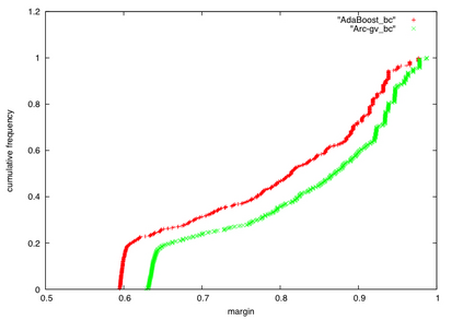
Boosting and other ensemble methods combine a large number of weak classifiers through weighted voting to produce stronger predictive models. To explain the successful performance of boosting algorithms, Schapire et al. (1998) showed that AdaBoost is especially effective at increasing the margins of the training data. Schapire et al. (1998) also developed an upper bound on the generalization error of any ensemble based on the margins of the training data, from which it was concluded that larger margins should lead to lower generalization error, everything else being equal (sometimes referred to as the ``large margins theory''). Tighter bounds have been derived and have reinforced the large margins theory hypothesis. For instance, Wang et al. (2011) suggest that specific margin instances, such as the equilibrium margin, can better summarize the margins distribution. These results have led many researchers to consider direct optimization of the margins to improve ensemble generalization error with mixed results. We show that the large margins theory is not sufficient for explaining the performance of voting classifiers. We do this by illustrating how it is possible to improve upon the margin distribution of an ensemble solution, while keeping the complexity fixed, yet not improve the test set performance.


翻译:通过加权表决,将大量薄弱的分类方法与其他混合方法结合起来,通过加权表决,将大量薄弱的分类方法结合起来,从而产生更强的预测模型。为了解释推算算算法的成功性,Schapire等人(1998年)表明,AdaBoost在增加培训数据的边际方面特别有效。Schapire等人(1998年)还根据培训数据的边际,就任何组合的概括性错误形成了上层界限,由此得出的结论是,较大的边际应导致降低一般化错误,所有其它地方都应相同(有时称为“大边际理论”)。已经得出了更近的界限,加强了大边际理论假设。例如,Wang等人(2011年)建议,特定的边际实例,例如平衡边际,可以更好地总结边际分布。这些结果促使许多研究人员考虑直接优化边际,以改进混合结果的堆积性一般化错误。我们证明,大边际理论不足以解释投票分级者的绩效。我们这样做是通过说明如何改进边际分配,而不是改进复杂性测试。

0
下载
关闭预览

相关内容

可解释强化学习,Explainable Reinforcement Learning: A Survey
专知会员服务
131+阅读 · 2020年5月14日
Keras François Chollet 《Deep Learning with Python 》, 386页pdf
专知会员服务
160+阅读 · 2019年10月12日
强化学习最新教程,17页pdf
专知会员服务
182+阅读 · 2019年10月11日
【哈佛大学商学院课程Fall 2019】机器学习可解释性
专知会员服务
105+阅读 · 2019年10月9日
Transferring Knowledge across Learning Processes
CreateAMind
29+阅读 · 2019年5月18日
Call for Participation: Shared Tasks in NLPCC 2019
中国计算机学会
5+阅读 · 2019年3月22日
强化学习的Unsupervised Meta-Learning
CreateAMind
18+阅读 · 2019年1月7日
无监督元学习表示学习
CreateAMind
27+阅读 · 2019年1月4日
Unsupervised Learning via Meta-Learning
CreateAMind
43+阅读 · 2019年1月3日
meta learning 17年:MAML SNAIL
CreateAMind
11+阅读 · 2019年1月2日
A Technical Overview of AI & ML in 2018 & Trends for 2019
待字闺中
18+阅读 · 2018年12月24日
disentangled-representation-papers
CreateAMind
26+阅读 · 2018年9月12日
Adversarial Variational Bayes: Unifying VAE and GAN 代码
CreateAMind
7+阅读 · 2017年10月4日
Auto-Encoding GAN
CreateAMind
7+阅读 · 2017年8月4日
Learning in the Frequency Domain
Arxiv
11+阅读 · 2020年3月12日
Optimization for deep learning: theory and algorithms
Arxiv
106+阅读 · 2019年12月19日
Arxiv
7+阅读 · 2018年12月26日
Deep Randomized Ensembles for Metric Learning
Arxiv
5+阅读 · 2018年9月4日
Arxiv
17+阅读 · 2018年4月2日
Arxiv
9+阅读 · 2018年3月28日
VIP会员
相关VIP内容
可解释强化学习,Explainable Reinforcement Learning: A Survey
专知会员服务
131+阅读 · 2020年5月14日
Keras François Chollet 《Deep Learning with Python 》, 386页pdf
专知会员服务
160+阅读 · 2019年10月12日
强化学习最新教程,17页pdf
专知会员服务
182+阅读 · 2019年10月11日
【哈佛大学商学院课程Fall 2019】机器学习可解释性
专知会员服务
105+阅读 · 2019年10月9日
相关资讯
Transferring Knowledge across Learning Processes
CreateAMind
29+阅读 · 2019年5月18日
Call for Participation: Shared Tasks in NLPCC 2019
中国计算机学会
5+阅读 · 2019年3月22日
强化学习的Unsupervised Meta-Learning
CreateAMind
18+阅读 · 2019年1月7日
无监督元学习表示学习
CreateAMind
27+阅读 · 2019年1月4日
Unsupervised Learning via Meta-Learning
CreateAMind
43+阅读 · 2019年1月3日
meta learning 17年:MAML SNAIL
CreateAMind
11+阅读 · 2019年1月2日
A Technical Overview of AI & ML in 2018 & Trends for 2019
待字闺中
18+阅读 · 2018年12月24日
disentangled-representation-papers
CreateAMind
26+阅读 · 2018年9月12日
Adversarial Variational Bayes: Unifying VAE and GAN 代码
CreateAMind
7+阅读 · 2017年10月4日
Auto-Encoding GAN
CreateAMind
7+阅读 · 2017年8月4日
Top
微信扫码咨询专知VIP会员