverman, Emmanuel M.; and Rozonoer, Lev I. (1964)[3]在统计学习领域的研究中提出了应用最为广泛的机器学习模型支持向量机(SVM);Breiman, Leo (1996)[4]、Michael Kearns(1988)[5]、Ho, Tin Kam (1995)[6]提出了集成学习算法:Bagging、Boosting、Random Forest,完美的解决了传统机器学习算法过度拟合的困境,使得算法的稳定性、泛化性和鲁棒性都有了显著的提高。近年来,机器学习算法在图像识别、语音识别、信息检索、推荐引擎、非结构化数据挖掘等领域都取得了突破性的进展。推荐算法与风险模型的一致性,及GBDT[7]和Random Forest在推荐算法上优异表现,为我们研究金融大数据风险模型提供了新的方向和挑战。然而无论是单一机器学习算法,还是集成学习算法都有着复杂的模型结构,这种复杂的结构不仅使模型丧失了解释性,而且限制了专业模型分析人员对模型的把控能力,很难实现真正意义上的广泛的应用。

3.研究的理论框架与模型建设

本文在传统风险模型体系的基础上,嫁接逻辑回归和决策树模型建立T-L模型,并结合Random Forest模型完善模型结构,建立了ScoreNet模型。既大大提升了风险模型区分能力,也保证了业务逻辑的清晰和评分广泛的应用。

3.1.T-L核模型

传统信用风险评估模型在业务逻辑架构下分析变量的基本属性及风险区分能力,用逻辑回归等统计分析模型进行量化分析,得到精准的风险计量结果。然而用户行为数据独有的稀疏性会使得统计模型极不稳定。决策树对局部数据分析有着极强的稳定性和鲁棒性,同时可以揭示变量风险区分能力的非线性结构关系。因此我们将决策树模型和逻辑回归模型进行嫁接,建立T-L核模型。即在进行统计建模前添加一层决策树模型进行单变量分析,同时利用CHAID决策树生成二元决策树变量,然后将决策树模型的输出结果(单变量、交叉变量及二元决策树变量)一同导入逻辑回归模型中进行统计建模,确定所有风险因子的风险权重。

3.1.1.决策树模型

在决策树各种算法中,CHAID[8](Chi-Squared Automatic Interaction Detection)既适用于二值型变量,也适用于连续型变量。针对每一次分叉,CHAID对二元响应和连续型目标变量分别采用了卡方和F检验。因此在本文中,选择CHAID算法作为决策树算法。

CHAID算法以因变量为根结点,对每个自变量(只能是分类或有序变量,也就是离散性的,如果是连续变量,如年龄,收入要定义成分类或有序变量)进行分类,产生一系列二维表,然后分别计算所生成二维表的卡方统计量或F统计量。如果因变量(目标变量)是定类变量(例如PD模型),则采用卡方检验(Chi-Square-Test);如果因变量是定距变量(例如LGD,EAD模型),则采用F检验(F-Test)。如果几个备选变量的分类均显著,则比较这些分类的显著程度(P值的大小),然后选择最显著的分类变量以及划分作为子节点。

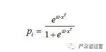
3.1.2.逻辑回归模型

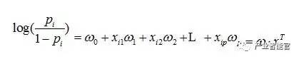
逻辑回归模型[9]是因变量服从二项分布,且自变量的线性预测与因变量的logit变换相连接的一种广义线性模型[10],具体数学表达式为:

由此可以得到

理论可以证明,如果样本的分布服从多元正态分布,那么该样本正好符合对数回归的假设。对数模型的误差项服从二项分布,因此,在拟合时采用最大似然估计法进行参数估计要比最小平方误差法估计。

3.2. Random Forest模型

3.2.1.Random Forest基本原理

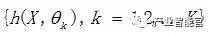
随机森林是由美国科学家Leo Breiman将其在1996年提出的Bagging集成学习理论[4]与Ho在1998年提出的随机子空间方法[11]相结合,于2001年发表的一种机器学习算法[12]。随机森林是以决策树为基本分类器的一个集成学习模型,它包含多个由Bagging集成学习技术训练得到的决策树,当输入待分类的样本时,最终的分类结果由单个决策树的输出结果投票决定,如下图所示。随机森林克服了决策树过拟合问题,对噪声和异常值有较好的容忍性,对高维数据分类问题具有良好的可扩展性和并行性。此外,随机森林是由数据驱动的一种非参数分类方法,只需通过对给定样本的学习训练分类规则,同时亦不需要分类的先验知识。

