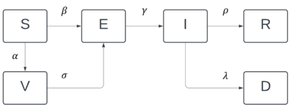
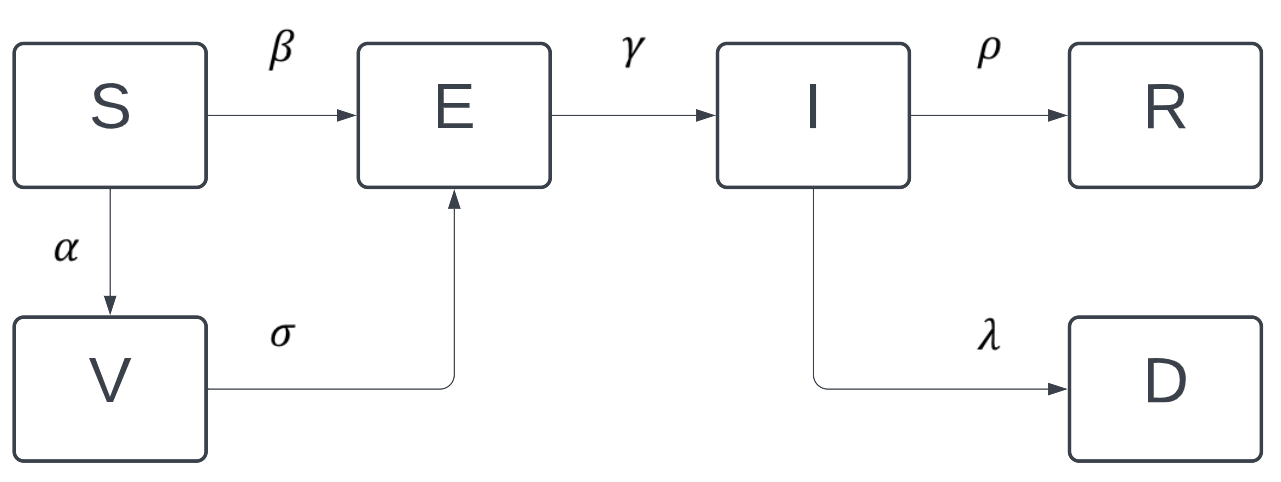
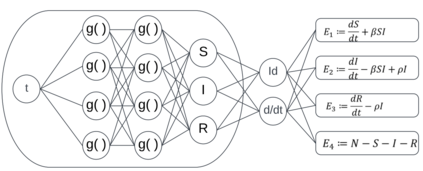
COVID-19 pandemic has had a disruptive and irreversible impact globally, yet traditional epidemiological modeling approaches such as the susceptible-infected-recovered (SIR) model have exhibited limited effectiveness in forecasting of the up-to-date pandemic situation. In this work, susceptible-vaccinated-exposed-infected-dead-recovered (SVEIDR) model and its variants -- aged and vaccination-structured SVEIDR models -- are introduced to encode the effect of social contact for different age groups and vaccination status. Then, we implement the physics-informed neural network (PiNN) on both simulated and real-world data. The PiNN model enables robust analysis of the dynamic spread, prediction, and parameter optimization of the COVID-19 compartmental models. The models exhibit relative root mean square error (RRMSE) of <4\% for all components and provide incubation, death, and recovery rates of $\gamma= 0.0224$, $\lambda=0.0002$, and $\rho=0.0082$, respectively, for the first 310 days of the epidemic in the US. To further improve the model performance, temporally varying parameters can be included, such as vaccination, transmission, and incubation rates. Our implementation highlights PiNN as a reliable candidate approach for forecasting real-world data and can be applied to other compartmental model variants of interest.


翻译:COVID-19大流行已经在全球产生了破坏性和不可逆转的影响,然而传统的流行病学模型方法,如易感感染恢复模式(SIR),在预测最新流行病情况方面成效有限,在这项工作中,采用易感疫苗接种受感染死复发模式(SVEIDR)模式及其变体 -- -- 年龄和疫苗接种结构的SVEIDR模式 -- -- 将社会接触对不同年龄组和疫苗接种状况的影响编码起来。然后,我们在模拟数据和实际世界数据方面实施物理知情神经网络(PINN),PINN模型使得能够对COVID-19分包模式的动态传播、预测和参数优化进行有力的分析。这些模型显示所有组成部分的相对根位平均误差(RRMESE)及其变体 -- -- 年龄和疫苗接种结构的变体 -- -- 年龄和疫苗接种结构型模式(Gammam=0.0224美元, 美元=0.0002美元, 美元和美元=0.002美元。对于最初310天的模拟神经网络数据,可以进一步对COVID-19分包模式进行精确分析。

