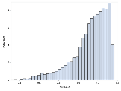
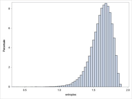
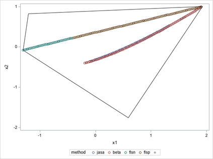
We explore the class of exchangeable Bernoulli distributions building on their geometrical structure. Exchangeable Bernoulli probability mass functions are points in a convex polytope and we have found analytical expressions for their extremal generators. The geometrical structure turns out to be crucial to simulate high dimensional and negatively correlated binary data. Furthermore, for a wide class of statistical indices and measures of a probability mass function we are able to find not only their sharp bounds in the class, but also their distribution across the class. Estimate and testing are also addressed.


翻译:我们根据伯努利的几何结构来探索可交换的伯努利分布等级。可交换的伯努利概率质量函数是锥形聚体中的点,我们找到了其极端发源的分析表达方式。几何结构对模拟高维和负相关二进制数据至关重要。此外,对于一系列广泛的统计指数和概率质量函数的测量,我们不仅能够发现其在类中的锐度,而且能够发现它们在整个类中的分布。还涉及到估计和测试问题。

0
下载
关闭预览

相关内容

【ACML2020】张量网络机器学习:最近的进展和前沿,109页ppt
专知会员服务
55+阅读 · 2020年12月15日
【干货书】机器学习速查手册,135页pdf
专知会员服务
127+阅读 · 2020年11月20日
因果图,Causal Graphs,52页ppt
专知会员服务
253+阅读 · 2020年4月19日
【SIGGRAPH2019】TensorFlow 2.0深度学习计算机图形学应用
专知会员服务
41+阅读 · 2019年10月9日
最新BERT相关论文清单,BERT-related Papers
专知会员服务
53+阅读 · 2019年9月29日
异常检测论文大列表:方法、应用、综述
专知
126+阅读 · 2019年7月15日
Disentangled的假设的探讨
CreateAMind
9+阅读 · 2018年12月10日
disentangled-representation-papers
CreateAMind
26+阅读 · 2018年9月12日
vae 相关论文 表示学习 1
CreateAMind
12+阅读 · 2018年9月6日
Hierarchical Disentangled Representations
CreateAMind
4+阅读 · 2018年4月15日
【论文】变分推断(Variational inference)的总结
机器学习研究会
39+阅读 · 2017年11月16日
Adversarial Variational Bayes: Unifying VAE and GAN 代码
CreateAMind
7+阅读 · 2017年10月4日
Auto-Encoding GAN
CreateAMind
7+阅读 · 2017年8月4日
Implicit Maximum Likelihood Estimation
Arxiv
7+阅读 · 2018年9月24日
Arxiv
3+阅读 · 2017年12月14日
VIP会员
相关VIP内容
【ACML2020】张量网络机器学习:最近的进展和前沿,109页ppt
专知会员服务
55+阅读 · 2020年12月15日
【干货书】机器学习速查手册,135页pdf
专知会员服务
127+阅读 · 2020年11月20日
因果图,Causal Graphs,52页ppt
专知会员服务
253+阅读 · 2020年4月19日
【SIGGRAPH2019】TensorFlow 2.0深度学习计算机图形学应用
专知会员服务
41+阅读 · 2019年10月9日
最新BERT相关论文清单,BERT-related Papers
专知会员服务
53+阅读 · 2019年9月29日
相关资讯
异常检测论文大列表:方法、应用、综述
专知
126+阅读 · 2019年7月15日
Disentangled的假设的探讨
CreateAMind
9+阅读 · 2018年12月10日
disentangled-representation-papers
CreateAMind
26+阅读 · 2018年9月12日
vae 相关论文 表示学习 1
CreateAMind
12+阅读 · 2018年9月6日
Hierarchical Disentangled Representations
CreateAMind
4+阅读 · 2018年4月15日
【论文】变分推断(Variational inference)的总结
机器学习研究会
39+阅读 · 2017年11月16日
Adversarial Variational Bayes: Unifying VAE and GAN 代码
CreateAMind
7+阅读 · 2017年10月4日
Auto-Encoding GAN
CreateAMind
7+阅读 · 2017年8月4日
Top
微信扫码咨询专知VIP会员