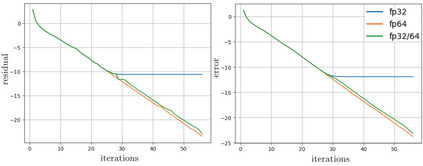
The problem of optimal precision switching for the conjugate gradient (CG) method applied to sparse linear systems is considered. A sparse matrix is defined as an $n\!\times\!n$ matrix with $m\!=\!O(n)$ nonzero entries. The algorithm first computes an approximate solution in single precision with tolerance $\varepsilon_1$, then switches to double precision to refine the solution to the required stopping tolerance $\varepsilon_2$. Based on estimates of system matrix parameters -- computed in time which does not exceed $1\%$ of the time needed to solve the system in double precision -- we determine the optimal value of $\varepsilon_1$ that minimizes total computation time. This value is obtained by classifying the matrix using the $k$-nearest neighbors method on a small precomputed sample. Classification relies on a feature vector comprising: the matrix size $n$, the number of nonzeros $m$, the pseudo-diameter of the matrix sparsity graph, and the average rate of residual norm decay during the early CG iterations in single precision. We show that, in addition to the matrix condition number, the diameter of the sparsity graph influences the growth of rounding errors during iterative computations. The proposed algorithm reduces the computational complexity of the CG -- expressed in equivalent double-precision iterations -- by more than $17\%$ on average across the considered matrix types in a sequential setting. The resulting speedup is at most $1.5\%$ worse than that achieved with the optimal (oracle) choice of $\varepsilon_1$. While the impact of matrix structure on Krylov subspace method convergence is well understood, the use of the sparsity graph diameter as a predictive feature for rounding error growth in mixed-precision CG appears to be novel. To the best of our knowledge, no prior work employs graph diameter to guide precision switching in iterative linear solvers.


翻译:暂无翻译

0
下载
关闭预览

相关内容

【ACL2020】多模态信息抽取,365页ppt
专知会员服务
151+阅读 · 2020年7月6日
专知会员服务
55+阅读 · 2020年3月16日
FlowQA: Grasping Flow in History for Conversational Machine Comprehension
专知会员服务
34+阅读 · 2019年10月18日
Keras François Chollet 《Deep Learning with Python 》, 386页pdf
专知会员服务
163+阅读 · 2019年10月12日
强化学习最新教程,17页pdf
专知会员服务
182+阅读 · 2019年10月11日
【SIGGRAPH2019】TensorFlow 2.0深度学习计算机图形学应用
专知会员服务
41+阅读 · 2019年10月9日
RL解决'BipedalWalkerHardcore-v2' (SOTA)
CreateAMind
31+阅读 · 2019年7月17日
Transferring Knowledge across Learning Processes
CreateAMind
29+阅读 · 2019年5月18日
强化学习的Unsupervised Meta-Learning
CreateAMind
18+阅读 · 2019年1月7日
meta learning 17年:MAML SNAIL
CreateAMind
11+阅读 · 2019年1月2日
A Technical Overview of AI & ML in 2018 & Trends for 2019
待字闺中
18+阅读 · 2018年12月24日
利用动态深度学习预测金融时间序列基于Python
量化投资与机器学习
18+阅读 · 2018年10月30日
disentangled-representation-papers
CreateAMind
26+阅读 · 2018年9月12日
STRCF for Visual Object Tracking
统计学习与视觉计算组
15+阅读 · 2018年5月29日
Focal Loss for Dense Object Detection
统计学习与视觉计算组
12+阅读 · 2018年3月15日
国家自然科学基金
2+阅读 · 2017年12月31日
国家自然科学基金
1+阅读 · 2016年12月31日
国家自然科学基金
2+阅读 · 2015年12月31日
国家自然科学基金
0+阅读 · 2015年12月31日
国家自然科学基金
46+阅读 · 2015年12月31日
国家自然科学基金
2+阅读 · 2015年12月31日
国家自然科学基金
3+阅读 · 2015年12月31日
国家自然科学基金
0+阅读 · 2014年12月31日
国家自然科学基金
1+阅读 · 2014年12月31日
国家自然科学基金
0+阅读 · 2014年12月31日
Arxiv
12+阅读 · 2021年9月13日
Arxiv
24+阅读 · 2021年3月4日
A survey on deep hashing for image retrieval
Arxiv
15+阅读 · 2020年6月10日
Phase-aware Speech Enhancement with Deep Complex U-Net
VIP会员
相关资讯
RL解决'BipedalWalkerHardcore-v2' (SOTA)
CreateAMind
31+阅读 · 2019年7月17日
Transferring Knowledge across Learning Processes
CreateAMind
29+阅读 · 2019年5月18日
强化学习的Unsupervised Meta-Learning
CreateAMind
18+阅读 · 2019年1月7日
meta learning 17年:MAML SNAIL
CreateAMind
11+阅读 · 2019年1月2日
A Technical Overview of AI & ML in 2018 & Trends for 2019
待字闺中
18+阅读 · 2018年12月24日
利用动态深度学习预测金融时间序列基于Python
量化投资与机器学习
18+阅读 · 2018年10月30日
disentangled-representation-papers
CreateAMind
26+阅读 · 2018年9月12日
STRCF for Visual Object Tracking
统计学习与视觉计算组
15+阅读 · 2018年5月29日
Focal Loss for Dense Object Detection
统计学习与视觉计算组
12+阅读 · 2018年3月15日
相关基金
国家自然科学基金
2+阅读 · 2017年12月31日
国家自然科学基金
1+阅读 · 2016年12月31日
国家自然科学基金
2+阅读 · 2015年12月31日
国家自然科学基金
0+阅读 · 2015年12月31日
国家自然科学基金
46+阅读 · 2015年12月31日
国家自然科学基金
2+阅读 · 2015年12月31日
国家自然科学基金
3+阅读 · 2015年12月31日
国家自然科学基金
0+阅读 · 2014年12月31日
国家自然科学基金
1+阅读 · 2014年12月31日
国家自然科学基金
0+阅读 · 2014年12月31日
Top
微信扫码咨询专知VIP会员