0
下载
关闭预览

相关内容

ACM/IEEE第23届模型驱动工程语言和系统国际会议,是模型驱动软件和系统工程的首要会议系列,由ACM-SIGSOFT和IEEE-TCSE支持组织。自1998年以来,模型涵盖了建模的各个方面,从语言和方法到工具和应用程序。模特的参加者来自不同的背景,包括研究人员、学者、工程师和工业专业人士。MODELS 2019是一个论坛,参与者可以围绕建模和模型驱动的软件和系统交流前沿研究成果和创新实践经验。今年的版本将为建模社区提供进一步推进建模基础的机会,并在网络物理系统、嵌入式系统、社会技术系统、云计算、大数据、机器学习、安全、开源等新兴领域提出建模的创新应用以及可持续性。 官网链接:http://www.modelsconference.org/
强化学习最新教程,17页pdf
专知会员服务
182+阅读 · 2019年10月11日
【哈佛大学商学院课程Fall 2019】机器学习可解释性
专知会员服务
105+阅读 · 2019年10月9日
【SIGGRAPH2019】TensorFlow 2.0深度学习计算机图形学应用
专知会员服务
41+阅读 · 2019年10月9日
VCIP 2022 Call for Demos
CCF多媒体专委会
1+阅读 · 2022年6月6日
征稿 | International Joint Conference on Knowledge Graphs (IJCKG)
开放知识图谱
2+阅读 · 2022年5月20日
VCIP 2022 Call for Special Session Proposals
CCF多媒体专委会
1+阅读 · 2022年4月1日
IEEE ICKG 2022: Call for Papers
机器学习与推荐算法
3+阅读 · 2022年3月30日
ACM MM 2022 Call for Papers
CCF多媒体专委会
5+阅读 · 2022年3月29日
ACM TOMM Call for Papers
CCF多媒体专委会
2+阅读 · 2022年3月23日
AIART 2022 Call for Papers
CCF多媒体专委会
1+阅读 · 2022年2月13日
Hierarchically Structured Meta-learning
CreateAMind
27+阅读 · 2019年5月22日
Transferring Knowledge across Learning Processes
CreateAMind
29+阅读 · 2019年5月18日
Unsupervised Learning via Meta-Learning
CreateAMind
43+阅读 · 2019年1月3日
国家自然科学基金
0+阅读 · 2014年12月31日
国家自然科学基金
0+阅读 · 2014年12月31日
国家自然科学基金
0+阅读 · 2013年12月31日
国家自然科学基金
1+阅读 · 2012年12月31日
国家自然科学基金
0+阅读 · 2012年12月31日
国家自然科学基金
0+阅读 · 2011年12月31日
国家自然科学基金
0+阅读 · 2011年12月31日
国家自然科学基金
0+阅读 · 2009年12月31日
国家自然科学基金
3+阅读 · 2008年12月31日
VIP会员
相关资讯
VCIP 2022 Call for Demos
CCF多媒体专委会
1+阅读 · 2022年6月6日
征稿 | International Joint Conference on Knowledge Graphs (IJCKG)
开放知识图谱
2+阅读 · 2022年5月20日
VCIP 2022 Call for Special Session Proposals
CCF多媒体专委会
1+阅读 · 2022年4月1日
IEEE ICKG 2022: Call for Papers
机器学习与推荐算法
3+阅读 · 2022年3月30日
ACM MM 2022 Call for Papers
CCF多媒体专委会
5+阅读 · 2022年3月29日
ACM TOMM Call for Papers
CCF多媒体专委会
2+阅读 · 2022年3月23日
AIART 2022 Call for Papers
CCF多媒体专委会
1+阅读 · 2022年2月13日
Hierarchically Structured Meta-learning
CreateAMind
27+阅读 · 2019年5月22日
Transferring Knowledge across Learning Processes
CreateAMind
29+阅读 · 2019年5月18日
Unsupervised Learning via Meta-Learning
CreateAMind
43+阅读 · 2019年1月3日
相关基金
国家自然科学基金
0+阅读 · 2014年12月31日
国家自然科学基金
0+阅读 · 2014年12月31日
国家自然科学基金
0+阅读 · 2013年12月31日
国家自然科学基金
1+阅读 · 2012年12月31日
国家自然科学基金
0+阅读 · 2012年12月31日
国家自然科学基金
0+阅读 · 2011年12月31日
国家自然科学基金
0+阅读 · 2011年12月31日
国家自然科学基金
0+阅读 · 2009年12月31日
国家自然科学基金
3+阅读 · 2008年12月31日
Top
微信扫码咨询专知VIP会员