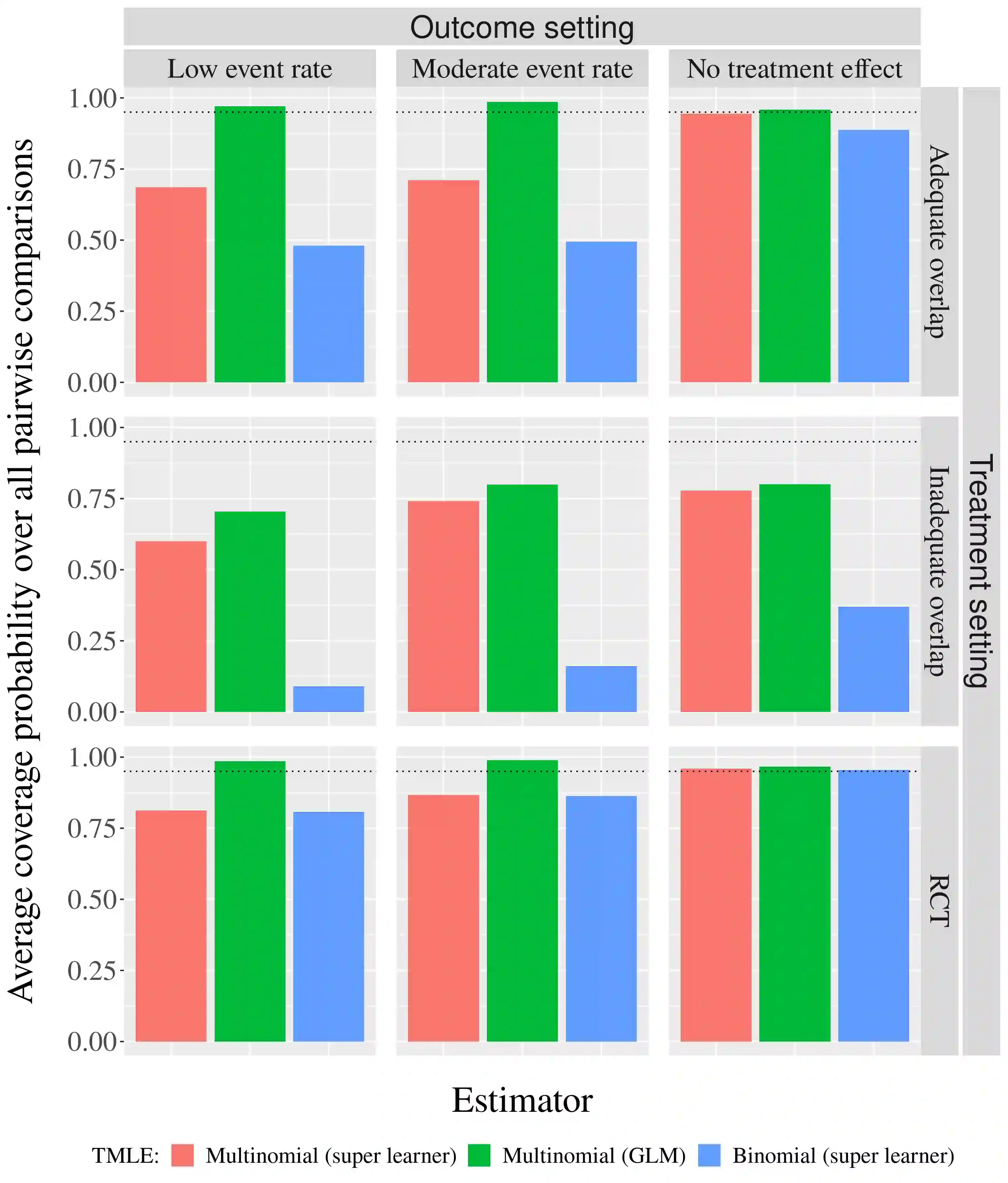
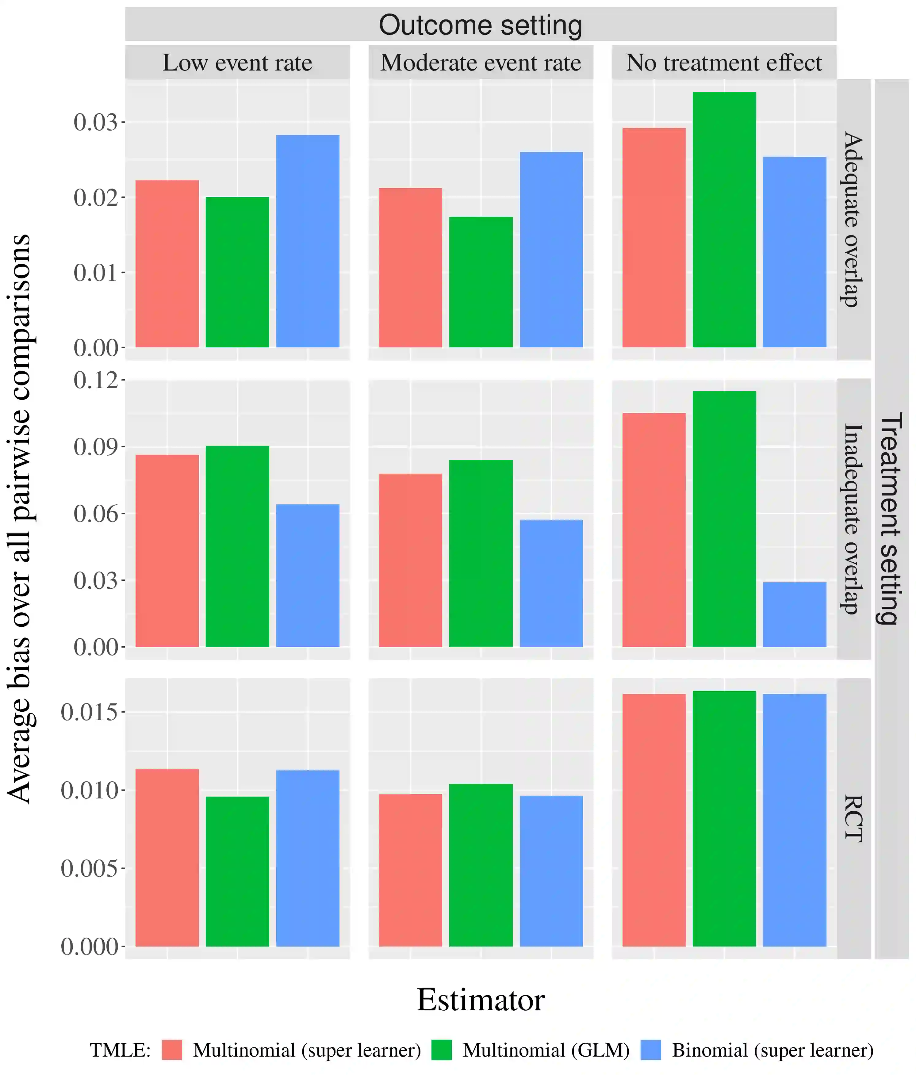
We investigate estimation of causal effects of multiple competing (multi-valued) treatments in the absence of randomization. Our work is motivated by an intention-to-treat study of the relative metabolic risk of assignment to one of six commonly prescribed antipsychotic drugs in a cohort of adults with serious mental illness. Doubly-robust estimators of multi-level treatment effects with observational data, such as targeted minimum loss-based estimation (TMLE), require that either the treatment model or outcome model is correctly specified to ensure consistent estimation. However, common TMLE implementations estimate treatment probabilities using multiple binomial regressions rather than a single multinomial regression. We implement a TMLE estimator that uses multinomial treatment assignment and ensemble machine learning to estimate average treatment effects. Our implementation achieves superior coverage probability relative to the binomial implementation in simulation experiments with varying treatment propensity overlap and event rates. An evaluation of the causal effects of six antipsychotic drugs on the risk of diabetes or death illustrates our approach. We find a relative safety benefit of moving from a second-generation antipyschotic thought to have more favorable metabolic risk profile relative to other second-generation drugs to a less commonly prescribed first-generation antipyschotic known for having a low rate of metabolic disturbance.


