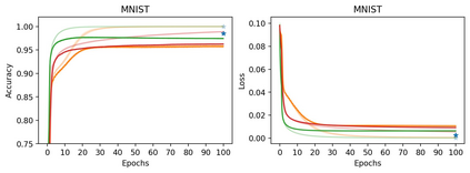
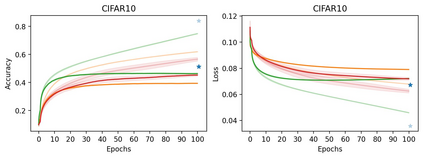
Learning in biological and artificial neural networks is often framed as a problem in which targeted error signals are used to directly guide parameter updating for more optimal network behaviour. Backpropagation of error (BP) is an example of such an approach and has proven to be a highly successful application of stochastic gradient descent to deep neural networks. However, BP relies on the transmission of gradient information directly to parameters, and frames learning as two completely separated passes. We propose constrained parameter inference (COPI) as a new principle for learning. The COPI approach to learning proposes that parameters might infer their updates based upon local neuron activities. This estimation of network parameters is possible under the constraints of decorrelated neural inputs and top-down perturbations of neural states, where credit is assigned to units instead of parameters directly. The form of the top-down perturbation determines which credit assignment method is being used, and when aligned with BP it constitutes a mixture of the forward and backward passes. We show that COPI is not only more biologically plausible but also provides distinct advantages for fast learning when compared to BP.


翻译:在生物和人工神经网络中,学习往往被设计成一个问题,在这个问题中,定点错误信号被用来直接指导参数更新,以实现更理想的网络行为。错误的反向分析(BP)是这种方法的一个实例,并且证明是向深神经网络高度成功地应用了随机梯度梯度梯度梯度下移;然而,BP依靠将梯度信息直接传送到参数,并将学习框架作为两个完全分离的通道进行。我们提议将受限参数推导作为新的学习原则。COPI的学习方法提议,参数可以根据当地神经活动推断出其更新。这种网络参数的估算是在与神经相关的神经输入和神经状态自上而下的自上而下扰动的制约下推力下推力下推力下推力下推力下推力下推力,将信用直接分配给单位而不是参数。自上而下的扰动作用决定了使用哪种信用分配方法,当与BP相匹配时,它构成前向和后向通道的混合物。我们表明,COPI不仅在生物学上更合理,而且还为与BP相比的快速学习提供了明显的优势。

0
下载
关闭预览

相关内容

不可错过!《机器学习100讲》课程,UBC Mark Schmidt讲授
专知会员服务
76+阅读 · 2022年6月28日
【哈佛大学商学院课程Fall 2019】机器学习可解释性
专知会员服务
105+阅读 · 2019年10月9日
VCIP 2022 Call for Demos
CCF多媒体专委会
1+阅读 · 2022年6月6日
VCIP 2022 Call for Special Session Proposals
CCF多媒体专委会
1+阅读 · 2022年4月1日
ACM MM 2022 Call for Papers
CCF多媒体专委会
5+阅读 · 2022年3月29日
AIART 2022 Call for Papers
CCF多媒体专委会
1+阅读 · 2022年2月13日
【ICIG2021】Check out the hot new trailer of ICIG2021 Symposium1
中国图象图形学学会CSIG
0+阅读 · 2021年11月3日
Hierarchically Structured Meta-learning
CreateAMind
27+阅读 · 2019年5月22日
Transferring Knowledge across Learning Processes
CreateAMind
29+阅读 · 2019年5月18日
Unsupervised Learning via Meta-Learning
CreateAMind
43+阅读 · 2019年1月3日
A Technical Overview of AI & ML in 2018 & Trends for 2019
待字闺中
18+阅读 · 2018年12月24日
【论文】变分推断(Variational inference)的总结
机器学习研究会
39+阅读 · 2017年11月16日
国家自然科学基金
0+阅读 · 2014年12月31日
国家自然科学基金
1+阅读 · 2014年12月31日
国家自然科学基金
0+阅读 · 2013年12月31日
国家自然科学基金
0+阅读 · 2013年12月31日
国家自然科学基金
0+阅读 · 2012年12月31日
国家自然科学基金
0+阅读 · 2011年12月31日
国家自然科学基金
0+阅读 · 2009年12月31日
国家自然科学基金
0+阅读 · 2008年12月31日
Arxiv
0+阅读 · 2022年7月17日
Arxiv
66+阅读 · 2021年6月18日
Arxiv
94+阅读 · 2021年5月17日
Arxiv
18+阅读 · 2019年1月16日
Arxiv
10+阅读 · 2017年7月4日
VIP会员
相关资讯
VCIP 2022 Call for Demos
CCF多媒体专委会
1+阅读 · 2022年6月6日
VCIP 2022 Call for Special Session Proposals
CCF多媒体专委会
1+阅读 · 2022年4月1日
ACM MM 2022 Call for Papers
CCF多媒体专委会
5+阅读 · 2022年3月29日
AIART 2022 Call for Papers
CCF多媒体专委会
1+阅读 · 2022年2月13日
【ICIG2021】Check out the hot new trailer of ICIG2021 Symposium1
中国图象图形学学会CSIG
0+阅读 · 2021年11月3日
Hierarchically Structured Meta-learning
CreateAMind
27+阅读 · 2019年5月22日
Transferring Knowledge across Learning Processes
CreateAMind
29+阅读 · 2019年5月18日
Unsupervised Learning via Meta-Learning
CreateAMind
43+阅读 · 2019年1月3日
A Technical Overview of AI & ML in 2018 & Trends for 2019
待字闺中
18+阅读 · 2018年12月24日
【论文】变分推断(Variational inference)的总结
机器学习研究会
39+阅读 · 2017年11月16日
相关基金
国家自然科学基金
0+阅读 · 2014年12月31日
国家自然科学基金
1+阅读 · 2014年12月31日
国家自然科学基金
0+阅读 · 2013年12月31日
国家自然科学基金
0+阅读 · 2013年12月31日
国家自然科学基金
0+阅读 · 2012年12月31日
国家自然科学基金
0+阅读 · 2011年12月31日
国家自然科学基金
0+阅读 · 2009年12月31日
国家自然科学基金
0+阅读 · 2008年12月31日
Top
微信扫码咨询专知VIP会员