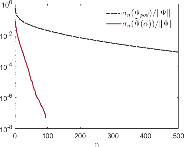
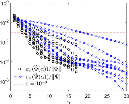
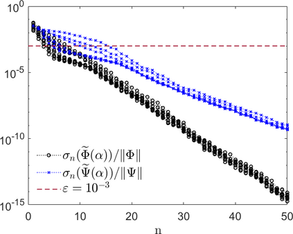
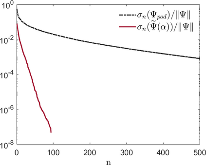
For a nonlinear dynamical system depending on parameters the paper introduces a novel tensorial reduced order model (TROM). The reduced model is projection-based and for systems with no parameters involved it resembles the proper orthogonal decomposition (POD) combined with the discrete empirical interpolation method (DEIM). For parametric systems, the TROM employs low-rank tensor approximations in place of truncated SVD, a key dimension-reduction technique in POD with DEIM. Three popular low-rank tensor compression formats are considered for this purpose: canonical polyadic, Tucker, and tensor train. The use of multi-linear algebra tools allows to incorporate the information about the parameter dependence of the system into the reduced model and leads to a POD--DEIM type ROM which (i) is parameter-specific (localized) and predicts the system dynamics for out-of-training set (unseen) parameter values, (ii) mitigates the adverse effects of high parameter space dimension, (iii) has online computational costs that depend only on tensor compression ranks but not on the full order model size, and (iv) achieves lower reduced space dimensions compared to the conventional POD--DEIM ROM. The paper explains the method, analyzes its prediction power, and assesses its performance for two specific parameter-dependent non-linear dynamical systems.


翻译:对于视参数而定的非线性动态系统,本文引入了一个新的微缩降序模型(TROM)。降级模型以投影为基础,对于没有涉及参数的系统来说,该模型类似于适当的正心分解(POD)和独立的实证内插法(DEIM)。对于参数系统来说,TROM采用低调高压近似值,以取代脱节的SVD,这是与DEIM一起的POD中降低关键维度的技术。为此考虑三种流行的低调低调压压缩格式:Canonial 多元体、Tucker和高压列列。使用多线性代数代数工具可以将关于系统参数依赖性的信息纳入降格模型,并导致POD-DEIM型ROM(POD-DEIM-DEIM)型ROM(I)是针对特定参数的(本地化),并预测系统外设(不见参数)参数值,(二)减轻高参数空间层面的不利影响,(三)在线计算成本仅取决于Stororma压缩级,但不取决于其总体预测系统。

0
下载
关闭预览

相关内容

不可错过!《机器学习100讲》课程,UBC Mark Schmidt讲授
专知会员服务
76+阅读 · 2022年6月28日
专知会员服务
51+阅读 · 2020年12月14日
不可错过!华盛顿大学最新《生成式模型》课程,附PPT
专知会员服务
65+阅读 · 2020年12月11日
Linux导论,Introduction to Linux,96页ppt
专知会员服务
82+阅读 · 2020年7月26日
【SIGGRAPH2019】TensorFlow 2.0深度学习计算机图形学应用
专知会员服务
41+阅读 · 2019年10月9日
VCIP 2022 Call for Demos
CCF多媒体专委会
1+阅读 · 2022年6月6日
Hierarchically Structured Meta-learning
CreateAMind
27+阅读 · 2019年5月22日
Transferring Knowledge across Learning Processes
CreateAMind
29+阅读 · 2019年5月18日
强化学习的Unsupervised Meta-Learning
CreateAMind
18+阅读 · 2019年1月7日
无监督元学习表示学习
CreateAMind
27+阅读 · 2019年1月4日
Unsupervised Learning via Meta-Learning
CreateAMind
43+阅读 · 2019年1月3日
【论文】变分推断(Variational inference)的总结
机器学习研究会
39+阅读 · 2017年11月16日
国家自然科学基金
5+阅读 · 2015年7月12日
国家自然科学基金
1+阅读 · 2014年12月31日
国家自然科学基金
0+阅读 · 2012年12月31日
国家自然科学基金
0+阅读 · 2012年12月31日
国家自然科学基金
0+阅读 · 2012年12月31日
国家自然科学基金
0+阅读 · 2009年12月31日
Arxiv
1+阅读 · 2023年4月6日
Arxiv
0+阅读 · 2023年4月1日
VIP会员
相关基金
国家自然科学基金
5+阅读 · 2015年7月12日
国家自然科学基金
1+阅读 · 2014年12月31日
国家自然科学基金
0+阅读 · 2012年12月31日
国家自然科学基金
0+阅读 · 2012年12月31日
国家自然科学基金
0+阅读 · 2012年12月31日
国家自然科学基金
0+阅读 · 2009年12月31日
Top
微信扫码咨询专知VIP会员