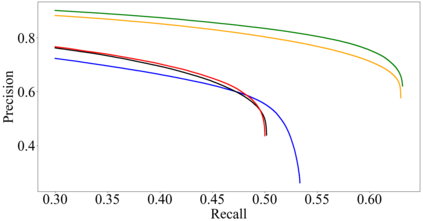
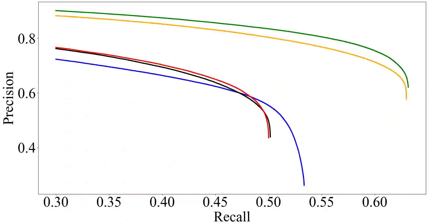
Man-made scenes can be densely packed, containing numerous objects, often identical, positioned in close proximity. We show that precise object detection in such scenes remains a challenging frontier even for state-of-the-art object detectors. We propose a novel, deep-learning based method for precise object detection, designed for such challenging settings. Our contributions include: (1) A layer for estimating the Jaccard index as a detection quality score; (2) a novel EM merging unit, which uses our quality scores to resolve detection overlap ambiguities; finally, (3) an extensive, annotated data set, SKU-110K, representing packed retail environments, released for training and testing under such extreme settings. Detection tests on SKU-110K and counting tests on the CARPK and PUCPR+ show our method to outperform existing state-of-the-art with substantial margins. The code and data will be made available on \url{www.github.com/eg4000/SKU110K_CVPR19}.


翻译:人造场景可以密布,包含许多往往相同、位置相近的物体。我们显示,即使在最先进的物体探测器中,在这些场景中,精确物体的探测仍然是一个具有挑战性的前沿。我们提议了一种针对这种具有挑战性的环境的基于深层学习的新型精确物体探测方法。我们的贡献包括:(1) 用于估计雅克卡指数作为探测质量分数的一层层;(2) 一个新的EM合并单位,它利用我们的质量分数解决探测重叠问题;最后,(3) 一个广泛的、附加说明的数据集,SKU-110K, 代表了在这种极端环境下进行训练和试验的包装零售环境。SKU-110K和CARPPK和PUCPR+的检测测试和计数测试显示我们以显著的边距超越现有最新水平的方法。代码和数据将在\url{www.github.com/eg4000/SKU110K_CVPR19}上提供。

3
下载
关闭预览

相关内容

专知会员服务
61+阅读 · 2020年3月19日
专知会员服务
110+阅读 · 2020年3月12日
抢鲜看!13篇CVPR2020论文链接/开源代码/解读
专知会员服务
50+阅读 · 2020年2月26日
[综述]深度学习下的场景文本检测与识别
专知会员服务
78+阅读 · 2019年10月10日
【哈佛大学商学院课程Fall 2019】机器学习可解释性
专知会员服务
105+阅读 · 2019年10月9日
Hierarchically Structured Meta-learning
CreateAMind
27+阅读 · 2019年5月22日
Unsupervised Learning via Meta-Learning
CreateAMind
43+阅读 · 2019年1月3日
Hierarchical Imitation - Reinforcement Learning
CreateAMind
19+阅读 · 2018年5月25日
Soft-NMS – Improving Object Detection With One Line of Code
统计学习与视觉计算组
6+阅读 · 2018年3月30日
视频超分辨 Detail-revealing Deep Video Super-resolution 论文笔记
统计学习与视觉计算组
17+阅读 · 2018年3月16日
ResNet, AlexNet, VGG, Inception:各种卷积网络架构的理解
全球人工智能
20+阅读 · 2017年12月17日
gan生成图像at 1024² 的 代码 论文
CreateAMind
4+阅读 · 2017年10月31日
Clustered Object Detection in Aerial Images
Arxiv
5+阅读 · 2019年8月27日
DPOD: Dense 6D Pose Object Detector in RGB images
Arxiv
5+阅读 · 2019年2月28日
Arxiv
12+阅读 · 2019年1月24日
Arxiv
7+阅读 · 2018年12月5日
Zero-Shot Object Detection
Arxiv
9+阅读 · 2018年7月27日
Arxiv
7+阅读 · 2018年3月19日
VIP会员
相关论文
Clustered Object Detection in Aerial Images
Arxiv
5+阅读 · 2019年8月27日
DPOD: Dense 6D Pose Object Detector in RGB images
Arxiv
5+阅读 · 2019年2月28日
Arxiv
12+阅读 · 2019年1月24日
Arxiv
7+阅读 · 2018年12月5日
Zero-Shot Object Detection
Arxiv
9+阅读 · 2018年7月27日
Arxiv
7+阅读 · 2018年3月19日
Top
微信扫码咨询专知VIP会员