随机森林是以K个决策树为基本分类器

,进行集成学习后得到的一个组合分类器。当输入待分类样本时,随机森林输出的分类结果由每个决策树的分类结果简单投票决定。这里的

是一个随机变量序列,它是由随机森林的两大随机化思想决定的:

(1)Bagging思想:从原样本集X中有放回地随机抽取K个与原样本集同样大小的训练样本集(每次约有37%的样本未被抽中),每个训练样本集构造一个对应的决策树。

(2)特征子空间思想:在对决策树每一个节点进行分裂时,从全部属性中等概率随机抽取一个属性子集,再从这个子集中选择一个最优属性来分裂节点。

由于构建每个决策树时,随机抽取训练样本集和属性子集的过程都是独立的,且总体都是一样的,因此

是一个独立同分布的随机变量序列。

训练随机森林的过程就是训练各个决策树的过由于各个决策树的训练是相互独立的,因此随机森林的训练可以通过并行处理来实现,这将大大提高生成模型的效率。随机森林中第

训练过程如下图所示。

将以同样的方式训练得到K个决策树组合起来,就可以得到一个随机森林。当输入待分类的样本时,随机森林输出的分类结果由每个决策树的输出结果进行简单投票(即取众数)决定。

3.2.2.Random Forest模型的缺陷及改进方向

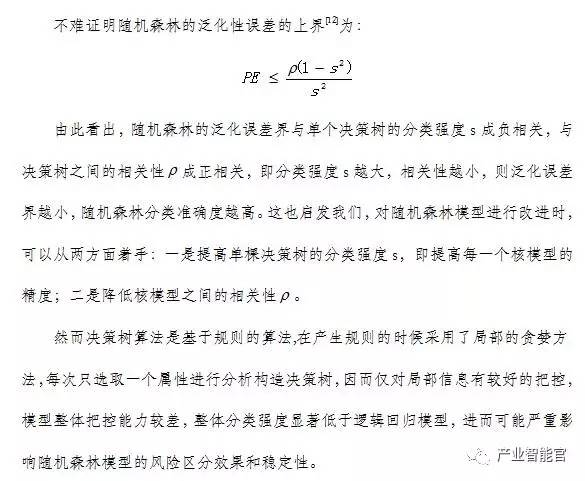
不难证明随机森林的泛化性误差的上界[12]为:

3.3. ScoreNet模型

本文引入3.1中建立的T-L核模型替代3.2中RF模型中的传统决策树模型,将RF模型和T-L核模型结合,建立了ScoreNet模型体系。

ScoreNet模型以传统模型为基础搭建,保留传统模型的业务解释性和稳定性。

ScoreNet模型以随机森林模型为基本架构搭建了随机模型,客服了传统模型对数据噪声亦比较敏感的缺陷,使模型的泛化性与稳定性有了进一步的提高。

ScoreNet模型客服了传统模型一般只能容纳10-15个变量的缺陷,模型可以涵盖100+个变量。可以从源头杜绝用户刷分现象,提升模型的公信力。

ScoreNet模型的在应用层面的高度稳定性与业务解释性,使其有着比纯粹机器学习模型更广泛的应用空间。

4.模型开发结果分析

本文通过互联网爬虫技术及第三方合作机构通过跨商家、浏览器、设备、微信进行实时互联网数据采集分析,包括但不限于:商品消费行为采集与挖掘、资讯、社区与视频阅览行为采集与挖掘、O2O消费行为采集与挖掘、高单价商品消费行为采集与挖掘、金融服务行为采集与挖掘等。

通过各渠道数据采集与挖掘形成用户全方位的画像数据(如:人口统计学标签、用户通用标签、资产价值标签、消费行为喜好、阅读喜好标签、金融服务标签、社交圈标签等),进而了解用户全方位属性信息。

本文采用大数据风险模型ScoreNet技术,针对身份信息核查、稳定性信息、金融申请信息、资产评估信息、商品消费信息、媒体阅览信息等6大维度对用户违约风险进行评估。

