ICLR 2022 | GraphENS:用于类别不平衡节点分类的邻居感知自我网络生成

2022 年 9 月 22 日 PaperWeekly


©作者 |  陈景岩
单位 |  南京大学
研究方向 |  图神经网络


论文标题:

GraphENS: Neighbor-Aware Ego Network Synthesis for Class-Imbalanced Node Classification 

论文链接:

https://openreview.net/forum?id=MXEl7i-iru


这是一篇针对类别不平衡问题的数据生成文章。


Abstract


在不平衡分类任务中,由于 GNN 中的消息传递,相比于过拟合少类节点而言,GNN 会对少类节点的邻居过拟合更加严重(本文的新观点)


针对上述问题作者提出了一种数据生成的方法 GraphENS,其基本步骤是选择一个少类节点 ,和一个其他类的节点 ,根据这两个节点生成一个 节点。同时,根据两个母节点的 ego network 之间的相似性为 节点设计一种邻居采样方法。

本文的主要贡献有:

  • 展示并说明了 GNN 会对少类节点的邻居出现严重的过拟合,这种现象称为 neighbor memorization。少类节点越少,这种现象就越严重。

  • 根据两个母节点的 ego network 为新节点生成邻居,缓解了 neighbor memorization。此外在 的生成过程中,根据节点特征的显著性防止了有害的特征注入到
  • 在不平衡的数据集上做实验,效果超过了许多 baselines。



Neighbor Memorization

本节作者展示了 Neighbor Memorization,通过实验说明了 GNN 对邻居的过拟合要比对少类节点本身的过拟合更严重。


1.1 Overfitting to minor classes


作者首先研究了对少类节点本身的过拟合问题,在数据集 PubMed 上构造了不平衡率为 100 的数据(多类/少类 = 100),采用两层 256-dim 的 GraphSAGE 训练了 2000 个 epoch,得到了以下结果:



实线是少类样本的 Acc,虚线是整体的 Acc。对比 Train 和 Test 可以看出,现有针对不平衡的方法对少样本有严重的过拟合问题,而 GraphENS 对此有缓解。


下一节作者将验证这到底是因为 GNN 对少类节点本身的特征过拟合,还是对其邻居结点过拟合。


1.2 Neighbor memorization problem


作者在此采用了两组置换实验对比验证。


1.2.1 Node replacing experiment


▲ Seen节点来自训练集,Unseen节点来自测试集

作者首先在训练集中选择一个替换节点 ,再分别在训练集和测试集中采样节点 、 作为提供特征的节点。将二者的特征分别换给 ,并统计其分类准确度。 提供的特征作为对照组。

这个实验相当于把不同的特征换到相同的邻居环境下,看看在邻居结构不变的情况下,改变中心节点的特征对分类效果的影响。


1.2.2 Node replacing experiment



这里的采样和 1 中类似,但这里是把一个节点分别换到了两个邻居结构中,再统计节点的分类效果。换到 的邻居中作为对照组。

这个实验相当于把一个节点换到不同的邻居环境下,看在节点本身特征不变的情况下,改变邻居环境对分类效果的影响。

上述两个实验结果为:

▲ RW:re-weight,OS:over sampling

对比两张图相同位置下的红色柱可以发现,更换邻居环境后,分类效果比更换节点特征差很多。由此作者论证了 neighbor memorization 对分类效果的影响。




GraphENS


GraohENS 包括两部分:
  • 选择两个母节点 ,用于后续的节点 的生成和邻居选择;
  • 根据两个母节点的 ego network 相似性,为 生成邻居采样概率,并进行邻居采样;
  • 根据节点的特征显著性,为 进行特征生成。


2.1 Neighbor Sampling


这一步是从两个母节点的邻居中,根据 ego network 的相似性为邻居结点生成一个采样概率,并通过采样确定 的邻居节点。ego network 就是指节点和一阶邻居组成的小网络。


首先,构造两个母节点的 Logits:



随后,根据两个节点的 KL 散度衡量两个 ego network 的相似度:



最后为每个节点生成一个采样概率:



这里的   注意到 ,因此 。也就是 的邻居节点不会太靠近 同时 随 KL 散度增大而增大,也就是如果 的邻居差距越大,采样的邻居越靠近


邻居节点的采样数量由图中节点度数的分布决定(比如统计均值),以保证节点度数的稳定。


2.2 Saliency-based Node Mixing


本节作者构建了一个基于特征显著性的节点混合策略,用于生成


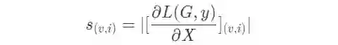
Feature Saliency

在此,作者通过损失函数的反向传播确定特征的显著性,具体而言对于节点 v,其第 i 维特征的显著性为:



一个直观的解释是,损失对 X 的偏导刻画了变量的轻微变化对损失的影响大小,因此如果数值越大,则认为该特征越具有显著性。节点 v 的显著性向量为:

