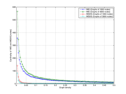
In graph theory, an independent set is a subset of nodes where there are no two adjacent nodes. The independent set is maximal if no node outside the independent set can join it. In network applications, maximal independent sets can be used as cluster heads in ad hoc and wireless sensor networks. In order to deal with any failure in networks, self-stabilizing algorithms have been proposed in the literature to calculate the maximal independent set under different hypotheses. In this paper, we propose a self-stabilizing algorithm to compute a maximal independent set where nodes of the independent set are far from each other at least with distance 3. We prove the correctness and the convergence of the proposed algorithm. Simulation tests show the ability of our algorithm to find a reduced number of nodes in large scale networks which allows strong control of networks


翻译:在图形理论中,独立集是没有两个相邻节点的节点的子集。独立集如果独立集在独立集之外没有节点可以加入它,则是最大节点。在网络应用中,最大独立集可以用作临时和无线传感器网络的集群头。为了处理网络中的任何故障,文献中提出了自我稳定算法,以计算不同假设下的最大独立集。在本文中,我们提议了一种自我稳定算法,以计算一个最大独立集,独立集的节点彼此距离最远,至少距离最远。在网络应用中,我们证明了拟议算法的正确性和趋同性。模拟测试表明我们的算法能够在大型网络中找到数量较少的节点,从而能够对网络进行强有力的控制。

0
下载
关闭预览

相关内容

专知会员服务
51+阅读 · 2020年12月14日
深度强化学习策略梯度教程,53页ppt
专知会员服务
184+阅读 · 2020年2月1日
专知会员服务
162+阅读 · 2020年1月16日
强化学习最新教程,17页pdf
专知会员服务
182+阅读 · 2019年10月11日
机器学习入门的经验与建议
专知会员服务
94+阅读 · 2019年10月10日
【哈佛大学商学院课程Fall 2019】机器学习可解释性
专知会员服务
105+阅读 · 2019年10月9日
MIT新书《强化学习与最优控制》
专知会员服务
282+阅读 · 2019年10月9日
Hierarchically Structured Meta-learning
CreateAMind
27+阅读 · 2019年5月22日
逆强化学习-学习人先验的动机
CreateAMind
16+阅读 · 2019年1月18日
强化学习的Unsupervised Meta-Learning
CreateAMind
18+阅读 · 2019年1月7日
无监督元学习表示学习
CreateAMind
27+阅读 · 2019年1月4日
Unsupervised Learning via Meta-Learning
CreateAMind
43+阅读 · 2019年1月3日
分布式TensorFlow入门指南
机器学习研究会
4+阅读 · 2017年11月28日
【论文】变分推断(Variational inference)的总结
机器学习研究会
39+阅读 · 2017年11月16日
强化学习 cartpole_a3c
CreateAMind
9+阅读 · 2017年7月21日
Arxiv
0+阅读 · 2021年3月24日
Arxiv
0+阅读 · 2021年3月22日
Implicit Maximum Likelihood Estimation
Arxiv
7+阅读 · 2018年9月24日
VIP会员
相关VIP内容
专知会员服务
51+阅读 · 2020年12月14日
深度强化学习策略梯度教程,53页ppt
专知会员服务
184+阅读 · 2020年2月1日
专知会员服务
162+阅读 · 2020年1月16日
强化学习最新教程,17页pdf
专知会员服务
182+阅读 · 2019年10月11日
机器学习入门的经验与建议
专知会员服务
94+阅读 · 2019年10月10日
【哈佛大学商学院课程Fall 2019】机器学习可解释性
专知会员服务
105+阅读 · 2019年10月9日
MIT新书《强化学习与最优控制》
专知会员服务
282+阅读 · 2019年10月9日
相关资讯
Hierarchically Structured Meta-learning
CreateAMind
27+阅读 · 2019年5月22日
逆强化学习-学习人先验的动机
CreateAMind
16+阅读 · 2019年1月18日
强化学习的Unsupervised Meta-Learning
CreateAMind
18+阅读 · 2019年1月7日
无监督元学习表示学习
CreateAMind
27+阅读 · 2019年1月4日
Unsupervised Learning via Meta-Learning
CreateAMind
43+阅读 · 2019年1月3日
分布式TensorFlow入门指南
机器学习研究会
4+阅读 · 2017年11月28日
【论文】变分推断(Variational inference)的总结
机器学习研究会
39+阅读 · 2017年11月16日
强化学习 cartpole_a3c
CreateAMind
9+阅读 · 2017年7月21日
Top
微信扫码咨询专知VIP会员