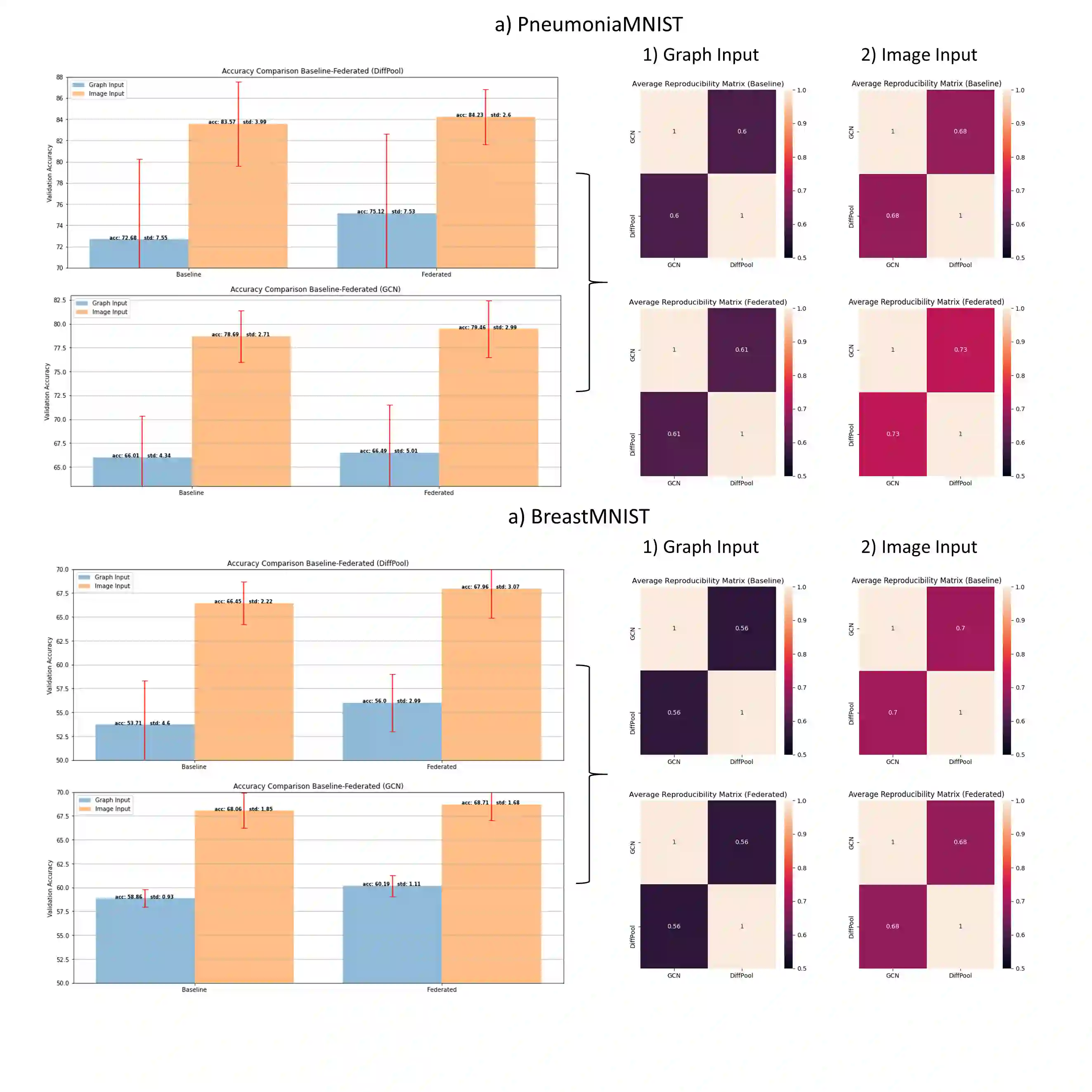
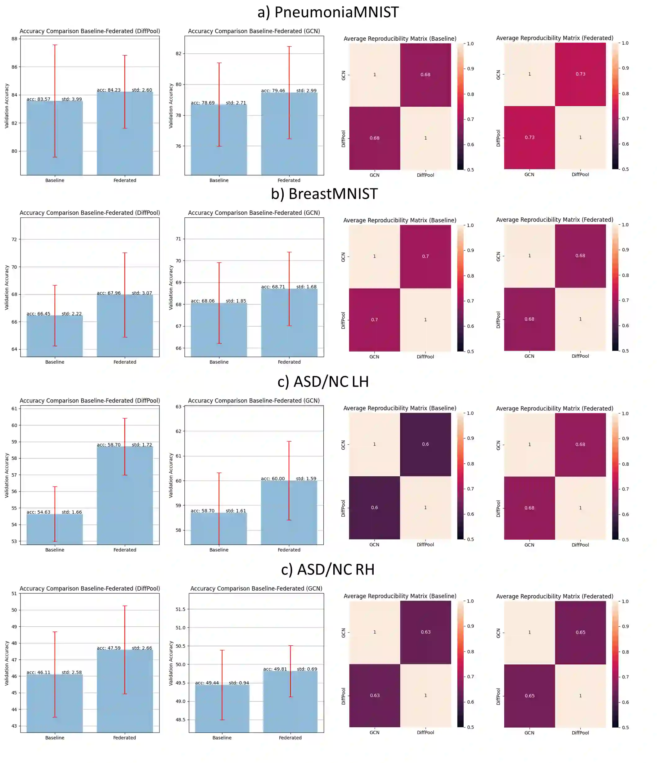
Graph neural networks (GNNs) have achieved extraordinary enhancements in various areas including the fields medical imaging and network neuroscience where they displayed a high accuracy in diagnosing challenging neurological disorders such as autism. In the face of medical data scarcity and high-privacy, training such data-hungry models remains challenging. Federated learning brings an efficient solution to this issue by allowing to train models on multiple datasets, collected independently by different hospitals, in fully data-preserving manner. Although both state-of-the-art GNNs and federated learning techniques focus on boosting classification accuracy, they overlook a critical unsolved problem: investigating the reproducibility of the most discriminative biomarkers (i.e., features) selected by the GNN models within a federated learning paradigm. Quantifying the reproducibility of a predictive medical model against perturbations of training and testing data distributions presents one of the biggest hurdles to overcome in developing translational clinical applications. To the best of our knowledge, this presents the first work investigating the reproducibility of federated GNN models with application to classifying medical imaging and brain connectivity datasets. We evaluated our framework using various GNN models trained on medical imaging and connectomic datasets. More