Node mixup



其中 ,是一个超参数。 ,是一个 mask vector,用于抹去 里 K% 的特征(设置为 0)。其中 k 是超参数:



哪些位置被抹去,由一个概率分布 决定。按照这个概率采样,将 K% 的位置抹去为 0。


注意这里,节点混合的出发点是,我们想生成靠近少样本的数据点(解决不平衡),同时添加适当的噪音。因此 如果 差距较大,应该多保留 的特征。同时对于 里较为显著的特征(较强的噪音),也应该抹去(越显著,其被采样的概率越大)



Experiments




  • w/o PS:把邻居相似度用随机值代替
  • w/o SM:去掉节点特征显著性,置  
  • w/o SM,NS:去掉节点特征显著性,同时把 的邻居置为和 相同
接下来作者对比了 来自于所有类,以及只来自于一类的实验效果:



实验表明从所有类中随机选择更有利于模型效果。

类别的选择依据概率分布 ,选择一类后,等概率从类别中随机选择一个节点作为

Whole Algorithm




更多阅读



#投 稿 通 道#

 让你的文字被更多人看到 



如何才能让更多的优质内容以更短路径到达读者群体,缩短读者寻找优质内容的成本呢?答案就是:你不认识的人。


总有一些你不认识的人,知道你想知道的东西。PaperWeekly 或许可以成为一座桥梁,促使不同背景、不同方向的学者和学术灵感相互碰撞,迸发出更多的可能性。 


PaperWeekly 鼓励高校实验室或个人,在我们的平台上分享各类优质内容,可以是最新论文解读,也可以是学术热点剖析科研心得竞赛经验讲解等。我们的目的只有一个,让知识真正流动起来。


📝 稿件基本要求:

• 文章确系个人原创作品,未曾在公开渠道发表,如为其他平台已发表或待发表的文章,请明确标注 

• 稿件建议以 markdown 格式撰写,文中配图以附件形式发送,要求图片清晰,无版权问题

• PaperWeekly 尊重原作者署名权,并将为每篇被采纳的原创首发稿件,提供业内具有竞争力稿酬,具体依据文章阅读量和文章质量阶梯制结算


📬 投稿通道:

• 投稿邮箱:hr@paperweekly.site 

• 来稿请备注即时联系方式(微信),以便我们在稿件选用的第一时间联系作者

• 您也可以直接添加小编微信(pwbot02)快速投稿,备注:姓名-投稿


△长按添加PaperWeekly小编




🔍

现在,在「知乎」也能找到我们了
进入知乎首页搜索「PaperWeekly」
点击「关注」订阅我们的专栏吧
·
·

登录查看更多
0

相关内容

【AAAI2021-斯坦福】身份感知的图神经网络
专知会员服务
39+阅读 · 2021年1月27日
【KDD2020】TAdaNet: 用于图增强元学习的任务自适应网络
专知会员服务
18+阅读 · 2020年9月21日
【KDD2020】最小方差采样用于图神经网络的快速训练
专知会员服务
28+阅读 · 2020年7月13日
GNN如何利用图上的边信息?
图与推荐
2+阅读 · 2021年11月14日
论文浅尝 | 融合多层次领域知识的分子图对比学习
开放知识图谱
2+阅读 · 2021年8月15日
论文浅尝 | 基于置信度的知识图谱表示学习框架
开放知识图谱
24+阅读 · 2018年2月27日
国家自然科学基金
0+阅读 · 2015年12月31日
国家自然科学基金
0+阅读 · 2015年12月31日
国家自然科学基金
0+阅读 · 2015年12月31日
国家自然科学基金
0+阅读 · 2013年12月31日
国家自然科学基金
0+阅读 · 2008年12月31日
Arxiv
13+阅读 · 2019年11月14日
Arxiv
14+阅读 · 2019年9月11日
VIP会员
相关VIP内容
【AAAI2021-斯坦福】身份感知的图神经网络
专知会员服务
39+阅读 · 2021年1月27日
【KDD2020】TAdaNet: 用于图增强元学习的任务自适应网络
专知会员服务
18+阅读 · 2020年9月21日
【KDD2020】最小方差采样用于图神经网络的快速训练
专知会员服务
28+阅读 · 2020年7月13日
相关资讯
GNN如何利用图上的边信息?
图与推荐
2+阅读 · 2021年11月14日
论文浅尝 | 融合多层次领域知识的分子图对比学习
开放知识图谱
2+阅读 · 2021年8月15日
论文浅尝 | 基于置信度的知识图谱表示学习框架
开放知识图谱
24+阅读 · 2018年2月27日
相关基金
国家自然科学基金
0+阅读 · 2015年12月31日
国家自然科学基金
0+阅读 · 2015年12月31日
国家自然科学基金
0+阅读 · 2015年12月31日
国家自然科学基金
0+阅读 · 2013年12月31日
国家自然科学基金
0+阅读 · 2008年12月31日
Top
微信扫码咨询专知VIP会员