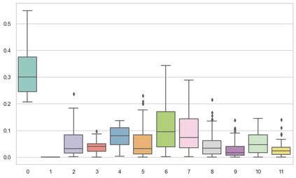
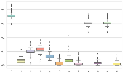
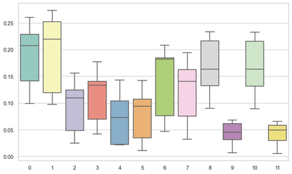
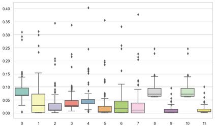
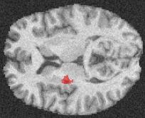
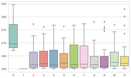
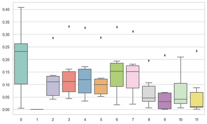
Machine learning models are typically deployed in a test setting that differs from the training setting, potentially leading to decreased model performance because of domain shift. If we could estimate the performance that a pre-trained model would achieve on data from a specific deployment setting, for example a certain clinic, we could judge whether the model could safely be deployed or if its performance degrades unacceptably on the specific data. Existing approaches estimate this based on the confidence of predictions made on unlabeled test data from the deployment's domain. We find existing methods struggle with data that present class imbalance, because the methods used to calibrate confidence do not account for bias induced by class imbalance, consequently failing to estimate class-wise accuracy. Here, we introduce class-wise calibration within the framework of performance estimation for imbalanced datasets. Specifically, we derive class-specific modifications of state-of-the-art confidence-based model evaluation methods including temperature scaling (TS), difference of confidences (DoC), and average thresholded confidence (ATC). We also extend the methods to estimate Dice similarity coefficient (DSC) in image segmentation. We conduct experiments on four tasks and find the proposed modifications consistently improve the estimation accuracy for imbalanced datasets. Our methods improve accuracy estimation by 18\% in classification under natural domain shifts, and double the estimation accuracy on segmentation tasks, when compared with prior methods.


翻译:机械学习模型通常在不同于培训设置的测试环境中部署,可能会导致因域变换而降低模型性能。如果我们能够估计一个经过预先训练的模型在特定部署环境(例如某个诊所)的数据上能够实现的性能,我们可以判断该模型能否安全部署,或者该模型的性能在具体数据上降低令人无法接受。现有办法根据对未贴标签的测试数据与部署领域相比的预测的可信度来估计。我们发现,现有方法与目前类别不平衡的数据存在矛盾,因为用于校准信心的方法没有考虑到因阶级不平衡造成的偏差,因此无法估计等级准确性。在这里,我们在对不平衡数据集的性能估计框架内引入了等级性校准。具体地说,我们对基于信任的状态模型评价方法,包括温度缩放(TS)、信任差异(DoC)和平均临界信任(ATC)等,进行了估算。我们还扩大了在图像分割中估算Dice相似性系数(DSC)时所使用的方法。我们在四个任务上进行实验,并发现在对不平衡的数据集进行持续调整时,在18项之前的精确性估算方法下,在改进了我们的自然域的精确性估算。

0
下载
关闭预览

相关内容

强化学习最新教程,17页pdf
专知会员服务
182+阅读 · 2019年10月11日
[综述]深度学习下的场景文本检测与识别
专知会员服务
78+阅读 · 2019年10月10日
机器学习入门的经验与建议
专知会员服务
94+阅读 · 2019年10月10日
VCIP 2022 Call for Special Session Proposals
CCF多媒体专委会
1+阅读 · 2022年4月1日
ACM MM 2022 Call for Papers
CCF多媒体专委会
5+阅读 · 2022年3月29日
AIART 2022 Call for Papers
CCF多媒体专委会
1+阅读 · 2022年2月13日
【ICIG2021】Check out the hot new trailer of ICIG2021 Symposium6
中国图象图形学学会CSIG
2+阅读 · 2021年11月12日
Hierarchically Structured Meta-learning
CreateAMind
27+阅读 · 2019年5月22日
Transferring Knowledge across Learning Processes
CreateAMind
29+阅读 · 2019年5月18日
Unsupervised Learning via Meta-Learning
CreateAMind
43+阅读 · 2019年1月3日
A Technical Overview of AI & ML in 2018 & Trends for 2019
待字闺中
18+阅读 · 2018年12月24日
disentangled-representation-papers
CreateAMind
26+阅读 · 2018年9月12日
vae 相关论文 表示学习 1
CreateAMind
12+阅读 · 2018年9月6日
国家自然科学基金
0+阅读 · 2014年12月31日
国家自然科学基金
0+阅读 · 2014年12月31日
国家自然科学基金
0+阅读 · 2013年12月31日
国家自然科学基金
0+阅读 · 2013年12月31日
国家自然科学基金
0+阅读 · 2013年12月31日
国家自然科学基金
0+阅读 · 2013年12月31日
国家自然科学基金
0+阅读 · 2012年12月31日
国家自然科学基金
0+阅读 · 2012年12月31日
国家自然科学基金
0+阅读 · 2011年12月31日
国家自然科学基金
0+阅读 · 2009年12月31日
On Feature Normalization and Data Augmentation
Arxiv
15+阅读 · 2020年2月25日
VIP会员
相关资讯
VCIP 2022 Call for Special Session Proposals
CCF多媒体专委会
1+阅读 · 2022年4月1日
ACM MM 2022 Call for Papers
CCF多媒体专委会
5+阅读 · 2022年3月29日
AIART 2022 Call for Papers
CCF多媒体专委会
1+阅读 · 2022年2月13日
【ICIG2021】Check out the hot new trailer of ICIG2021 Symposium6
中国图象图形学学会CSIG
2+阅读 · 2021年11月12日
Hierarchically Structured Meta-learning
CreateAMind
27+阅读 · 2019年5月22日
Transferring Knowledge across Learning Processes
CreateAMind
29+阅读 · 2019年5月18日
Unsupervised Learning via Meta-Learning
CreateAMind
43+阅读 · 2019年1月3日
A Technical Overview of AI & ML in 2018 & Trends for 2019
待字闺中
18+阅读 · 2018年12月24日
disentangled-representation-papers
CreateAMind
26+阅读 · 2018年9月12日
vae 相关论文 表示学习 1
CreateAMind
12+阅读 · 2018年9月6日
相关基金
国家自然科学基金
0+阅读 · 2014年12月31日
国家自然科学基金
0+阅读 · 2014年12月31日
国家自然科学基金
0+阅读 · 2013年12月31日
国家自然科学基金
0+阅读 · 2013年12月31日
国家自然科学基金
0+阅读 · 2013年12月31日
国家自然科学基金
0+阅读 · 2013年12月31日
国家自然科学基金
0+阅读 · 2012年12月31日
国家自然科学基金
0+阅读 · 2012年12月31日
国家自然科学基金
0+阅读 · 2011年12月31日
国家自然科学基金
0+阅读 · 2009年12月31日
Top
微信扫码咨询专知VIP会员