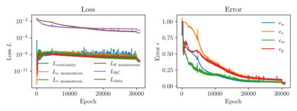
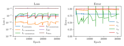
Compared with conventional numerical approaches to solving partial differential equations (PDEs), physics-informed neural networks (PINN) have manifested the capability to save development effort and computational cost, especially in scenarios of reconstructing the physics field and solving the inverse problem. Considering the advantages of parameter sharing, spatial feature extraction and low inference cost, convolutional neural networks (CNN) are increasingly used in PINN. However, some challenges still remain as follows. To adapt convolutional PINN to solve different PDEs, considerable effort is usually needed for tuning critical hyperparameters. Furthermore, the effects of the finite difference accuracy, and the mesh resolution on the predictivity of convolutional PINN are not settled. To fill the gaps above, we propose three initiatives in this paper: (1) A Multi-Receptive-Field PINN (MRF-PINN) model is established to solve different types of PDEs on various mesh resolutions without manual tuning; (2) The dimensional balance method is used to estimate the loss weights when solving Navier-Stokes equations; (3) The Taylor polynomial is used to pad the virtual nodes near the boundaries for implementing high-order finite difference. The proposed MRF-PINN is tested for solving three typical linear PDEs (elliptic, parabolic, hyperbolic) and a series of nonlinear PDEs (Navier-Stokes PDEs) to demonstrate its generality and superiority. This paper shows that MRF-PINN can adapt to completely different equation types and mesh resolutions without any hyperparameter tuning. The dimensional balance method saves computational time and improves the convergence for solving Navier-Stokes PDEs. Further, the solving error is significantly decreased under high-order finite difference, large channel number, and high mesh resolution, which is expected to be a general convolutional PINN scheme.


翻译:与解决部分差异方程式(PDEs)的常规数字方法相比,物理学知情神经网络(PINN)显示出了节省开发努力和计算成本的能力,特别是在重建物理场和解决逆向问题的情景中。考虑到参数共享、空间特征提取和低推论成本的优点,进化神经网络(CNN)越来越多地用于PINN。然而,一些挑战依然存在。要调整卷进 PINN以解不同的PDEs,通常需要做出相当大的努力来调整临界超参数。此外,有限差异精确度和网状智能分辨率对共振PINN的预测性效果和计算成本。为了填补上述空白,我们在本文中提出了三项举措:(1) 多感-感-战型 PINN(MRF-PINN)模型用于解决各种纸质分辨率分辨率的不同类型PDIS,在解决Navi-Stokeal-Scial等式方程式时,维度平衡方法可用于估算损失重量;(3) 典型的PDOL-al-deal-al-deal-deal deal deal demodal dismal demodal disal demodal demodal demodes a mess deal demode demodeal demods mess demodal demodal demodal demods mal demods mis mess mess mal deal demo ma ro ro ro ro 。 。Tal demodal demodal demodal demodal demo 任何高, 。

