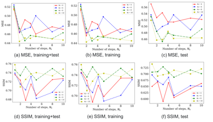
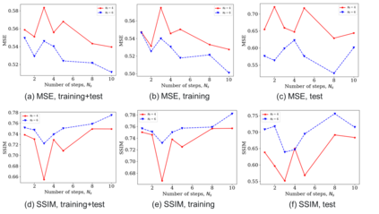
We develop the machine learning capability to predict a time sequence of in-situ transmission electron microscopy (TEM) video frames based on the combined long-short-term-memory (LSTM) algorithm and the features de-entanglement method. We train deep learning models to predict a sequence of future video frames based on the input of a sequence of previous frames. This unique capability provides insight into size dependent structural changes in Au nanoparticles under dynamic reaction condition using in-situ environmental TEM data, informing models of morphological evolution and catalytic properties. The model performance and achieved accuracy of predictions are desirable based on, for scientific data characteristic, based on limited size of training data sets. The model convergence and values for the loss function mean square error show dependence on the training strategy, and structural similarity measure between predicted structure images and ground truth reaches the value of about 0.7. This computed structural similarity is smaller than values obtained when the deep learning architecture is trained using much larger benchmark data sets, it is sufficient to show the structural transition of Au nanoparticles. While performance parameters of our model applied to scientific data fall short of those achieved for the non-scientific big data sets, we demonstrate model ability to predict the evolution, even including the particle structural phase transformation, of Au nano particles as catalyst for CO oxidation under the chemical reaction conditions. Using this approach, it may be possible to anticipate the next steps of a chemical reaction for emerging automated experimentation platforms.


翻译:我们开发了机器学习能力,以根据长期短期综合模拟算法和分角法等特征,预测现场传输电子显微镜(TEM)视频框架的时间序列;我们培训了深层次学习模型,以根据先前框架序列的输入,预测未来视频框架的序列;这一独特能力提供了对在动态反应条件下使用现场环境 TEM 数据在动态反应条件下的Au纳米粒子的大小依赖结构变化的洞察力,为形态进化和催化性特性模型提供信息;模型性能和预测的准确性基于科学数据特征,基于培训数据集的有限规模;损失函数的模型趋同值和数值表示对培训战略的依赖性平方差,预测结构图象和地面真理之间的结构相似度值达到0.7的值;这一计算结构相似性小于在使用大得多的基准数据集进行深层学习架构培训时获得的数值,足以显示Au纳米粒子的结构性演变和催化特性的模型的结构转变。我们下一个模型的性能参数在科学模型中甚至没有达到在模型化进化阶段所实现的化学反应步骤,包括将Ausimal imal imal imalal exal ex ex revial ex reviduction laction laviduction vidudududududududududustrtal vi vi vi viduction la la la lavi la la la la la la la la la la la la la la la la la la lade la la la la la la la la la la la la la la la la la la la la la la la la la la la la la la la la la la la la la la la la la la la la la la la la la la la la la la la la la la la la la la la la la la la la la la la la la la la la la la la la

0
下载
关闭预览

相关内容

ACM/IEEE第23届模型驱动工程语言和系统国际会议,是模型驱动软件和系统工程的首要会议系列,由ACM-SIGSOFT和IEEE-TCSE支持组织。自1998年以来,模型涵盖了建模的各个方面,从语言和方法到工具和应用程序。模特的参加者来自不同的背景,包括研究人员、学者、工程师和工业专业人士。MODELS 2019是一个论坛,参与者可以围绕建模和模型驱动的软件和系统交流前沿研究成果和创新实践经验。今年的版本将为建模社区提供进一步推进建模基础的机会,并在网络物理系统、嵌入式系统、社会技术系统、云计算、大数据、机器学习、安全、开源等新兴领域提出建模的创新应用以及可持续性。 官网链接:http://www.modelsconference.org/
专知会员服务
36+阅读 · 2021年7月7日
100+篇《自监督学习(Self-Supervised Learning)》论文最新合集
专知会员服务
167+阅读 · 2020年3月18日
Keras François Chollet 《Deep Learning with Python 》, 386页pdf
专知会员服务
163+阅读 · 2019年10月12日
IEEE TII Call For Papers
CCF多媒体专委会
3+阅读 · 2022年3月24日
【ICIG2021】Check out the hot new trailer of ICIG2021 Symposium9
中国图象图形学学会CSIG
0+阅读 · 2021年12月17日
【ICIG2021】Check out the hot new trailer of ICIG2021 Symposium4
中国图象图形学学会CSIG
0+阅读 · 2021年11月10日
【ICIG2021】Check out the hot new trailer of ICIG2021 Symposium3
中国图象图形学学会CSIG
0+阅读 · 2021年11月9日
Hierarchically Structured Meta-learning
CreateAMind
27+阅读 · 2019年5月22日
Transferring Knowledge across Learning Processes
CreateAMind
29+阅读 · 2019年5月18日
Unsupervised Learning via Meta-Learning
CreateAMind
43+阅读 · 2019年1月3日
A Technical Overview of AI & ML in 2018 & Trends for 2019
待字闺中
18+阅读 · 2018年12月24日
disentangled-representation-papers
CreateAMind
26+阅读 · 2018年9月12日
国家自然科学基金
0+阅读 · 2015年12月31日
国家自然科学基金
0+阅读 · 2014年12月31日
国家自然科学基金
0+阅读 · 2009年12月31日
国家自然科学基金
0+阅读 · 2009年12月31日
国家自然科学基金
0+阅读 · 2009年12月31日
Arxiv
21+阅读 · 2021年2月13日
Learning in the Frequency Domain
Arxiv
11+阅读 · 2020年3月12日
On Feature Normalization and Data Augmentation
Arxiv
15+阅读 · 2020年2月25日
VIP会员
相关资讯
IEEE TII Call For Papers
CCF多媒体专委会
3+阅读 · 2022年3月24日
【ICIG2021】Check out the hot new trailer of ICIG2021 Symposium9
中国图象图形学学会CSIG
0+阅读 · 2021年12月17日
【ICIG2021】Check out the hot new trailer of ICIG2021 Symposium4
中国图象图形学学会CSIG
0+阅读 · 2021年11月10日
【ICIG2021】Check out the hot new trailer of ICIG2021 Symposium3
中国图象图形学学会CSIG
0+阅读 · 2021年11月9日
Hierarchically Structured Meta-learning
CreateAMind
27+阅读 · 2019年5月22日
Transferring Knowledge across Learning Processes
CreateAMind
29+阅读 · 2019年5月18日
Unsupervised Learning via Meta-Learning
CreateAMind
43+阅读 · 2019年1月3日
A Technical Overview of AI & ML in 2018 & Trends for 2019
待字闺中
18+阅读 · 2018年12月24日
disentangled-representation-papers
CreateAMind
26+阅读 · 2018年9月12日
相关基金
国家自然科学基金
0+阅读 · 2015年12月31日
国家自然科学基金
0+阅读 · 2014年12月31日
国家自然科学基金
0+阅读 · 2009年12月31日
国家自然科学基金
0+阅读 · 2009年12月31日
国家自然科学基金
0+阅读 · 2009年12月31日
Top
微信扫码咨询专知VIP会员