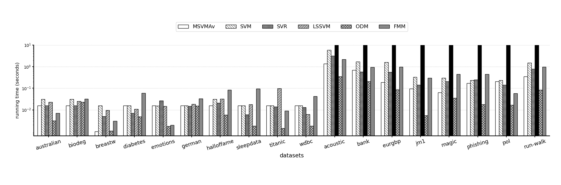
Margin has played an important role on the design and analysis of learning algorithms during the past years, mostly working with the maximization of the minimum margin. Recent years have witnessed the increasing empirical studies on the optimization of margin distribution according to different statistics such as medium margin, average margin, margin variance, etc., whereas there is a relative paucity of theoretical understanding. In this work, we take one step on this direction by providing a new generalization error bound, which is heavily relevant to margin distribution by incorporating ingredients such as average margin and semi-variance, a new margin statistics for the characterization of margin distribution. Inspired by the theoretical findings, we propose the MSVMAv, an efficient approach to achieve better performance by optimizing margin distribution in terms of its empirical average margin and semi-variance. We finally conduct extensive experiments to show the superiority of the proposed MSVMAv approach.


翻译:在过去几年里,边际效应在学习算法的设计和分析中发挥了重要作用,主要是与最大限度地提高最低差值有关;近年来,根据中等差值、平均差值、差值等不同统计数据,对优化差值分配进行了越来越多的实证研究,但理论理解相对不足;在这项工作中,我们朝这个方向迈出了一步,提供了一个新的普遍化错误,它与差值分布密切相关,它包括了平均差值和半差值等要素,为差值分配定性提供了新的差值统计;在理论结论的启发下,我们提出了MSVMAv,这是通过优化平均差值分配和半差值,实现更好业绩的有效办法;我们最后进行了广泛的实验,以显示拟议的MSVMAv方法的优越性。

0
下载
关闭预览

相关内容

南大《优化方法 (Optimization Methods》课程,推荐!
专知会员服务
80+阅读 · 2022年4月3日
专知会员服务
51+阅读 · 2020年12月14日
专知会员服务
162+阅读 · 2020年1月16日
征稿 | CFP:Special Issue of NLP and KG(JCR Q2,IF2.67)
开放知识图谱
1+阅读 · 2022年4月4日
ACM MM 2022 Call for Papers
CCF多媒体专委会
5+阅读 · 2022年3月29日
AIART 2022 Call for Papers
CCF多媒体专委会
1+阅读 · 2022年2月13日
【ICIG2021】Check out the hot new trailer of ICIG2021 Symposium3
中国图象图形学学会CSIG
0+阅读 · 2021年11月9日
Hierarchically Structured Meta-learning
CreateAMind
27+阅读 · 2019年5月22日
Transferring Knowledge across Learning Processes
CreateAMind
29+阅读 · 2019年5月18日
Unsupervised Learning via Meta-Learning
CreateAMind
43+阅读 · 2019年1月3日
A Technical Overview of AI & ML in 2018 & Trends for 2019
待字闺中
18+阅读 · 2018年12月24日
国家自然科学基金
0+阅读 · 2015年12月31日
国家自然科学基金
1+阅读 · 2015年12月31日
国家自然科学基金
2+阅读 · 2015年12月31日
国家自然科学基金
0+阅读 · 2015年12月31日
国家自然科学基金
0+阅读 · 2014年12月31日
国家自然科学基金
0+阅读 · 2013年12月31日
国家自然科学基金
0+阅读 · 2013年12月31日
国家自然科学基金
0+阅读 · 2013年12月31日
国家自然科学基金
1+阅读 · 2011年12月31日
国家自然科学基金
0+阅读 · 2009年12月31日
Generalized Out-of-Distribution Detection: A Survey
Arxiv
15+阅读 · 2021年10月21日
Arxiv
38+阅读 · 2021年8月31日
VIP会员
相关VIP内容
相关资讯
征稿 | CFP:Special Issue of NLP and KG(JCR Q2,IF2.67)
开放知识图谱
1+阅读 · 2022年4月4日
ACM MM 2022 Call for Papers
CCF多媒体专委会
5+阅读 · 2022年3月29日
AIART 2022 Call for Papers
CCF多媒体专委会
1+阅读 · 2022年2月13日
【ICIG2021】Check out the hot new trailer of ICIG2021 Symposium3
中国图象图形学学会CSIG
0+阅读 · 2021年11月9日
Hierarchically Structured Meta-learning
CreateAMind
27+阅读 · 2019年5月22日
Transferring Knowledge across Learning Processes
CreateAMind
29+阅读 · 2019年5月18日
Unsupervised Learning via Meta-Learning
CreateAMind
43+阅读 · 2019年1月3日
A Technical Overview of AI & ML in 2018 & Trends for 2019
待字闺中
18+阅读 · 2018年12月24日
相关基金
国家自然科学基金
0+阅读 · 2015年12月31日
国家自然科学基金
1+阅读 · 2015年12月31日
国家自然科学基金
2+阅读 · 2015年12月31日
国家自然科学基金
0+阅读 · 2015年12月31日
国家自然科学基金
0+阅读 · 2014年12月31日
国家自然科学基金
0+阅读 · 2013年12月31日
国家自然科学基金
0+阅读 · 2013年12月31日
国家自然科学基金
0+阅读 · 2013年12月31日
国家自然科学基金
1+阅读 · 2011年12月31日
国家自然科学基金
0+阅读 · 2009年12月31日
Top
微信扫码咨询专知VIP会员