importantly, we showed that federated learning boosts both the accuracy and reproducibility of GNN models in such medical learning tasks. Our source code is available at https://github.com/basiralab/reproducibleFedGNN.


翻译:医学成像和网络神经科学在各个领域都取得了非凡的改进,包括医学成像和网络神经科学领域,在诊断自闭症等具有挑战性的神经疾病时表现出高度准确性。面对医疗数据稀缺和高隐私度,培训这类数据饥饿模型仍然具有挑战性。联邦学习通过允许培训多数据集模型模型,通过不同医院独立收集、完全数据保存的方式,为这一问题提供了有效的解决方案。虽然最新技术的GNN和联合学习技术都侧重于提高分类准确性,但它们忽略了一个关键的未解问题:调查GNN模型在联邦学习模式中选择的最有歧视的生物标志(即特征)的再降级。量化了预测医学模型的再生性,防止培训和测试数据分布,这是发展翻译临床应用中最难克服的一个障碍。 至于我们的知识中的最佳,这是第一次调查FNFNB模型(即特征)在联邦化模型和GNNF模型的再生性更新性研究中,我们用经过培训的GNNF模型在医学模型上进行了更多的数据连结。

0
下载
关闭预览

相关内容

【2022新书】高效深度学习,Efficient Deep Learning Book
专知会员服务
125+阅读 · 2022年4月21日
《DeepGCNs: Making GCNs Go as Deep as CNNs》
专知会员服务
31+阅读 · 2019年10月17日
[综述]深度学习下的场景文本检测与识别
专知会员服务
78+阅读 · 2019年10月10日
【哈佛大学商学院课程Fall 2019】机器学习可解释性
专知会员服务
105+阅读 · 2019年10月9日
【SIGGRAPH2019】TensorFlow 2.0深度学习计算机图形学应用
专知会员服务
41+阅读 · 2019年10月9日
征稿 | CFP:Special Issue of NLP and KG(JCR Q2,IF2.67)
开放知识图谱
1+阅读 · 2022年4月4日
IEEE ICKG 2022: Call for Papers
机器学习与推荐算法
3+阅读 · 2022年3月30日
ACM MM 2022 Call for Papers
CCF多媒体专委会
5+阅读 · 2022年3月29日
ACM TOMM Call for Papers
CCF多媒体专委会
2+阅读 · 2022年3月23日
AIART 2022 Call for Papers
CCF多媒体专委会
1+阅读 · 2022年2月13日
【ICIG2021】Check out the hot new trailer of ICIG2021 Symposium9
中国图象图形学学会CSIG
0+阅读 · 2021年12月17日
【ICIG2021】Latest News & Announcements of the Industry Talk1
中国图象图形学学会CSIG
0+阅读 · 2021年7月28日
Hierarchically Structured Meta-learning
CreateAMind
27+阅读 · 2019年5月22日
