线性Attention的探索:Attention必须有个Softmax吗?

2020 年 7 月 7 日 PaperWeekly


©PaperWeekly 原创 · 作者|苏剑林

单位|追一科技

研究方向|NLP、神经网络


众所周知,尽管基于 Attention 机制的 Transformer 类模型有着良好的并行性能,但它的空间和时间复杂度都是 级别的,n 是序列长度,所以当 n 比较大时 Transformer 模型的计算量难以承受。
近来,也有不少工作致力于降低 Transformer 模型的计算量,比如模型剪枝、量化、蒸馏等精简技术,又或者修改 Attention 结构,使得其复杂度能降低到 甚至
前几天笔者读到了论文 Transformers are RNNs: Fast Autoregressive Transformers with Linear Attention  [1]  ,了解到了线性化 Attention (Linear Attention)这个探索点,继而阅读了一些相关文献,有一些不错的收获,最后将自己对线性化 Attention 的理解汇总在此文中。


Attention

当前最流行的 Attention 机制当属 Scaled-Dot Attention [2] ,形式为:

这里的 ,简单起见我们就没显式地写出 Attention 的缩放因子了。

本文我们主要关心 Self Attention 场景,所以为了介绍上的方便统一设 ,一般长序列场景下都有 (BERT base 里边 d=64)。
相关解读可以参考笔者的一文读懂「Attention is All You Need」| 附代码实现,以及它的一些改进工作也可以参考突破瓶颈,打造更强大的 Transformer [3] Google 新作 Synthesizer:我们还不够了解自注意力,这里就不多深入介绍了。

1.1 摘掉Softmax

读者也许想不到,制约 Attention 性能的关键因素,其实是定义里边的 Softmax!事实上,简单地推导一下就可以得到这个结论。

这一步我们得到一个 的矩阵,就是这一步决定了 Attention 的复杂度是 ;如果没有 Softmax,那么就是三个矩阵连乘 ,而矩阵乘法是满足结合率的,所以我们可以先算 ,得到一个 的矩阵,然后再用 左乘它,由于 ,所以这样算大致的复杂度只是 (就是 左乘那一步占主导)。
也就是说,去掉 Softmax 的 Attention 的复杂度可以降到最理想的线性级别 !这显然就是我们的终极追求:Linear Attention,复杂度为线性级别的 Attention。所以,本文的主题就是探究摘掉 Softmax 后的线形 Attention
1.2 一般的定义
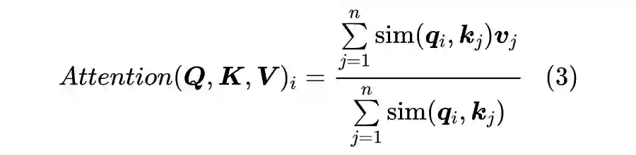
问题是,直接去掉 Softmax 还能算是 Attention 吗?它还能有标准的 Attention 的效果吗?为了回答这个问题,我们先将 Scaled-Dot Attention 的定义(1)等价地改写为(本文的向量都是列向量)。

所以,Scaled-Dot Attention 其实就是以 为权重对 做加权平均。所以我们可以提出一个 Attention 的一般化定义:

也就是把 换成 的一般函数 ,为了保留 Attention 的相似特性,我们要求 恒成立。也就是说,我们如果要定义新式的 Attention,那么要保留式(3)的形式,并且满足
这种一般形式的 Attention 在 CV 中也被称为 Non-Local 网络,来自文章 Non-local Neural Networks [4]


几个例子

如果直接去掉 Softmax,那么就是 ,问题是内积无法保证非负性,所以这还不是一个合理的选择。下面我们简单介绍几种可取的方案。
值得指出的是,下面介绍的这几种 Linear Attention,前两种只做了 CV 的实验,第三种是笔者自己构思的,所以都还没有在 NLP 任务上做过什么实验,各位做模型改进的 NLPer 们就有实验方向了。

2.1 核函数形式

一个自然的想法是:如果 的每个元素都是非负的,那么内积自然也就是非负的。为了完成这点,我们可以给 各自加个激活函数 ,即:

其中 是值域非负的激活函数。本文开头提到的论文 Transformers are RNNs: Fast Autoregressive Transformers with Linear Attention [5]  选择的是
非要讲故事的话,式(4)可以联想到“核方法(kernal method)”,尤其是 就相当于一个核函数,而 就是通过核函数所定义的内积。
这方面的思考可以参考论文 Transformer dissection: An unified understanding for transformer’s attention via the lens of kernel [6] ,此处不做过多延伸。

2.2 妙用Softmax

另一篇更早的文章 Efficient Attention: Attention with Linear Complexities  [7]  则给出了一个更有意思的选择。它留意到在 中, ,如果“ 在 d 那一维是归一化的、并且 在 n 那一维是归一化的”,那么 就是自动满足归一化了,所以它给出的选择是:

其中 分别指在第一个(n)、第二个维度(d)进行 Softmax 运算。也就是说,这时候我们是各自给 加 Softmax,而不是 算完之后才加 Softmax。
其实可以证明这个形式也是式(4)的一个特例,此时对应于 ,读者可以自行推导一下。
2.3 自己的构思
在这里,笔者给出自己的一种构思。这个构思的出发点不再是式(4),而是源于我们对原始定义(2)的近似。由泰勒展开我们有:

如果 ,那么就可以保证右端的非负性,而从可以让 。到这里读者可能已经想到了,想要保证 ,只需要分别对 归一化。所以,笔者最终提出的方案就是:

这不同于形式(4),但理论上它应该是最接近原始的 Scaled-Dot Attention 了。


相关工作
通过修改 Attention 的形式来降低它的计算复杂度,相关的工作有很多,这里简要列举一些。

3.1 稀疏Attention

我们之前介绍过 OpenAI 的 Sparse Attention,通过“只保留小区域内的数值、强制让大部分注意力为零”的方式,来减少 Attention 的计算量。经过特殊设计之后,Attention 矩阵的非 0 元素只有 个,所以理论上它也是一种线性级别的 Attention。类似的工作还有 Longformer。

但是很明显,这种思路有两个不足之处:

  1. 如何选择要保留的注意力区域,这是人工主观决定的,带有很大的不智能性;

  2. 它需要从编程上进行特定的设计优化,才能得到一个高效的实现,所以它不容易推广。

3.2 Reformer

Reformer 也是有代表性的改进工作,它将 Attention 的复杂度降到了
某种意义上来说,Reformer 也是稀疏 Attention 的一种,只不过它的稀疏 pattern 不是事先指定的,而是通过 LSH(Locality Sensitive Hashing)技术(近似地)快速地找到最大的若干个 Attention 值,然后只去计算那若干个值。
此外,Reformer 通过构造可逆形式的 FFN(Feedforward Network)替换掉原来的 FFN,然后重新设计反向传播过程,从而降低了显存占用量。
所以,相比前述稀疏 Attention,Reformer 解决了它的第一个缺点,但是依然有第二个缺点:实现起来复杂度高。要实现 LSH 形式的 Attention 比标准的 Attention 复杂多了,对可逆网络重写反向传播过程对普通读者来说更是遥不可及。

3.3 Linformer

跟本文所介绍的 Linear Attention 很相似的一个工作是 Facebook 最近放出来的 Linformer,它依然保留原始的 Scaled-Dot Attention 形式,但在进行 Attention 之前,用两个 的矩阵 分别对 进行投影,即变为:

这样一来, 就只是一个 的矩阵,而作者声称对于哪怕对于很大的序列长度 n,m 也可以保持为一个适中的常数,从而这种 Attention 也是线性的。
但是,笔者认为“对于超长序列 m 可以保持不变”这个结论是值得质疑的,原论文中对于长序列作者只做了 MLM 任务,而很明显 MLM 并不那么需要长程依赖,所以这个实验没什么说服力。因此,Linformer 是不是真的 Linear,还有待商榷。
3.4 自回归生成
Linformer 的另一个缺点是 这两变直接把整个序列的信息给“糅合”起来了,所以它没法简单地把将来信息给 Mask 掉(Causal Masking),从而无法做语言模型、Seq2Seq 等自回归生成任务,这也是刚才说的原作者只做了 MLM 任务的原因。
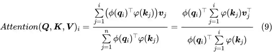
相比之下,本文介绍的几种 Linear Attention 都能做到这一点。以式(3)和式(4)为例,如果要 Mask 掉未来信息,那么只需要把求和 改为