4.1数据分析

4.1.1.数据采集

本文采集了:身份信息核查、稳定性信息、金融申请信息、重要资产信息、商品消费信息、媒体阅览信息等6大维度近1000个子项的互联网数据。

从模型表现可看出模型在不同样本上皆具备一定程度的区分能力,表示其稳定性高,未来应用时能适应不同的人群。

4.3模型结果对比分析

传统模型与ScoreNet模型对比分析结果:

传统模型与机器学习模型(Random Forest)对比分析结果:

模型对比分析结果显示,ScoreNet模型较传统模型(Logistics)在区分能力上有了较大幅度的提高,可提升KS/AR值约0.05,同时延续了传统模型(Logistics)的稳定性和解释性;ScoreNet模型较纯粹机器学习模型(Random Forest)在稳定性、泛化性上有着绝对的优势,区分能力也更加优越。

5.应用分析及方案建议

5.1.征信多元化与风险量化

传统金融机构的征信信息来源主要是央行征信,但央行征信仅有3亿多人有信贷记录,信贷记录又主要来源于商业银行和农村信用社等金融机构。随着互联网不断渗入人们生活,互联网行为数据是央行征信的有效补充,可以不断强化征信数据的时效性、全面性和层次性,从无形中记录用户的行为,去伪存真,还原真实的客户 。从而大大提升信息的利用率和有效性。

同时,大数据风险模型的应用,可以不断提高金融机构风险识别、计量能力。从而不断完善征信信息体系架构,为精细化风险定价提供必要的基础和土壤。

5.2.授信审批决策/自动化审批

传统上,金融机构的授信审批决策主要依赖于信贷人员的主观经验和判断,缺乏统一的标准,不利于金融机构整体风险政策的执行。随着大数据模型开发技术与内部评级体系建设的深度融合,金融机构可更加广泛和全面地将评分/评级结果应用于授信审批,为贷款决策提供参考和支持。

大数据风险模型优秀的风险排序及区分能力能够大力推进自动化审批的进程及线上产品的改革与创新。对模型评分高于一定级别且满足其它授信决策条件的,授信申请可以自动通过,不需要再经人工审核,对于评分低于一定级别的,模型自动拒绝其申请;只有模型评分介于以上两者之间的客户,才由人工介入进行申请审核。

5.3风险监控与预警

风险监控与预警是指借助各类信息来源或渠道,通过对数据与信息进行整合与分析,运用定量和定性分析相结合的方法来发现授信客户及业务的早期风险征兆,准确识别风险的类别、程度、原因及其发展变化趋势,并按规定的权限和程序对问题授信采取针对性处理措施,以及时防范、控制和化解授信风险的一系列管理过程。

大数据风险模型较传统内部评级体系更为精细和灵敏,可以快速识别贷后风险,为不同的用户设定不同的监控频率、自动筛选高风险客户,制定有针对性的贷后管理措施、贷后管理工作等。

6.参考文献

[1]. McCulloch, Warren; Walter Pitts (1943). A Logical Calculus of Ideas Immanent in Nervous Activity. Bulletin of Mathematical Biophysics 5 (4): 115–133.

[2]. Ray Solomonoff, An Inductive Inference Machine, IRE Convention Record, Section on Information Theory, Part 2, pp., 56-62, 1957.

[3]. Aizerman, Mark A.; Braverman, Emmanuel M.; and Rozonoer, Lev I. (1964). Theoretical foundations of the potential function method in pattern recognition learning. Automation and Remote Control 25: 821–837.

[4]. Breiman, Leo (1996). Bagging predictors. Machine Learning 24 (2): 123–140.

[5]. Michael Kearns(1988). Thoughts on Hypothesis Boosting, Unpublished manuscript (Machine Learning class project, December 1988)

[6]. Ho, Tin Kam (1995). Random Decision Forest. Proceedings of the 3rd International Conference on Document Analysis and Recognition, Montreal, QC, 14–16 August 1995. pp. 278–282.

[7]. Brieman, L(1997). Arcing The Edge.

[8]. Belson, William A.; Matching and prediction on the principle of biological classification, Applied Statistics, Vol. 8 (1959), pp. 65–75.

[9]. Huston, James A. (1966). The Sinews of War: Army Logistics, 1775–1953, United States Army (755 pages).

[10]. Nelder, John; Wedderburn, Robert (1972). Generalized Linear Models. Journal of the Royal Statistical Society. Series A (General) (Blackwell Publishing) 135 (3): 370–384.