A Technical Overview of AI & ML in 2018 & Trends for 2019
待字闺中
18+阅读 · 2018年12月24日
disentangled-representation-papers
CreateAMind
26+阅读 · 2018年9月12日
国家自然科学基金
0+阅读 · 2015年12月31日
国家自然科学基金
0+阅读 · 2014年12月31日
国家自然科学基金
0+阅读 · 2014年12月31日
国家自然科学基金
1+阅读 · 2012年12月31日
国家自然科学基金
0+阅读 · 2011年12月31日
国家自然科学基金
0+阅读 · 2011年12月31日
国家自然科学基金
0+阅读 · 2011年12月31日
国家自然科学基金
0+阅读 · 2011年12月31日
国家自然科学基金
0+阅读 · 2009年12月31日
Arxiv
30+阅读 · 2021年8月18日
Arxiv
13+阅读 · 2021年5月3日
Arxiv
20+阅读 · 2019年11月23日
VIP会员
相关资讯
征稿 | CFP:Special Issue of NLP and KG(JCR Q2,IF2.67)
开放知识图谱
1+阅读 · 2022年4月4日
IEEE ICKG 2022: Call for Papers
机器学习与推荐算法
3+阅读 · 2022年3月30日
ACM MM 2022 Call for Papers
CCF多媒体专委会
5+阅读 · 2022年3月29日
ACM TOMM Call for Papers
CCF多媒体专委会
2+阅读 · 2022年3月23日
AIART 2022 Call for Papers
CCF多媒体专委会
1+阅读 · 2022年2月13日
【ICIG2021】Check out the hot new trailer of ICIG2021 Symposium9
中国图象图形学学会CSIG
0+阅读 · 2021年12月17日
【ICIG2021】Latest News & Announcements of the Industry Talk1
中国图象图形学学会CSIG
0+阅读 · 2021年7月28日
Hierarchically Structured Meta-learning
CreateAMind
27+阅读 · 2019年5月22日
A Technical Overview of AI & ML in 2018 & Trends for 2019
待字闺中
18+阅读 · 2018年12月24日
disentangled-representation-papers
CreateAMind
26+阅读 · 2018年9月12日
相关基金
国家自然科学基金
0+阅读 · 2015年12月31日
国家自然科学基金
0+阅读 · 2014年12月31日
国家自然科学基金
0+阅读 · 2014年12月31日
国家自然科学基金
1+阅读 · 2012年12月31日
国家自然科学基金
0+阅读 · 2011年12月31日
国家自然科学基金
0+阅读 · 2011年12月31日
国家自然科学基金
0+阅读 · 2011年12月31日
国家自然科学基金
0+阅读 · 2011年12月31日
国家自然科学基金
0+阅读 · 2009年12月31日
Top
微信扫码咨询专知VIP会员