10大反直觉的数学结论

2017 年 11 月 3 日 算法与数学之美

我是谁?

我在哪?


反直觉的事实有时候甚至骗过了最好的数学家。有些数学结论,往往会跟我们生活中的经验背道而驰。



今天,超模君就来跟大家讲讲10个反直觉的数学结论吧。



1


生日悖论


假设房间里有23人,那么两个人生日是同天的概率将大于50%。我们很容易得出,任何一个特定的日子里某人过生日的概率是1/365。


所以这个理论看似是无法成立,但理论与现实差异正源自于:我们的唯一要求是两个人彼此拥有同一天生日即可,不限定在特定的一天。


否则,如果换做某人在某特定日期生日,例如2月19日,那么23个人中概率便仅为6.12%。


另一方面如果你在有23个人的房间挑选一人问他:“有人和你同一天生日吗?”答案很可能是否定的。


但如果重复询问其余22人,每问一次,你便会有更大机会得到肯定答复,最终这个概率是50.7%。




2


巴拿赫-塔尔斯基悖论


这一定理指出在选择公理成立的情况下可以将一个三维实心球分成有限(不勒贝格可测的)部分,然后仅仅通过旋转和平移到其他地方重新组合,就可以组成两个半径和原来相同的完整的球。


巴拿赫和塔斯基提出这一定理原意是想拒绝选择公理,但该证明很自然,因此数学家认为这仅意味着选择公理可以导致少数令人惊讶和反直觉的结果。并且它被许多数学家视作数学中最为反常的一个结果。


在现实生活中我们没有任何办法能将一个物体凭空复制成两个。但事实上他却是成立的,这个结果似乎挑战了物理中的质量守恒定律,但似乎又是在说一个物体的质量可以凭空变为原来的两倍?


但如若原质量是无限的话,翻倍后还是无限大,那么从这一层面出发来看这一理论也并没有打破物理法则。



3


蒙提霍尔问题


三门问题亦称为蒙提霍尔问题,大致出自美国的电视游戏节目Let's Make a Deal。问题名字来自该节目的主持人蒙提·霍尔。


参赛者会看见三扇关闭了的门,其中一扇的后面有一辆汽车,选中后面有车的那扇门可赢得该汽车,另外两扇门后面则各藏有一只山羊。


当参赛者选定了一扇门,但未去开启它的时候,节目主持人开启剩下两扇门的其中一扇,露出其中一只山羊。主持人其后会问参赛者要不要换另一扇仍然关上的门。


问题是:换另一扇门会否增加参赛者赢得汽车的机会率?


如果严格按照上述的条件,即主持人清楚地知道,哪扇门后是羊,那么答案是会。不换门的话,赢得汽车的几率是1/3。换门的话,赢得汽车的几率是2/3。



这个问题亦被叫做蒙提霍尔悖论:虽然该问题的答案在逻辑上并不自相矛盾,但十分违反直觉。这问题曾引起一阵热烈的讨论。


曾经问过很多人,几乎所有人都没有答对,换门的这一答案实在是太过反常识!


关于第一个解答这个问题的女士的经历也十分耐人寻味:

关于蒙提霍尔问题,玛丽莲·沃斯·莎凡特在她专栏的回答是改选会更有优势,这在美国引起了激烈的争议:人们寄来了数千封抱怨信,很多寄信人是科学老师或学者。一位来自佛罗里达大学的读者写道:“这个国家已经有够多的数学文盲了,我们不想再有个世界上智商最高的人来充数!真让人羞愧!”另一个人写道:“我看你就是那只山羊!”


美国陆军研究所(US Army Research Institute)的埃弗雷特·哈曼(Everett Harman)写道,“如果连博士都要出错,我看这个国家马上要陷入严重的麻烦了。”但是莎凡特并没有错。最后她用整整4个专栏,数百个新闻故事及在小学生课堂模拟的测验来说服她的读者她是正确的。游戏秀的调查数据显示,那些改选的参赛选手赢的几率是那些没有改选的人的两倍,这证实了莎凡特在其第三篇专栏中的解释。


这一课告诉了我们,不要轻信自己的直觉。


4


巴塞尔问题


将自然数各自平方取倒数加在一起等于π²/6。



一般人都会觉得,左边这一坨自然数似乎和π(圆的周长与直径的比值)不会存在任何联系!然而它就这么发生了!



