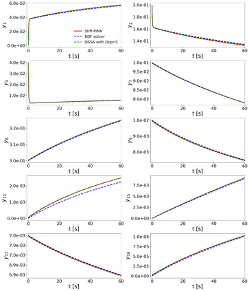
Recently developed physics-informed neural network (PINN) has achieved success in many science and engineering disciplines by encoding physics laws into the loss functions of the neural network, such that the network not only conforms to the measurements, initial and boundary conditions but also satisfies the governing equations. This work first investigates the performance of PINN in solving stiff chemical kinetic problems with governing equations of stiff ordinary differential equations (ODEs). The results elucidate the challenges of utilizing PINN in stiff ODE systems. Consequently, we employ Quasi-Steady-State-Assumptions (QSSA) to reduce the stiffness of the ODE systems, and the PINN then can be successfully applied to the converted non/mild-stiff systems. Therefore, the results suggest that stiffness could be the major reason for the failure of the regular PINN in the studied stiff chemical kinetic systems. The developed Stiff-PINN approach that utilizes QSSA to enable PINN to solve stiff chemical kinetics shall open the possibility of applying PINN to various reaction-diffusion systems involving stiff dynamics.


翻译:最近开发的物理知情神经网络(PINN)在许多科学和工程学科中取得了成功,将物理法编码为神经网络的损失功能,使网络不仅符合测量、初始和边界条件,而且符合治理方程式。这项工作首先调查了PINN在解决硬性普通差异方程式等式治理的硬性化学动能问题方面的表现。结果阐明了在硬性ODE系统中使用PINN的挑战。因此,我们采用Qasi-Steady- State-Ampations(QSSA)来减少ODE系统的僵硬性,然后PINN可以成功地应用于转换的非/mild-stiff系统。因此,结果显示,硬性硬性PINN在研究的硬性化学动能系统中失败的主要原因可能是常规的PINN。已经开发的Stiff-PINN方法,利用QSSA来帮助PINN解决硬性化学动能,将PINN应用于各种具有僵硬动态的反射系统。

1
下载
关闭预览

相关内容

神经网络(Neural Networks)是世界上三个最古老的神经建模学会的档案期刊:国际神经网络学会(INNS)、欧洲神经网络学会(ENNS)和日本神经网络学会(JNNS)。神经网络提供了一个论坛,以发展和培育一个国际社会的学者和实践者感兴趣的所有方面的神经网络和相关方法的计算智能。神经网络欢迎高质量论文的提交,有助于全面的神经网络研究,从行为和大脑建模,学习算法,通过数学和计算分析,系统的工程和技术应用,大量使用神经网络的概念和技术。这一独特而广泛的范围促进了生物和技术研究之间的思想交流,并有助于促进对生物启发的计算智能感兴趣的跨学科社区的发展。因此,神经网络编委会代表的专家领域包括心理学,神经生物学,计算机科学,工程,数学,物理。该杂志发表文章、信件和评论以及给编辑的信件、社论、时事、软件调查和专利信息。文章发表在五个部分之一:认知科学,神经科学,学习系统,数学和计算分析、工程和应用。 官网地址:http://dblp.uni-trier.de/db/journals/nn/
开源书:PyTorch深度学习起步
专知会员服务
51+阅读 · 2019年10月11日
【哈佛大学商学院课程Fall 2019】机器学习可解释性
专知会员服务
105+阅读 · 2019年10月9日
【SIGGRAPH2019】TensorFlow 2.0深度学习计算机图形学应用
专知会员服务
41+阅读 · 2019年10月9日
Nature 一周论文导读 | 2019 年 8 月 1 日
科研圈
8+阅读 · 2019年8月11日
LibRec 精选:从0开始构建RNN网络
LibRec智能推荐
5+阅读 · 2019年5月31日
Hierarchically Structured Meta-learning
CreateAMind
27+阅读 · 2019年5月22日
Transferring Knowledge across Learning Processes
CreateAMind
29+阅读 · 2019年5月18日
Unsupervised Learning via Meta-Learning
CreateAMind
43+阅读 · 2019年1月3日
A Technical Overview of AI & ML in 2018 & Trends for 2019
待字闺中
18+阅读 · 2018年12月24日
Adversarial Variational Bayes: Unifying VAE and GAN 代码
CreateAMind
7+阅读 · 2017年10月4日
【推荐】RNN/LSTM时序预测
机器学习研究会
25+阅读 · 2017年9月8日
Arxiv
0+阅读 · 2021年10月15日
Arxiv
0+阅读 · 2021年10月13日
VIP会员
相关资讯
Nature 一周论文导读 | 2019 年 8 月 1 日
科研圈
8+阅读 · 2019年8月11日
LibRec 精选:从0开始构建RNN网络
LibRec智能推荐
5+阅读 · 2019年5月31日
Hierarchically Structured Meta-learning
CreateAMind
27+阅读 · 2019年5月22日
Transferring Knowledge across Learning Processes
CreateAMind
29+阅读 · 2019年5月18日
Unsupervised Learning via Meta-Learning
CreateAMind
43+阅读 · 2019年1月3日
A Technical Overview of AI & ML in 2018 & Trends for 2019
待字闺中
18+阅读 · 2018年12月24日
Adversarial Variational Bayes: Unifying VAE and GAN 代码
CreateAMind
7+阅读 · 2017年10月4日
【推荐】RNN/LSTM时序预测
机器学习研究会
25+阅读 · 2017年9月8日
Top
微信扫码咨询专知VIP会员