翻译:我们调查的是,在没有随机化的情况下,多种竞争(多价)治疗的因果关系估计。我们工作的动机是,对严重精神疾病成年人组群中六种普通处方抗精神病药物中的一种被分配到六种常见抗精神病药物的相对代谢风险进行意图到研究研究。多层次治疗效应的多点有机炎估计者与观察数据,例如有针对性的最低损失估计(TMLE)相比,要求正确指定治疗模式或结果模型以确保一致的估计。然而,共同的TMLE实施方法利用多种二相回归而不是单一的多位回归来估计治疗概率。我们采用了一个TMLE 估测仪,使用多种处方治疗任务和混合机来估计平均治疗效果。我们的实施在模拟实验中,与基于不同治疗倾向的重复和事件率的模拟实验相比,具有较高的覆盖率。六种抗精神病药物对糖尿病或死亡风险的因果关系评估说明了我们的做法。我们发现,从已知的第二代代代代次的相对偏好性药物转向其他代代代代代相较低的抗药性药物具有相对安全性的好处。我们发现,从已知的低代代代代代代代代代的抗药性药物具有较低的抗药性思维。

0
下载
关闭预览

相关内容

不可错过!700+ppt《因果推理》课程!杜克大学Fan Li教程
专知会员服务
72+阅读 · 2022年7月11日
不可错过!《机器学习100讲》课程,UBC Mark Schmidt讲授
专知会员服务
76+阅读 · 2022年6月28日
Keras François Chollet 《Deep Learning with Python 》, 386页pdf
专知会员服务
161+阅读 · 2019年10月12日
强化学习最新教程,17页pdf
专知会员服务
182+阅读 · 2019年10月11日
VCIP 2022 Call for Demos
CCF多媒体专委会
1+阅读 · 2022年6月6日
AIART 2022 Call for Papers
CCF多媒体专委会
1+阅读 · 2022年2月13日
【ICIG2021】Check out the hot new trailer of ICIG2021 Symposium6
中国图象图形学学会CSIG
2+阅读 · 2021年11月12日
【ICIG2021】Latest News & Announcements of the Plenary Talk1
中国图象图形学学会CSIG
0+阅读 · 2021年11月1日
Hierarchically Structured Meta-learning
CreateAMind
27+阅读 · 2019年5月22日
Transferring Knowledge across Learning Processes
CreateAMind
29+阅读 · 2019年5月18日
Unsupervised Learning via Meta-Learning
CreateAMind
43+阅读 · 2019年1月3日
A Technical Overview of AI & ML in 2018 & Trends for 2019
待字闺中
18+阅读 · 2018年12月24日
【论文】变分推断(Variational inference)的总结
机器学习研究会
39+阅读 · 2017年11月16日
国家自然科学基金
1+阅读 · 2015年12月31日
国家自然科学基金
1+阅读 · 2013年12月31日
国家自然科学基金
0+阅读 · 2013年12月31日
国家自然科学基金
0+阅读 · 2013年12月31日
国家自然科学基金
0+阅读 · 2012年12月31日
国家自然科学基金
0+阅读 · 2009年12月31日
国家自然科学基金
0+阅读 · 2009年12月31日
国家自然科学基金
0+阅读 · 2008年12月31日
国家自然科学基金
1+阅读 · 2008年12月31日
Arxiv
15+阅读 · 2020年12月17日
VIP会员
相关资讯
VCIP 2022 Call for Demos
CCF多媒体专委会
1+阅读 · 2022年6月6日
AIART 2022 Call for Papers
CCF多媒体专委会
1+阅读 · 2022年2月13日
【ICIG2021】Check out the hot new trailer of ICIG2021 Symposium6
中国图象图形学学会CSIG
2+阅读 · 2021年11月12日
【ICIG2021】Latest News & Announcements of the Plenary Talk1
中国图象图形学学会CSIG
0+阅读 · 2021年11月1日
Hierarchically Structured Meta-learning
CreateAMind
27+阅读 · 2019年5月22日
Transferring Knowledge across Learning Processes
CreateAMind
29+阅读 · 2019年5月18日
Unsupervised Learning via Meta-Learning
CreateAMind
43+阅读 · 2019年1月3日
A Technical Overview of AI & ML in 2018 & Trends for 2019
待字闺中
18+阅读 · 2018年12月24日
【论文】变分推断(Variational inference)的总结
机器学习研究会
39+阅读 · 2017年11月16日
相关基金
国家自然科学基金
1+阅读 · 2015年12月31日
国家自然科学基金
1+阅读 · 2013年12月31日
国家自然科学基金
0+阅读 · 2013年12月31日
国家自然科学基金
0+阅读 · 2013年12月31日
国家自然科学基金
0+阅读 · 2012年12月31日
国家自然科学基金
0+阅读 · 2009年12月31日
国家自然科学基金
0+阅读 · 2009年12月31日
国家自然科学基金
0+阅读 · 2008年12月31日
国家自然科学基金
1+阅读 · 2008年12月31日
Top
微信扫码咨询专知VIP会员