0
下载
关闭预览

相关内容

神经网络(Neural Networks)是世界上三个最古老的神经建模学会的档案期刊:国际神经网络学会(INNS)、欧洲神经网络学会(ENNS)和日本神经网络学会(JNNS)。神经网络提供了一个论坛,以发展和培育一个国际社会的学者和实践者感兴趣的所有方面的神经网络和相关方法的计算智能。神经网络欢迎高质量论文的提交,有助于全面的神经网络研究,从行为和大脑建模,学习算法,通过数学和计算分析,系统的工程和技术应用,大量使用神经网络的概念和技术。这一独特而广泛的范围促进了生物和技术研究之间的思想交流,并有助于促进对生物启发的计算智能感兴趣的跨学科社区的发展。因此,神经网络编委会代表的专家领域包括心理学,神经生物学,计算机科学,工程,数学,物理。该杂志发表文章、信件和评论以及给编辑的信件、社论、时事、软件调查和专利信息。文章发表在五个部分之一:认知科学,神经科学,学习系统,数学和计算分析、工程和应用。 官网地址:http://dblp.uni-trier.de/db/journals/nn/
不可错过!《机器学习100讲》课程,UBC Mark Schmidt讲授
专知会员服务
76+阅读 · 2022年6月28日
专知会员服务
26+阅读 · 2021年4月2日
神经常微分方程教程,50页ppt,A brief tutorial on Neural ODEs
专知会员服务
74+阅读 · 2020年8月2日
Stabilizing Transformers for Reinforcement Learning
专知会员服务
60+阅读 · 2019年10月17日
强化学习最新教程,17页pdf
专知会员服务
182+阅读 · 2019年10月11日
【SIGGRAPH2019】TensorFlow 2.0深度学习计算机图形学应用
专知会员服务
41+阅读 · 2019年10月9日
IEEE TII Call For Papers
CCF多媒体专委会
3+阅读 · 2022年3月24日
【ICIG2021】Latest News & Announcements of the Tutorial
中国图象图形学学会CSIG
3+阅读 · 2021年12月20日
【ICIG2021】Latest News & Announcements of the Workshop
中国图象图形学学会CSIG
0+阅读 · 2021年12月20日
【ICIG2021】Check out the hot new trailer of ICIG2021 Symposium4
中国图象图形学学会CSIG
0+阅读 · 2021年11月10日
Hierarchically Structured Meta-learning
CreateAMind
27+阅读 · 2019年5月22日
Transferring Knowledge across Learning Processes
CreateAMind
29+阅读 · 2019年5月18日
Unsupervised Learning via Meta-Learning
CreateAMind
43+阅读 · 2019年1月3日
A Technical Overview of AI & ML in 2018 & Trends for 2019
待字闺中
18+阅读 · 2018年12月24日
LibRec 精选:推荐系统的论文与源码
LibRec智能推荐
14+阅读 · 2018年11月29日
disentangled-representation-papers
CreateAMind
26+阅读 · 2018年9月12日
国家自然科学基金
0+阅读 · 2015年12月31日
国家自然科学基金
0+阅读 · 2015年12月31日
国家自然科学基金
2+阅读 · 2015年12月31日
国家自然科学基金
2+阅读 · 2015年12月31日
国家自然科学基金
0+阅读 · 2013年12月31日
国家自然科学基金
0+阅读 · 2013年12月31日
国家自然科学基金
1+阅读 · 2011年12月31日
国家自然科学基金
0+阅读 · 2011年12月31日
国家自然科学基金
0+阅读 · 2011年12月31日
国家自然科学基金
0+阅读 · 2011年12月31日
Arxiv
23+阅读 · 2022年2月4日
Financial Time Series Representation Learning
Arxiv
10+阅读 · 2020年3月27日
VIP会员
相关资讯
IEEE TII Call For Papers
CCF多媒体专委会
3+阅读 · 2022年3月24日
【ICIG2021】Latest News & Announcements of the Tutorial
中国图象图形学学会CSIG
3+阅读 · 2021年12月20日
【ICIG2021】Latest News & Announcements of the Workshop
中国图象图形学学会CSIG
0+阅读 · 2021年12月20日
【ICIG2021】Check out the hot new trailer of ICIG2021 Symposium4
中国图象图形学学会CSIG
0+阅读 · 2021年11月10日
Hierarchically Structured Meta-learning
CreateAMind
27+阅读 · 2019年5月22日
Transferring Knowledge across Learning Processes
CreateAMind
29+阅读 · 2019年5月18日
Unsupervised Learning via Meta-Learning
CreateAMind
43+阅读 · 2019年1月3日
A Technical Overview of AI & ML in 2018 & Trends for 2019
待字闺中
18+阅读 · 2018年12月24日
LibRec 精选:推荐系统的论文与源码
LibRec智能推荐
14+阅读 · 2018年11月29日
disentangled-representation-papers
CreateAMind
26+阅读 · 2018年9月12日
相关基金
国家自然科学基金
0+阅读 · 2015年12月31日
国家自然科学基金
0+阅读 · 2015年12月31日
国家自然科学基金
2+阅读 · 2015年12月31日
国家自然科学基金
2+阅读 · 2015年12月31日
国家自然科学基金
0+阅读 · 2013年12月31日
国家自然科学基金
0+阅读 · 2013年12月31日
国家自然科学基金
1+阅读 · 2011年12月31日
国家自然科学基金
0+阅读 · 2011年12月31日
国家自然科学基金
0+阅读 · 2011年12月31日
国家自然科学基金
0+阅读 · 2011年12月31日
Top
微信扫码咨询专知VIP会员