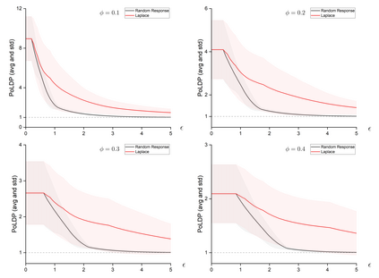
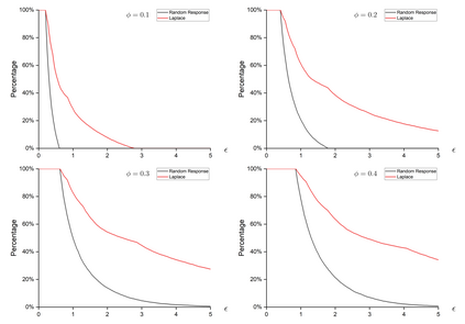
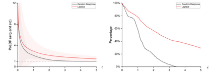
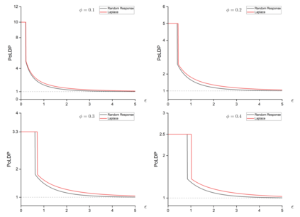
The resilience of a voting system has been a central topic in computational social choice. Many voting rules, like plurality, are shown to be vulnerable as the attacker can target specific voters to manipulate the result. What if a local differential privacy (LDP) mechanism is adopted such that the true preference of a voter is never revealed in pre-election polls? In this case, the attacker can only infer stochastic information about a voter's true preference, and this may cause the manipulation of the electoral result significantly harder. The goal of this paper is to provide a quantitative study on the effect of adopting LDP mechanisms on a voting system. We introduce the metric PoLDP (power of LDP) that quantitatively measures the difference between the attacker's manipulation cost under LDP mechanisms and that without LDP mechanisms. The larger PoLDP is, the more robustness LDP mechanisms can add to a voting system. We give a full characterization of PoLDP for the voting system with plurality rule and provide general guidance towards the application of LDP mechanisms.


翻译:投票制度的弹性一直是计算社会选择的中心议题。许多投票规则,如多元性,都显示是脆弱的,因为攻击者可以针对特定选民操纵选举结果。如果采用地方差异隐私机制,使选民的真正偏好在选举前的民意测验中永远无法暴露出来?在这种情况下,攻击者只能推断选民真正偏好的真实偏好,这可能导致对选举结果的操纵更大程度。本文的目的是对采用地方民主党机制对投票制度的影响进行定量研究。我们引入了衡量攻击者在地方民主党机制下操纵成本与没有地方民主党机制之间的差别的POLDP(LDP的力量)指标。更大的POLDP是,更强大的地方民主党机制可以增加投票制度。我们用多元性规则充分描述投票制度的POLDP,并为应用地方民主党机制提供总体指导。

0
下载
关闭预览

相关内容

《计算机信息》杂志发表高质量的论文,扩大了运筹学和计算的范围,寻求有关理论、方法、实验、系统和应用方面的原创研究论文、新颖的调查和教程论文,以及描述新的和有用的软件工具的论文。官网链接:https://pubsonline.informs.org/journal/ijoc
因果图,Causal Graphs,52页ppt
专知会员服务
252+阅读 · 2020年4月19日
强化学习最新教程,17页pdf
专知会员服务
182+阅读 · 2019年10月11日
【哈佛大学商学院课程Fall 2019】机器学习可解释性
专知会员服务
105+阅读 · 2019年10月9日
IEEE ICKG 2022: Call for Papers
机器学习与推荐算法
3+阅读 · 2022年3月30日
ACM MM 2022 Call for Papers
CCF多媒体专委会
5+阅读 · 2022年3月29日
ACM TOMM Call for Papers
CCF多媒体专委会
2+阅读 · 2022年3月23日
AIART 2022 Call for Papers
CCF多媒体专委会
1+阅读 · 2022年2月13日
Call for Nominations: 2022 Multimedia Prize Paper Award
CCF多媒体专委会
0+阅读 · 2022年2月12日
【ICIG2021】Latest News & Announcements of the Workshop
中国图象图形学学会CSIG
0+阅读 · 2021年12月20日
【ICIG2021】Check out the hot new trailer of ICIG2021 Symposium1
中国图象图形学学会CSIG
0+阅读 · 2021年11月3日
Hierarchically Structured Meta-learning
CreateAMind
27+阅读 · 2019年5月22日
Transferring Knowledge across Learning Processes
CreateAMind
29+阅读 · 2019年5月18日
A Technical Overview of AI & ML in 2018 & Trends for 2019
待字闺中
18+阅读 · 2018年12月24日
国家自然科学基金
0+阅读 · 2015年12月31日
国家自然科学基金
1+阅读 · 2015年12月31日
国家自然科学基金
1+阅读 · 2014年12月31日
国家自然科学基金
0+阅读 · 2013年12月31日
国家自然科学基金
0+阅读 · 2013年12月31日
国家自然科学基金
0+阅读 · 2013年12月31日
国家自然科学基金
1+阅读 · 2012年12月31日
国家自然科学基金
0+阅读 · 2012年12月31日
国家自然科学基金
0+阅读 · 2012年12月31日
国家自然科学基金
1+阅读 · 2009年12月31日
Arxiv
0+阅读 · 2022年6月17日
Arxiv
0+阅读 · 2022年6月17日
Differential Privacy in Multi-Party Resource Sharing
Arxiv
0+阅读 · 2022年6月16日
Arxiv
23+阅读 · 2022年2月4日
VIP会员
相关资讯
IEEE ICKG 2022: Call for Papers
机器学习与推荐算法
3+阅读 · 2022年3月30日
ACM MM 2022 Call for Papers
CCF多媒体专委会
5+阅读 · 2022年3月29日
ACM TOMM Call for Papers
CCF多媒体专委会
2+阅读 · 2022年3月23日
AIART 2022 Call for Papers
CCF多媒体专委会
1+阅读 · 2022年2月13日
Call for Nominations: 2022 Multimedia Prize Paper Award
CCF多媒体专委会
0+阅读 · 2022年2月12日
【ICIG2021】Latest News & Announcements of the Workshop
中国图象图形学学会CSIG
0+阅读 · 2021年12月20日
【ICIG2021】Check out the hot new trailer of ICIG2021 Symposium1
中国图象图形学学会CSIG
0+阅读 · 2021年11月3日
Hierarchically Structured Meta-learning
CreateAMind
27+阅读 · 2019年5月22日
Transferring Knowledge across Learning Processes
CreateAMind
29+阅读 · 2019年5月18日
A Technical Overview of AI & ML in 2018 & Trends for 2019
待字闺中
18+阅读 · 2018年12月24日
相关基金
国家自然科学基金
0+阅读 · 2015年12月31日
国家自然科学基金
1+阅读 · 2015年12月31日
国家自然科学基金
1+阅读 · 2014年12月31日
国家自然科学基金
0+阅读 · 2013年12月31日
国家自然科学基金
0+阅读 · 2013年12月31日
国家自然科学基金
0+阅读 · 2013年12月31日
国家自然科学基金
1+阅读 · 2012年12月31日
国家自然科学基金
0+阅读 · 2012年12月31日
国家自然科学基金
0+阅读 · 2012年12月31日
国家自然科学基金
1+阅读 · 2009年12月31日
Top
微信扫码咨询专知VIP会员