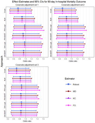
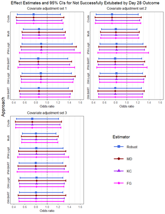
Cluster-randomized trials (CRTs) involve randomizing entire groups of participants to treatment arms, but are often comprised of a limited number of available clusters. While covariate adjustment can account for chance imbalances between treatment arms and increase statistical efficiency in individually-randomized trials, analytical methods for covariate adjustment in small CRTs have received little attention to date. In this paper, we systematically investigate, through extensive simulations, the operating characteristics of propensity score weighting and multivariable regression as two covariate adjustment strategies for estimating the participant-average causal effect in small CRTs with a rare binary outcome and identify scenarios where each covariate adjustment strategy has a relative efficiency advantage over the other to make practical recommendations. Beyond efficiency considerations, we also examined the finite-sample performance of the sandwich variance estimators associated with propensity score weighting and multivariable regression for quantifying the uncertainty in estimating the participant-average treatment effect. We found that the \citet{mancl2001} type bias-corrected sandwich variance estimator tends to provide the closest to nominal coverage for both propensity score weighting and multivariable regression estimators, extending the existing recommendations for unadjusted analysis of CRTs to accommodate covariate adjustment in small CRTs with a rare binary outcome. To illustrate the practical consequences of these various adjustment approaches, we reanalyzed a recent CRT testing a sedation protocol in $31$ pediatric intensive care units.


翻译:集束化试验(CRTs)涉及处理武器的整个参与者群体随机化,但通常由有限的现有分类组合组成。虽然共变调整可以说明处理武器之间的机会不平衡,并提高个人随机化试验的统计效率,但小型CRTs的共变调整分析方法迄今很少引起注意。在本文件中,我们通过广泛模拟,系统调查适应性评分加权数和多变回归的操作特点,作为两种共变调整战略,用以估算小的CRTs参与者平均因果关系,结果罕见,并查明每种共变调整战略在提出实际建议方面相对效率优势的情景。除了效率考虑因素外,我们还审查了与易性分加权和多变回归有关的三明治差异估计的有限抽样性表现,以量化估算参与者平均治疗效果时的不确定性。我们发现,经\citednected{mancl2001} 类型偏差调调调调调调调调调调调调调调调调调调调调调调调的调调调调调制方法往往能提供最接近最接近于名义的覆盖,供我们双方的共变调调调调调调调调调调调和现有结果的精度调整结果的精度。