[11]. Ho T. The random subspace method for constructing decision forests.IEEE Transactions on Pattern Analysis and Machine Intelligence,1998,(08):832-844.

[12]. Trevor Hastie; Robert Tibshirani; Jerome Friedman (2008). The Elements of Statistical Learning. California.

本文由作者投稿至36大数据,并经由36大数据编辑发布,任何不标明作者、来源36大数据及本文链接 http://www.36dsj.com/archives/42843的均属侵权。

 



新一代技术+商业操作系统:

AI-CPS OS

     

新一代技术+商业操作系统(AI-CPS OS:云计算+大数据+物联网+区块链+人工智能分支用来的今天,企业领导者必须了解如何将“技术”全面渗入整个公司、产品等“商业”场景中,利AI-CPS OS形成字化力量,实现行业的重新布局、企业的重新构建和自我的焕然新生,在行业、企业和自身三个层面勇立鳌头。


数字化力量与行业、企业及个人三个层面的交叉,形成了领导力模式,使数字化融入到领导者所在企业与领导方式的核心位置。

  • 分辨率革命种力量能够使人在更加真实、细致的层面观察与感知现实世界和数字化世界正在发生的一切,进而理解和更加精细地进行产品控制、事件控制和结果控制。

  • 复合不确定性:数字化变更颠覆和改变了领导者曾经仰仗的思维方式、结构和实践经验,其结果就是形成了复合不确定性这种颠覆性力量。主要的不确定性蕴含于三个领域:技术、文化、制度。

  • 边界模糊化:数字世界与现实世界的不断融合成CPS不仅让人们所知行业的核心产品、经济学定理和可能性都产生了变化,还模糊了不同行业间的界限。这种效应正在向生态系统、企业、客户、产品快速蔓延。


领导者无法依靠某种单一战略方法来应对多维度的数字化变革。随着变革范围不断扩大,一切都几乎变得不确定,即使是最精明的领导者也可能失去方向。面对新一代技术+商业操作系统(AI-CPS OS:云计算+大数据+物联网+区块链+人工智能颠覆性的数字化力量,领导者必须在行业、企业与个人这三个层面都保持领先地位。


如果不能在上述三个层面保持领先,领导力将会不断弱化并难以维继: 

  • 重新进行行业布局:你的世界观要怎样改变才算足够?你必须对行业典范进行怎样的反思?

  • 重新构建你的企业:你的企业需要做出什么样的变化?你准备如何重新定义你的公司?

  • 重新打造新的自己:你需要成为怎样的人?要重塑自己并在数字化时代保有领先地位,你必须如何去做?


子曰:“君子和而不同,小人同而不和。”  《论语·子路》

云计算、大数据、物联网、区块链和 人工智能,像君子一般融合,一起体现科技就是生产力。


如果说上一次哥伦布地理大发现,拓展的是人类的物理空间。那么这一次地理大发现,拓展的就是人们的数字空间。

在数学空间,建立新的商业文明,从而发现新的创富模式,为人类社会带来新的财富空间。

云计算,大数据、物联网和区块链,是进入这个数字空间的船,而人工智能就是那船上的帆,哥伦布之帆!


人工智能通过三个方式激发经济增长:

  1. 创造虚拟劳动力,承担需要适应性和敏捷性的复杂任务,即“智能自动化”,以区别于传统的自动化解决方案;

  2. 对现有劳动力和实物资产进行有利的补充和提升,提高资本效率;

  3. 人工智能的普及,将推动多行业的相关创新,开辟崭新的经济增长空间。


新一代信息技术(云计算、大数据、物联网、区块链和人工智能)的商业化落地进度远不及技术其本身的革新来得迅猛,究其原因,技术供应商(乙方)不明确自己的技术可服务于谁,传统企业机构(甲方)不懂如何有效利用新一代信息技术创新商业模式和提升效率。


“产业智能官”,通过甲、乙方价值巨大的云计算、大数据、物联网、区块链和人工智能的论文、研究报告和商业合作项目,面向企业CEO、CDO、CTO和CIO,服务新一代信息技术输出者和新一代信息技术消费者。


助力新一代信息技术公司寻找最有价值的潜在传统客户与商业化落地路径,帮助传统企业选择与开发适合自己的新一代信息技术产品和技术方案,消除新一代信息技术公司与传统企业之间的信息不对称,推动云计算、大数据、物联网、区块链和人工智能的商业化浪潮。


