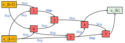
Differentiable architecture search (DAS) has made great progress in searching for high-performance architectures with reduced computational cost. However, DAS-based methods mainly focus on searching for a repeatable cell structure, which is then stacked sequentially in multiple stages to form the networks. This configuration significantly reduces the search space, and ignores the importance of connections between the cells. To overcome this limitation, in this paper, we propose a Hierarchical Differentiable Architecture Search (H-DAS) that performs architecture search both at the cell level and at the stage level. Specifically, the cell-level search space is relaxed so that the networks can learn stage-specific cell structures. For the stage-level search, we systematically study the architectures of stages, including the number of cells in each stage and the connections between the cells. Based on insightful observations, we design several search rules and losses, and mange to search for better stage-level architectures. Such hierarchical search space greatly improves the performance of the networks without introducing expensive search cost. Extensive experiments on CIFAR10 and ImageNet demonstrate the effectiveness of the proposed H-DAS. Moreover, the searched stage-level architectures can be combined with the cell structures searched by existing DAS methods to further boost the performance. Code is available at: https://github.com/MalongTech/research-HDAS


翻译:不同的建筑搜索(DAS)在寻找高性能建筑方面取得了很大进展,计算成本降低。然而,基于DAS的方法主要侧重于寻找可重复的细胞结构,然后按多个阶段相叠以形成网络。这种配置大大减少了搜索空间,忽视了各细胞之间连接的重要性。为了克服这一局限性,我们在本文件中提议建立一个等级差异式建筑搜索(H-DAS),在单元格一级和阶段一级进行结构搜索。具体地说,细胞搜索空间松散,以便网络能够学习特定阶段的细胞结构。为了进行阶段搜索,我们系统地研究各个阶段的结构,包括每个阶段的细胞数量和各个细胞之间的联系。根据深刻的观察,我们设计了若干搜索规则和损失,以及搜索更高级建筑的曼杰。这种等级式搜索空间在不引入昂贵的搜索费用的情况下大大改善了网络的运行情况。 CIRAR10 和图像网络的广泛实验可以显示拟议的H-DAS/图像网络的有效性。为了进行阶段搜索,我们系统系统系统系统系统系统化的系统化结构,包括每个阶段的细胞数量和各个细胞之间的连接。此外,搜索系统搜索系统化的系统化结构是现有的搜索系统级/搜索系统级结构。

0
下载
关闭预览

相关内容

最新《Transformers模型》教程,64页ppt
专知会员服务
325+阅读 · 2020年11月26日
专知会员服务
61+阅读 · 2020年3月19日
Stabilizing Transformers for Reinforcement Learning
专知会员服务
60+阅读 · 2019年10月17日
Google Research Football (scenario 2) 实验
CreateAMind
8+阅读 · 2019年8月29日
Hierarchically Structured Meta-learning
CreateAMind
27+阅读 · 2019年5月22日
Transferring Knowledge across Learning Processes
CreateAMind
29+阅读 · 2019年5月18日
Call for Participation: Shared Tasks in NLPCC 2019
中国计算机学会
5+阅读 · 2019年3月22日
强化学习的Unsupervised Meta-Learning
CreateAMind
18+阅读 · 2019年1月7日
Unsupervised Learning via Meta-Learning
CreateAMind
43+阅读 · 2019年1月3日
Hierarchical Imitation - Reinforcement Learning
CreateAMind
19+阅读 · 2018年5月25日
Hierarchical Disentangled Representations
CreateAMind
4+阅读 · 2018年4月15日
【学习】Hierarchical Softmax
机器学习研究会
4+阅读 · 2017年8月6日
Arxiv
6+阅读 · 2020年10月8日
Arxiv
3+阅读 · 2018年11月19日
Neural Architecture Optimization
Arxiv
8+阅读 · 2018年9月5日
Arxiv
12+阅读 · 2018年9月5日
Arxiv
3+阅读 · 2018年6月24日
VIP会员
相关资讯
Google Research Football (scenario 2) 实验
CreateAMind
8+阅读 · 2019年8月29日
Hierarchically Structured Meta-learning
CreateAMind
27+阅读 · 2019年5月22日
Transferring Knowledge across Learning Processes
CreateAMind
29+阅读 · 2019年5月18日
Call for Participation: Shared Tasks in NLPCC 2019
中国计算机学会
5+阅读 · 2019年3月22日
强化学习的Unsupervised Meta-Learning
CreateAMind
18+阅读 · 2019年1月7日
Unsupervised Learning via Meta-Learning
CreateAMind
43+阅读 · 2019年1月3日
Hierarchical Imitation - Reinforcement Learning
CreateAMind
19+阅读 · 2018年5月25日
Hierarchical Disentangled Representations
CreateAMind
4+阅读 · 2018年4月15日
【学习】Hierarchical Softmax
机器学习研究会
4+阅读 · 2017年8月6日
相关论文
Arxiv
6+阅读 · 2020年10月8日
Arxiv
3+阅读 · 2018年11月19日
Neural Architecture Optimization
Arxiv
8+阅读 · 2018年9月5日
Arxiv
12+阅读 · 2018年9月5日
Arxiv
3+阅读 · 2018年6月24日
Top
微信扫码咨询专知VIP会员