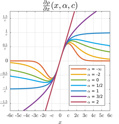
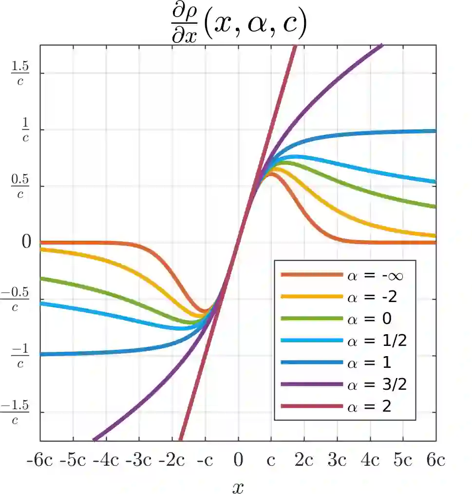
We present a generalization of the Cauchy/Lorentzian, Geman-McClure, Welsch/Leclerc, generalized Charbonnier, Charbonnier/pseudo-Huber/L1-L2, and L2 loss functions. By introducing robustness as a continous parameter, our loss function allows algorithms built around robust loss minimization to be generalized, which improves performance on basic vision tasks such as registration and clustering. Interpreting our loss as the negative log of a univariate density yields a general probability distribution that includes normal and Cauchy distributions as special cases. This probabilistic interpretation enables the training of neural networks in which the robustness of the loss automatically adapts itself during training, which improves performance on learning-based tasks such as generative image synthesis and unsupervised monocular depth estimation, without requiring any manual parameter tuning.


翻译:我们介绍了Cauchy/Lorentzian、Geman-McClure、Welsch/Leclerc、Charbonnier、Charbonnier/peredo-Huber/L1-L2和L2损失功能的概括性。通过将稳健性作为连续参数,我们的损失功能使围绕稳健的损失最小化的算法得以普及,从而改进了登记和集群等基本愿景任务的业绩。将我们的损失解释为单体密度的负日志,产生一种普遍的概率分布,包括正常和Cauchy分布作为特殊情况。这种概率化解释使得能够培训神经网络,使损失的稳健性在培训期间自动调整自身,从而改进了基于学习的任务的绩效,例如基因图像合成和不统一的单体深度估计,而无需任何人工参数的调整。

8
下载
关闭预览

相关内容

损失函数,在AI中亦称呼距离函数,度量函数。此处的距离代表的是抽象性的,代表真实数据与预测数据之间的误差。损失函数(loss function)是用来估量你模型的预测值f(x)与真实值Y的不一致程度,它是一个非负实值函数,通常使用L(Y, f(x))来表示,损失函数越小,模型的鲁棒性就越好。损失函数是经验风险函数的核心部分,也是结构风险函数重要组成部分。
因果图,Causal Graphs,52页ppt
专知会员服务
253+阅读 · 2020年4月19日
【大规模数据系统,552页ppt】Large-scale Data Systems
专知会员服务
61+阅读 · 2019年12月21日
【哈佛大学商学院课程Fall 2019】机器学习可解释性
专知会员服务
105+阅读 · 2019年10月9日
强化学习的Unsupervised Meta-Learning
CreateAMind
18+阅读 · 2019年1月7日
无监督元学习表示学习
CreateAMind
27+阅读 · 2019年1月4日
disentangled-representation-papers
CreateAMind
26+阅读 · 2018年9月12日
vae 相关论文 表示学习 1
CreateAMind
12+阅读 · 2018年9月6日
【SIGIR2018】五篇对抗训练文章
专知
12+阅读 · 2018年7月9日
条件GAN重大改进!cGANs with Projection Discriminator
CreateAMind
8+阅读 · 2018年2月7日
【论文】变分推断(Variational inference)的总结
机器学习研究会
39+阅读 · 2017年11月16日
Adversarial Variational Bayes: Unifying VAE and GAN 代码
CreateAMind
7+阅读 · 2017年10月4日
Auto-Encoding GAN
CreateAMind
7+阅读 · 2017年8月4日
Arxiv
13+阅读 · 2019年1月26日
Paraphrase Generation with Deep Reinforcement Learning
Arxiv
7+阅读 · 2018年1月21日
VIP会员
相关VIP内容
相关资讯
强化学习的Unsupervised Meta-Learning
CreateAMind
18+阅读 · 2019年1月7日
无监督元学习表示学习
CreateAMind
27+阅读 · 2019年1月4日
disentangled-representation-papers
CreateAMind
26+阅读 · 2018年9月12日
vae 相关论文 表示学习 1
CreateAMind
12+阅读 · 2018年9月6日
【SIGIR2018】五篇对抗训练文章
专知
12+阅读 · 2018年7月9日
条件GAN重大改进!cGANs with Projection Discriminator
CreateAMind
8+阅读 · 2018年2月7日
【论文】变分推断(Variational inference)的总结
机器学习研究会
39+阅读 · 2017年11月16日
Adversarial Variational Bayes: Unifying VAE and GAN 代码
CreateAMind
7+阅读 · 2017年10月4日
Auto-Encoding GAN
CreateAMind
7+阅读 · 2017年8月4日
Top
微信扫码咨询专知VIP会员