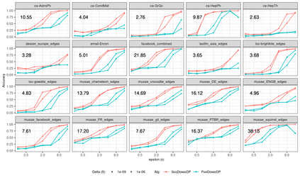
Densest subgraph detection is a fundamental graph mining problem, with a large number of applications. There has been a lot of work on efficient algorithms for finding the densest subgraph in massive networks. However, in many domains, the network is private, and returning a densest subgraph can reveal information about the network. Differential privacy is a powerful framework to handle such settings. We study the densest subgraph problem in the edge privacy model, in which the edges of the graph are private. We present the first sequential and parallel differentially private algorithms for this problem. We show that our algorithms have an additive approximation guarantee. We evaluate our algorithms on a large number of real-world networks, and observe a good privacy-accuracy tradeoff when the network has high density.


翻译:Densest Subgraph 探测是一个基本的图形采矿问题, 有很多应用。 在大规模网络中找到最稠密的子谱的高效算法方面已经做了大量工作。 但是, 在许多领域, 网络是私有的, 返回一个最稠密的子谱可以揭示网络的信息。 不同的隐私是处理这些设置的强大框架。 我们研究边缘隐私模型中最稠密的基底图问题, 即图的边缘是私有的。 我们给出了这个问题的第一个相继和平行的私人算法。 我们展示了我们的算法有一个附加近似保证。 我们评估了大量真实世界网络的算法, 当网络密度高时, 我们观察了良好的隐私- 准确交易 。

1
下载
关闭预览

相关内容

Networking:IFIP International Conferences on Networking。 Explanation:国际网络会议。 Publisher:IFIP。 SIT: http://dblp.uni-trier.de/db/conf/networking/index.html
【SIGGRAPH2019】TensorFlow 2.0深度学习计算机图形学应用
专知会员服务
41+阅读 · 2019年10月9日
LibRec 精选:AutoML for Contextual Bandits
LibRec智能推荐
7+阅读 · 2019年9月19日
Call for Participation: Shared Tasks in NLPCC 2019
中国计算机学会
5+阅读 · 2019年3月22日
人工智能 | UAI 2019等国际会议信息4条
Call4Papers
6+阅读 · 2019年1月14日
Disentangled的假设的探讨
CreateAMind
9+阅读 · 2018年12月10日
disentangled-representation-papers
CreateAMind
26+阅读 · 2018年9月12日
LibRec 精选:连通知识图谱与推荐系统
LibRec智能推荐
3+阅读 · 2018年8月9日
Hierarchical Disentangled Representations
CreateAMind
4+阅读 · 2018年4月15日
神经网络学习率设置
机器学习研究会
4+阅读 · 2018年3月3日
Auto-Encoding GAN
CreateAMind
7+阅读 · 2017年8月4日
Arxiv
6+阅读 · 2020年10月8日
EfficientDet: Scalable and Efficient Object Detection
Arxiv
6+阅读 · 2019年11月20日
VIP会员
相关VIP内容
【SIGGRAPH2019】TensorFlow 2.0深度学习计算机图形学应用
专知会员服务
41+阅读 · 2019年10月9日
相关资讯
LibRec 精选:AutoML for Contextual Bandits
LibRec智能推荐
7+阅读 · 2019年9月19日
Call for Participation: Shared Tasks in NLPCC 2019
中国计算机学会
5+阅读 · 2019年3月22日
人工智能 | UAI 2019等国际会议信息4条
Call4Papers
6+阅读 · 2019年1月14日
Disentangled的假设的探讨
CreateAMind
9+阅读 · 2018年12月10日
disentangled-representation-papers
CreateAMind
26+阅读 · 2018年9月12日
LibRec 精选:连通知识图谱与推荐系统
LibRec智能推荐
3+阅读 · 2018年8月9日
Hierarchical Disentangled Representations
CreateAMind
4+阅读 · 2018年4月15日
神经网络学习率设置
机器学习研究会
4+阅读 · 2018年3月3日
Auto-Encoding GAN
CreateAMind
7+阅读 · 2017年8月4日
Top
微信扫码咨询专知VIP会员