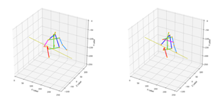
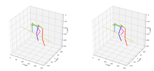
We propose to learn a 3D pose estimator by distilling knowledge from Non-Rigid Structure from Motion (NRSfM). Our method uses solely 2D landmark annotations. No 3D data, multi-view/temporal footage, or object specific prior is required. This alleviates the data bottleneck, which is one of the major concern for supervised methods. The challenge for using NRSfM as teacher is that they often make poor depth reconstruction when the 2D projections have strong ambiguity. Directly using those wrong depth as hard target would negatively impact the student. Instead, we propose a novel loss that ties depth prediction to the cost function used in NRSfM. This gives the student pose estimator freedom to reduce depth error by associating with image features. Validated on H3.6M dataset, our learned 3D pose estimation network achieves more accurate reconstruction compared to NRSfM methods. It also outperforms other weakly supervised methods, in spite of using significantly less supervision.


翻译:我们建议通过从运动中提取来自非数字化结构(NRSfM)的知识来学习三维构成的估计值。 我们的方法只使用 2D 标志性说明。 没有 3D 数据、 多视图/ 时钟片段或特定对象, 需要事先使用 。 这缓解了数据瓶颈, 这是监督方法的主要关注之一 。 使用 NRSfM 教师的难题是, 当 2D 预测有很强的模糊性时, 使用 NRSfM 的深度重建往往差强人意。 直接使用这些错误的深度作为硬目标会给学生带来负面影响。 相反, 我们提议一种新的损失, 将深度预测与 NRSfM 中的成本函数联系起来。 这让学生拥有通过与图像特性挂钩来减少深度误差的天体自由。 在 H3. 6M 数据集上验证, 我们所学的三维形图网络比 NRSfM 方法更准确的重建。 它也超越了其他监督不力的方法, 尽管使用少得多。

0
下载
关闭预览

相关内容

【Google】监督对比学习,Supervised Contrastive Learning
专知会员服务
75+阅读 · 2020年4月24日
专知会员服务
61+阅读 · 2020年3月19日
100+篇《自监督学习(Self-Supervised Learning)》论文最新合集
专知会员服务
167+阅读 · 2020年3月18日
[综述]深度学习下的场景文本检测与识别
专知会员服务
78+阅读 · 2019年10月10日
ICRA 2019 论文速览 | 基于Deep Learning 的SLAM
计算机视觉life
41+阅读 · 2019年7月22日
【泡泡汇总】CVPR2019 SLAM Paperlist
泡泡机器人SLAM
14+阅读 · 2019年6月12日
强化学习三篇论文 避免遗忘等
CreateAMind
20+阅读 · 2019年5月24日
Transferring Knowledge across Learning Processes
CreateAMind
29+阅读 · 2019年5月18日
强化学习的Unsupervised Meta-Learning
CreateAMind
18+阅读 · 2019年1月7日
无监督元学习表示学习
CreateAMind
27+阅读 · 2019年1月4日
Unsupervised Learning via Meta-Learning
CreateAMind
43+阅读 · 2019年1月3日
disentangled-representation-papers
CreateAMind
26+阅读 · 2018年9月12日
Auto-Encoding GAN
CreateAMind
7+阅读 · 2017年8月4日
VIP会员
相关资讯
ICRA 2019 论文速览 | 基于Deep Learning 的SLAM
计算机视觉life
41+阅读 · 2019年7月22日
【泡泡汇总】CVPR2019 SLAM Paperlist
泡泡机器人SLAM
14+阅读 · 2019年6月12日
强化学习三篇论文 避免遗忘等
CreateAMind
20+阅读 · 2019年5月24日
Transferring Knowledge across Learning Processes
CreateAMind
29+阅读 · 2019年5月18日
强化学习的Unsupervised Meta-Learning
CreateAMind
18+阅读 · 2019年1月7日
无监督元学习表示学习
CreateAMind
27+阅读 · 2019年1月4日
Unsupervised Learning via Meta-Learning
CreateAMind
43+阅读 · 2019年1月3日
disentangled-representation-papers
CreateAMind
26+阅读 · 2018年9月12日
Auto-Encoding GAN
CreateAMind
7+阅读 · 2017年8月4日
Top
微信扫码咨询专知VIP会员