0
下载
关闭预览

相关内容

不可错过!《机器学习100讲》课程,UBC Mark Schmidt讲授
专知会员服务
76+阅读 · 2022年6月28日
Artificial Intelligence: Ready to Ride the Wave? BCG 28页PPT
专知会员服务
28+阅读 · 2022年2月20日
【干货书】机器学习速查手册,135页pdf
专知会员服务
127+阅读 · 2020年11月20日
强化学习最新教程,17页pdf
专知会员服务
182+阅读 · 2019年10月11日
机器学习入门的经验与建议
专知会员服务
94+阅读 · 2019年10月10日
【哈佛大学商学院课程Fall 2019】机器学习可解释性
专知会员服务
105+阅读 · 2019年10月9日
ACM MM 2022 Call for Papers
CCF多媒体专委会
5+阅读 · 2022年3月29日
AIART 2022 Call for Papers
CCF多媒体专委会
1+阅读 · 2022年2月13日
【ICIG2021】Latest News & Announcements of the Workshop
中国图象图形学学会CSIG
0+阅读 · 2021年12月20日
【ICIG2021】Check out the hot new trailer of ICIG2021 Symposium9
中国图象图形学学会CSIG
0+阅读 · 2021年12月17日
【ICIG2021】Check out the hot new trailer of ICIG2021 Symposium8
中国图象图形学学会CSIG
0+阅读 · 2021年11月16日
【ICIG2021】Check out the hot new trailer of ICIG2021 Symposium4
中国图象图形学学会CSIG
0+阅读 · 2021年11月10日
【ICIG2021】Latest News & Announcements of the Plenary Talk2
中国图象图形学学会CSIG
0+阅读 · 2021年11月2日
Hierarchically Structured Meta-learning
CreateAMind
27+阅读 · 2019年5月22日
Unsupervised Learning via Meta-Learning
CreateAMind
43+阅读 · 2019年1月3日
A Technical Overview of AI & ML in 2018 & Trends for 2019
待字闺中
18+阅读 · 2018年12月24日
国家自然科学基金
0+阅读 · 2015年12月31日
国家自然科学基金
0+阅读 · 2014年12月31日
国家自然科学基金
0+阅读 · 2013年12月31日
国家自然科学基金
0+阅读 · 2013年12月31日
国家自然科学基金
1+阅读 · 2012年12月31日
国家自然科学基金
0+阅读 · 2011年12月31日
国家自然科学基金
0+阅读 · 2009年12月31日
国家自然科学基金
0+阅读 · 2008年12月31日
国家自然科学基金
0+阅读 · 2008年12月31日
Arxiv
1+阅读 · 2022年6月30日
Arxiv
0+阅读 · 2022年6月29日
Arxiv
15+阅读 · 2020年12月17日
Meta-Learning to Cluster
Arxiv
18+阅读 · 2019年10月30日
VIP会员
相关VIP内容
不可错过!《机器学习100讲》课程,UBC Mark Schmidt讲授
专知会员服务
76+阅读 · 2022年6月28日
Artificial Intelligence: Ready to Ride the Wave? BCG 28页PPT
专知会员服务
28+阅读 · 2022年2月20日
【干货书】机器学习速查手册,135页pdf
专知会员服务
127+阅读 · 2020年11月20日
强化学习最新教程,17页pdf
专知会员服务
182+阅读 · 2019年10月11日
机器学习入门的经验与建议
专知会员服务
94+阅读 · 2019年10月10日
【哈佛大学商学院课程Fall 2019】机器学习可解释性
专知会员服务
105+阅读 · 2019年10月9日
相关资讯
ACM MM 2022 Call for Papers
CCF多媒体专委会
5+阅读 · 2022年3月29日
AIART 2022 Call for Papers
CCF多媒体专委会
1+阅读 · 2022年2月13日
【ICIG2021】Latest News & Announcements of the Workshop
中国图象图形学学会CSIG
0+阅读 · 2021年12月20日
【ICIG2021】Check out the hot new trailer of ICIG2021 Symposium9
中国图象图形学学会CSIG
0+阅读 · 2021年12月17日
【ICIG2021】Check out the hot new trailer of ICIG2021 Symposium8
中国图象图形学学会CSIG
0+阅读 · 2021年11月16日
【ICIG2021】Check out the hot new trailer of ICIG2021 Symposium4
中国图象图形学学会CSIG
0+阅读 · 2021年11月10日
【ICIG2021】Latest News & Announcements of the Plenary Talk2
中国图象图形学学会CSIG
0+阅读 · 2021年11月2日
Hierarchically Structured Meta-learning
CreateAMind
27+阅读 · 2019年5月22日
Unsupervised Learning via Meta-Learning
CreateAMind
43+阅读 · 2019年1月3日
A Technical Overview of AI & ML in 2018 & Trends for 2019
待字闺中
18+阅读 · 2018年12月24日
相关基金
国家自然科学基金
0+阅读 · 2015年12月31日
国家自然科学基金
0+阅读 · 2014年12月31日
国家自然科学基金
0+阅读 · 2013年12月31日
国家自然科学基金
0+阅读 · 2013年12月31日
国家自然科学基金
1+阅读 · 2012年12月31日
国家自然科学基金
0+阅读 · 2011年12月31日
国家自然科学基金
0+阅读 · 2009年12月31日
国家自然科学基金
0+阅读 · 2008年12月31日
国家自然科学基金
0+阅读 · 2008年12月31日
Top
微信扫码咨询专知VIP会员