给决策制定者和商业领袖的建议:

  1. 迎接新一代信息技术,迎接人工智能:无缝整合人类智慧与机器智能,重新

    评估未来的知识和技能类型;

  2. 制定道德规范:切实为人工智能生态系统制定道德准则,并在智能机器的开

    发过程中确定更加明晰的标准和最佳实践;

  3. 重视再分配效应:对人工智能可能带来的冲击做好准备,制定战略帮助面临

    较高失业风险的人群;

  4. 超越自动化,开启新创新模式:利用具有自主学习和自我控制能力的动态机

    器智能,为企业创造新商机;

  5. 开发人工智能型企业所需新能力:员工团队需要积极掌握判断、沟通及创造

    性思维等人类所特有的重要能力。对于中国企业来说,创造兼具包容性和多

    样性的文化也非常重要。


新一代技术+商业操作系统(AI-CPS OS:云计算+大数据+物联网+区块链+人工智能作为新一轮产业变革的核心驱动力,将进一步释放历次科技革命和产业变革积蓄的巨大能量,并创造新的强大引擎。

重构生产、分配、交换、消费等经济活动各环节,形成从宏观到微观各领域的智能化新需求,催生新技术、新产品、新产业、新业态、新模式。引发经济结构重大变革,深刻改变人类生产生活方式和思维模式,实现社会生产力的整体跃升。

新一代技术+商业操作系统(AI-CPS OS:云计算+大数据+物联网+区块链+人工智能正在经历从“概念”到“落地”,最终实现“大范围规模化应用,深刻改变人类生活”的过程。





产业智能官  AI-CPS



新一代技术+商业操作系统(AI-CPS OS:云计算+大数据+物联网+区块链+人工智能),在场景中状态感知-实时分析-自主决策-精准执行-学习提升认知计算机器智能实现产业转型升级、DT驱动业务、价值创新创造的产业互联生态链




长按上方二维码关注微信公众号: AI-CPS,更多信息回复:


新技术“云计算”、“大数据”、“物联网”、“区块链”、“人工智能新产业:智能制造”、“智能驾驶”、“智能金融”、“智能城市”、“智能零售新模式:案例分析”、“研究报告”、“商业模式”、“供应链金融”、“财富空间”






本文系“产业智能官”(公众号ID:AI-CPS)收集整理,转载请注明出处!



版权声明产业智能官(公众号ID:AI-CPS推荐的文章,除非确实无法确认,我们都会注明作者和来源。部分文章推送时未能与原作者取得联系。若涉及版权问题,烦请原作者联系我们,与您共同协商解决。联系、投稿邮箱:erp_vip@hotmail.com





登录查看更多
2

相关内容

决策树(Decision Tree)是在已知各种情况发生概率的基础上,通过构成决策树来求取净现值的期望值大于等于零的概率,评价项目风险,判断其可行性的决策分析方法,是直观运用概率分析的一种图解法。由于这种决策分支画成图形很像一棵树的枝干,故称决策树。在机器学习中,决策树是一个预测模型,他代表的是对象属性与对象值之间的一种映射关系。Entropy = 系统的凌乱程度,使用算法ID3, C4.5和C5.0生成树算法使用熵。这一度量是基于信息学理论中熵的概念。 决策树是一种树形结构,其中每个内部节点表示一个属性上的测试,每个分支代表一个测试输出,每个叶节点代表一种类别。 分类树(决策树)是一种十分常用的分类方法。他是一种监管学习,所谓监管学习就是给定一堆样本,每个样本都有一组属性和一个类别,这些类别是事先确定的,那么通过学习得到一个分类器,这个分类器能够对新出现的对象给出正确的分类。这样的机器学习就被称之为监督学习。