5


阿贝尔不可解定理


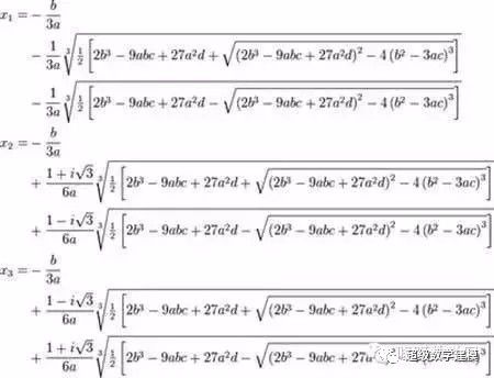
我们在中学都学过二次方程,也学过应该怎么解次数为2的多项式方程 ax² + bx + c = 0。



但在16世纪,数学家解出了一元三次方程,即ax³ + bx² + cx + d = 0。当然它对应的求根公式稍稍复杂:


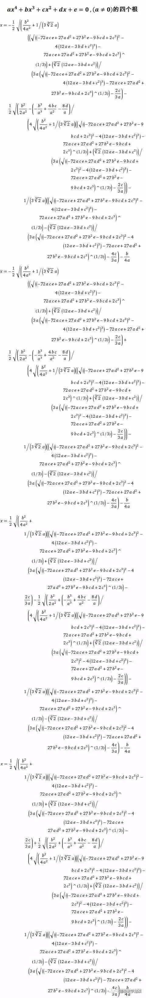
看到这里你应该庆幸中学课本并没有要求你掌握这个,让我们再看看求一元四次方程的求根公式,这可更是不得了了:



好吧,反正小编是直接下拉,一个字都读不进去了。放心,小编不会再继续向你们展示之后的求根公式了。


因为一元五次及以上方程的求根公式并不存在!这里指的并不是至今还没有找到它们的求根公式,而是数学家确确实实的证明了它们并不存在。



6


有不同层次的无穷大


你可能从来想象不到,有一些无穷大比其他的无穷更大。无穷大应该被称为基数,并且一个无穷大如果比另一个无穷大拥有更大的基数,则说它比另一个无穷大要大。(无穷大的基数总是大于任何一个自然数的基数)




还有许多关于无穷大的基数大大出乎我们的意料。举一个非常经典的例子:整数比奇数多吗?你可能会毫不犹豫的回答,那是当然!


因为整数多出了一系列的偶数。但答案是否定的,他们拥有相同的基数,因而整数并不比奇数多。知道了这个道理,就不难回答这个问题了吧:有理数多于整数吗?不,有理数与整数相同多。


然而康托发现事实上上实数比有理数还要多。实数通常被认为是连续统,并且至今并能完全知道,是否有介于整数基数和连续统基数的无穷大?这个猜想被称为连续统猜想



7


哥德尔不完备定理


我们证明了有一些东西是不能被证明的。

它的逻辑是这样的:


(1) 任何一个足够强的系统都存在一个命题,既不能被证明也不能被证伪(例如连续统假设)


(2) 任何一个足够强的系统都不能证明它自身是不推出矛盾,即便它不能被推出矛盾



以上两条定义即著名的哥德尔不完备定理。他的意义并不仅仅局限于数学,也给了我们深深地哲学启迪。



8


曼德勃罗集


德勃罗集是一个复数集,考虑函数f(z)=z²+c,c为复常数,在这为参数。


若从z=0开始不断的利用f(z)进行迭代,则凡是使得迭代结果不会跑向无穷大的c组成的集合被称为曼德勃罗集。规则不复杂,但你可能没预料到会得到这么复杂的图像。



当你放大曼德勃罗集时,你会又发现无限个小的曼德勃罗集,其中每个又亦是如此...(这种性质是分形所特有的)



这真的很契合那句俗话“大中有大,小中有小”,下面有一个关于放大他的视频,我想这绝对令人兴奋不已。


如果你看了这些视频后仍然不觉得这些纯数学令人感到惊讶,那我也不知说什么好了。




9


 “加百列的号角”与油漆匠悖论


了解微积分的学生或许熟悉,“加百列的号角”是一个体积有限表面积无穷大的物体(用微积分的知识可以清晰地发现这一点)。



而它若在现实中,如果试着去漆上它,则会导致一些问题。油漆匠佯谬是说,我们可以填满这个号角(体积有限),但是却不可能完完全全的漆上它(表面积无限)


“科赫雪花”是一种奇特的形状,与上例类似,它具有有限面积无限周长。事实上,第二个提到的曼德勃罗集也具有一样的性质!




10


费马大定理


毕达哥拉斯定理声称,对于任何一个直角三角形,都有a²+b²=c²。现在假定这些变量都是正整数。那么显然有解a=3,b=4,c=5,但是a=1.5,b=2,c=2.5 就不对了,即便它也使得等式成立。可以发现,显然有无穷多对使得a,b,c都是整数的解。



但如果我们进一步考虑下面的问题呢,有多少对正整数解满足 a³+b³=c³?


