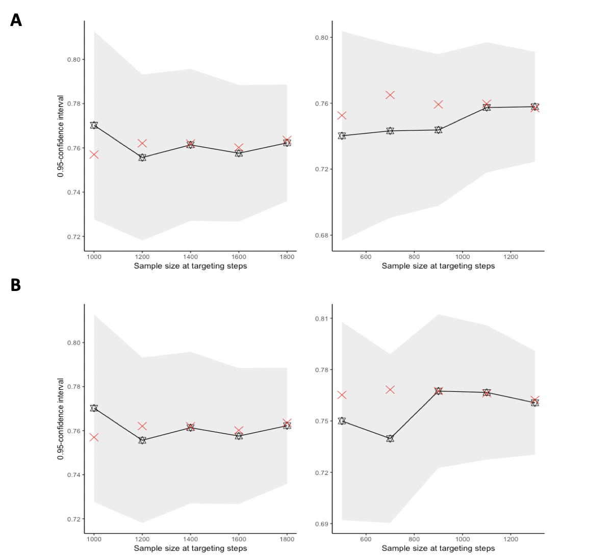
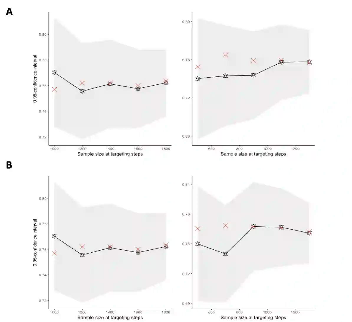
The current work is motivated by the need for robust statistical methods for precision medicine; as such, we address the need for statistical methods that provide actionable inference for a single unit at any point in time. We aim to learn an optimal, unknown choice of the controlled components of the design in order to optimize the expected outcome; with that, we adapt the randomization mechanism for future time-point experiments based on the data collected on the individual over time. Our results demonstrate that one can learn the optimal rule based on a single sample, and thereby adjust the design at any point t with valid inference for the mean target parameter. This work provides several contributions to the field of statistical precision medicine. First, we define a general class of averages of conditional causal parameters defined by the current context for the single unit time-series data. We define a nonparametric model for the probability distribution of the time-series under few assumptions, and aim to fully utilize the sequential randomization in the estimation procedure via the double robust structure of the efficient influence curve of the proposed target parameter. We present multiple exploration-exploitation strategies for assigning treatment, and methods for estimating the optimal rule. Lastly, we present the study of the data-adaptive inference on the mean under the optimal treatment rule, where the target parameter adapts over time in response to the observed context of the individual. Our target parameter is pathwise differentiable with an efficient influence function that is doubly robust - which makes it easier to estimate than previously proposed variations. We characterize the limit distribution of our estimator under a Donsker condition expressed in terms of a notion of bracketing entropy adapted to martingale settings.


翻译:目前的工作动力在于需要可靠的精确医学统计方法;因此,我们解决了统计方法的需要,这些统计方法在任何时刻都为单一单位提供可操作的推断;我们的目标是学习设计中受控制组成部分的最佳、未知的选择,以优化预期结果;因此,我们根据个人收集的数据对未来时间点实验的随机化机制进行调整;我们的结果表明,人们可以学习基于单一抽样的最佳规则,从而在任何一点调整设计,同时对平均目标参数作出有效的推论。这项工作为统计精确医学领域提供了若干贡献。首先,我们为单一单位时间序列数据界定了当前背景下界定的有条件因果参数的一般平均数类别;我们根据几个假设为时间序列的概率分配确定了一个非参数性模型,目的是通过拟议目标参数有效影响曲线的双稳健结构充分利用估算程序的顺序随机化。我们提出了用于分配处理的多重勘探战略,以及用于估计最稳性精确的精确值的精确值范围的方法。最后,我们根据所观察到的参数定义,我们用一个非参数来调整了我们所观察到的参数的比我们所观察到的精确值的最佳值的参数反应。

0
下载
关闭预览

相关内容

【干货书】机器学习速查手册,135页pdf
专知会员服务
127+阅读 · 2020年11月20日
因果图,Causal Graphs,52页ppt
专知会员服务
253+阅读 · 2020年4月19日
机器学习速查手册,135页pdf
专知会员服务
345+阅读 · 2020年3月15日
强化学习最新教程,17页pdf
专知会员服务
182+阅读 · 2019年10月11日
最新BERT相关论文清单,BERT-related Papers
专知会员服务
53+阅读 · 2019年9月29日
强化学习三篇论文 避免遗忘等
CreateAMind
20+阅读 · 2019年5月24日
Hierarchically Structured Meta-learning
CreateAMind
27+阅读 · 2019年5月22日
逆强化学习-学习人先验的动机
CreateAMind
16+阅读 · 2019年1月18日
强化学习的Unsupervised Meta-Learning
CreateAMind
18+阅读 · 2019年1月7日
无监督元学习表示学习
CreateAMind
27+阅读 · 2019年1月4日
Unsupervised Learning via Meta-Learning
CreateAMind
43+阅读 · 2019年1月3日
Disentangled的假设的探讨
CreateAMind
9+阅读 · 2018年12月10日
【论文】变分推断(Variational inference)的总结
机器学习研究会
39+阅读 · 2017年11月16日
Auto-Encoding GAN
CreateAMind
7+阅读 · 2017年8月4日
Optimal Target Shape for LiDAR Pose Estimation
Arxiv
0+阅读 · 2021年9月6日
Arxiv
21+阅读 · 2020年10月11日
Arxiv
9+阅读 · 2018年3月20日
VIP会员
相关VIP内容
【干货书】机器学习速查手册,135页pdf
专知会员服务
127+阅读 · 2020年11月20日
因果图,Causal Graphs,52页ppt
专知会员服务
253+阅读 · 2020年4月19日
机器学习速查手册,135页pdf
专知会员服务
345+阅读 · 2020年3月15日
强化学习最新教程,17页pdf
专知会员服务
182+阅读 · 2019年10月11日
最新BERT相关论文清单,BERT-related Papers
专知会员服务
53+阅读 · 2019年9月29日
相关资讯
强化学习三篇论文 避免遗忘等
CreateAMind
20+阅读 · 2019年5月24日
Hierarchically Structured Meta-learning
CreateAMind
27+阅读 · 2019年5月22日
逆强化学习-学习人先验的动机
CreateAMind
16+阅读 · 2019年1月18日
强化学习的Unsupervised Meta-Learning
CreateAMind
18+阅读 · 2019年1月7日
无监督元学习表示学习
CreateAMind
27+阅读 · 2019年1月4日
Unsupervised Learning via Meta-Learning
CreateAMind
43+阅读 · 2019年1月3日
Disentangled的假设的探讨
CreateAMind
9+阅读 · 2018年12月10日
【论文】变分推断(Variational inference)的总结
机器学习研究会
39+阅读 · 2017年11月16日
Auto-Encoding GAN
CreateAMind
7+阅读 · 2017年8月4日
Top
微信扫码咨询专知VIP会员