知识荟萃

精品入门和进阶教程、论文和代码整理等

更多

查看相关VIP内容、论文、资讯等
【硬核书】不完全信息决策理论,467页pdf
专知会员服务
365+阅读 · 2020年6月24日
【经典书】机器学习:贝叶斯和优化方法,1075页pdf
专知会员服务
414+阅读 · 2020年6月8日
商业数据分析,39页ppt
专知会员服务
165+阅读 · 2020年6月2日
2020年中国《知识图谱》行业研究报告,45页ppt
专知会员服务
240+阅读 · 2020年4月18日
专知会员服务
126+阅读 · 2020年3月26日
【干货书】机器学习Python实战教程,366页pdf
专知会员服务
346+阅读 · 2020年3月17日
【新书】Pro 机器学习算法Python实现,379页pdf
专知会员服务
204+阅读 · 2020年2月11日
专知会员服务
119+阅读 · 2019年12月24日
【阿里技术干货】知识结构化在阿里小蜜中的应用
专知会员服务
98+阅读 · 2019年12月14日
医疗知识图谱构建与应用
专知会员服务
390+阅读 · 2019年9月25日
【智能金融】机器学习在反欺诈中应用
产业智能官
35+阅读 · 2019年3月15日
金融风控背后的技术综述
七月在线实验室
45+阅读 · 2019年2月28日
深度学习在金融文本情感分类中的应用
AI前线
36+阅读 · 2019年1月12日
2018年中国供应链金融行业研究报告
艾瑞咨询
7+阅读 · 2018年11月20日
【机器学习】机器学习工业领域应用
产业智能官
11+阅读 · 2018年10月23日
人工智能与机器学习技术在医疗保健行业中的应用
深度学习与NLP
12+阅读 · 2018年3月25日
互联网金融中的交易反欺诈模型
炼数成金订阅号
14+阅读 · 2018年3月9日
关注人工智能:人工智能+ 金融添双翼
专知
5+阅读 · 2018年2月5日
机器学习在热门微博推荐系统的应用
人工智能头条
6+阅读 · 2018年1月25日
Generating Fact Checking Explanations
Arxiv
9+阅读 · 2020年4月13日
OD-GCN: Object Detection by Knowledge Graph with GCN
Arxiv
4+阅读 · 2019年9月30日
Adaptive Neural Trees
Arxiv
4+阅读 · 2018年12月10日
Arxiv
19+阅读 · 2018年6月27日
Arxiv
15+阅读 · 2018年4月5日
VIP会员
相关VIP内容
【硬核书】不完全信息决策理论,467页pdf
专知会员服务
365+阅读 · 2020年6月24日
【经典书】机器学习:贝叶斯和优化方法,1075页pdf
专知会员服务
414+阅读 · 2020年6月8日
商业数据分析,39页ppt
专知会员服务
165+阅读 · 2020年6月2日
2020年中国《知识图谱》行业研究报告,45页ppt
专知会员服务
240+阅读 · 2020年4月18日
专知会员服务
126+阅读 · 2020年3月26日
【干货书】机器学习Python实战教程,366页pdf
专知会员服务
346+阅读 · 2020年3月17日
【新书】Pro 机器学习算法Python实现,379页pdf
专知会员服务
204+阅读 · 2020年2月11日
专知会员服务
119+阅读 · 2019年12月24日
【阿里技术干货】知识结构化在阿里小蜜中的应用
专知会员服务
98+阅读 · 2019年12月14日
医疗知识图谱构建与应用
专知会员服务
390+阅读 · 2019年9月25日
相关资讯
【智能金融】机器学习在反欺诈中应用
产业智能官
35+阅读 · 2019年3月15日
金融风控背后的技术综述
七月在线实验室
45+阅读 · 2019年2月28日
深度学习在金融文本情感分类中的应用
AI前线
36+阅读 · 2019年1月12日
2018年中国供应链金融行业研究报告
艾瑞咨询
7+阅读 · 2018年11月20日
【机器学习】机器学习工业领域应用
产业智能官
11+阅读 · 2018年10月23日
人工智能与机器学习技术在医疗保健行业中的应用
深度学习与NLP
12+阅读 · 2018年3月25日
互联网金融中的交易反欺诈模型
炼数成金订阅号
14+阅读 · 2018年3月9日
关注人工智能:人工智能+ 金融添双翼
专知
5+阅读 · 2018年2月5日
机器学习在热门微博推荐系统的应用
人工智能头条
6+阅读 · 2018年1月25日
相关论文
Generating Fact Checking Explanations
Arxiv
9+阅读 · 2020年4月13日
OD-GCN: Object Detection by Knowledge Graph with GCN
Arxiv
4+阅读 · 2019年9月30日
Adaptive Neural Trees
Arxiv
4+阅读 · 2018年12月10日
Arxiv
19+阅读 · 2018年6月27日
Arxiv
15+阅读 · 2018年4月5日
Top
微信扫码咨询专知VIP会员