答案是没有。就算再把指数3换成5也如出一辙,也无解。


事实上,费马大定理称,任何指数大于2的上述等式,没有任何一组正整数。


这个著名的问题在1637年作为猜想提出,花费了将近四个世纪才被解决,最终被安德鲁怀尔斯于1995年解决。



部分资料来源于网络


-----------


等的就是你,真的超有趣!高能金融抱团群发车啦~
加我拉你进群呦

算法数学之美微信公众号欢迎赐稿

稿件涉及数学、物理、算法、计算机、编程等相关领域。

稿件一经采用,我们将奉上稿酬。

投稿邮箱:math_alg@163.com
商务合作:联系微信号hengzi5809

登录查看更多
0

相关内容

数学是关于数量、结构、变化等主题的探索。
最新《机器学习理论初探》概述
专知会员服务
48+阅读 · 2020年5月19日
【经典书】机器学习高斯过程,266页pdf
专知会员服务
200+阅读 · 2020年5月2日
【MIT】Yufei Zhao《图论与加法组合学》,177页pdf
专知会员服务
51+阅读 · 2020年4月27日
机器学习速查手册,135页pdf
专知会员服务
345+阅读 · 2020年3月15日
麻省理工学院MIT-ICLR2020《神经网络能推断出什么?》
专知会员服务
51+阅读 · 2020年2月19日
【机器学习课程】Google机器学习速成课程
专知会员服务
170+阅读 · 2019年12月2日
BAT机器学习面试1000题(721~725题)
七月在线实验室
11+阅读 · 2018年12月18日
BAT机器学习面试1000题(716~720题)
七月在线实验室
19+阅读 · 2018年12月17日
深度学习面试100题(第56-60题)
七月在线实验室
9+阅读 · 2018年7月23日
数据科学家需要了解的5种聚类算法
论智
5+阅读 · 2018年4月7日
面试整理:关于代价函数,正则化
数据挖掘入门与实战
8+阅读 · 2018年3月29日
有没有必要把机器学习算法自己实现一遍?
AI研习社
12+阅读 · 2017年11月27日
BAT题库 | 机器学习面试1000题系列(第161~165题)
七月在线实验室
7+阅读 · 2017年11月6日
AI都干过什么让人细思极恐的事?
全球创新论坛
4+阅读 · 2017年9月15日
Compositional Generalization in Image Captioning
Arxiv
3+阅读 · 2019年9月16日
Arxiv
9+阅读 · 2018年10月24日
Arxiv
23+阅读 · 2018年10月1日
Arxiv
6+阅读 · 2018年8月27日
Relational Deep Reinforcement Learning
Arxiv
10+阅读 · 2018年6月28日
Arxiv
3+阅读 · 2018年4月3日
VIP会员
相关VIP内容
最新《机器学习理论初探》概述
专知会员服务
48+阅读 · 2020年5月19日
【经典书】机器学习高斯过程,266页pdf
专知会员服务
200+阅读 · 2020年5月2日
【MIT】Yufei Zhao《图论与加法组合学》,177页pdf
专知会员服务
51+阅读 · 2020年4月27日
机器学习速查手册,135页pdf
专知会员服务
345+阅读 · 2020年3月15日
麻省理工学院MIT-ICLR2020《神经网络能推断出什么?》
专知会员服务
51+阅读 · 2020年2月19日
【机器学习课程】Google机器学习速成课程
专知会员服务
170+阅读 · 2019年12月2日
相关资讯
BAT机器学习面试1000题(721~725题)
七月在线实验室
11+阅读 · 2018年12月18日
BAT机器学习面试1000题(716~720题)
七月在线实验室
19+阅读 · 2018年12月17日
深度学习面试100题(第56-60题)
七月在线实验室
9+阅读 · 2018年7月23日
数据科学家需要了解的5种聚类算法
论智
5+阅读 · 2018年4月7日
面试整理:关于代价函数,正则化
数据挖掘入门与实战
8+阅读 · 2018年3月29日
有没有必要把机器学习算法自己实现一遍?
AI研习社
12+阅读 · 2017年11月27日
BAT题库 | 机器学习面试1000题系列(第161~165题)
七月在线实验室
7+阅读 · 2017年11月6日
AI都干过什么让人细思极恐的事?
全球创新论坛
4+阅读 · 2017年9月15日
Top
微信扫码咨询专知VIP会员