实现上式有两种方式:第一方式是设 以及 ,我们有:


这说明这种 Attention 可以作为一个 RNN 模型用递归的方式实现,它的空间复杂度最低,但是要串性计算,适合预测解码时使用;第二种是直接将 做外积,得到一个 的矩阵,然后对 n 那一维执行 运算,这样就一次性得到 了,它的速度最快,但空间占用最大,适合训练时使用。

3.5 下采样技术

从结果上来看,Linformer 的 就是将序列变短(下采样)了,而将序列变短的一个最朴素的方法就是 Pooling 了,所以笔者之前也尝试过把 Pooling 技术引入到 Transformer 中去。

近来也有类似的工作发出来,比如IBM的PoWER-BERT: Accelerating BERT Inference via Progressive Word-vector Elimination [8] 和 Google 的 Funnel-Transformer: Filtering out Sequential Redundancy for Efficient Language Processing [9]

除了 Pooling 之外,其实还有其他的下采样技术,比如可以通过 stride > 1 的一维卷积来实现,基于这个思路,或许我们可以把 FFN 里边的 Position-Wise 全连接换成 stride > 1 的一维卷积?总之这方面应该也能玩出很多花样来,不过跟 Linformer 一样,这样糅合之后做自回归生成就很难了。


文章小结
本文介绍了一些从结构上对 Attention 进行修改从而降低其计算复杂度的工作,其中最主要的 idea 是去掉标准 Attention 中的 Softmax,就可以使得 Attention 的复杂度退化为理想的 级别(Linear Attention)。
相比于其他类似的改进结构的工作,这种修改能在把复杂度降到 的同时,依然保留所有的 “token-token” 的注意力,同时还能保留用于做自回归生成的可能性。


参考链接


[1] https://arxiv.org/abs/2006.16236
[2] https://arxiv.org/abs/1706.03762
[3] https://kexue.fm/archives/7325
[4] https://kexue.fm/archives/1711.07971
[5] https://arxiv.org/abs/2006.16236
[6] https://arxiv.org/abs/1908.11775
[7] https://arxiv.org/abs/1812.01243
[8] https://arxiv.org/abs/2001.08950
[9] https://arxiv.org/abs/2006.03236



更多阅读





#投 稿 通 道#

 让你的论文被更多人看到 



如何才能让更多的优质内容以更短路径到达读者群体,缩短读者寻找优质内容的成本呢?答案就是:你不认识的人。


总有一些你不认识的人,知道你想知道的东西。PaperWeekly 或许可以成为一座桥梁,促使不同背景、不同方向的学者和学术灵感相互碰撞,迸发出更多的可能性。 


PaperWeekly 鼓励高校实验室或个人,在我们的平台上分享各类优质内容,可以是最新论文解读,也可以是学习心得技术干货。我们的目的只有一个,让知识真正流动起来。


📝 来稿标准:

• 稿件确系个人原创作品,来稿需注明作者个人信息(姓名+学校/工作单位+学历/职位+研究方向) 

• 如果文章并非首发,请在投稿时提醒并附上所有已发布链接 

• PaperWeekly 默认每篇文章都是首发,均会添加“原创”标志


📬 投稿邮箱:

• 投稿邮箱:hr@paperweekly.site 

• 所有文章配图,请单独在附件中发送 

• 请留下即时联系方式(微信或手机),以便我们在编辑发布时和作者沟通



🔍


现在,在「知乎」也能找到我们了

进入知乎首页搜索「PaperWeekly」

点击「关注」订阅我们的专栏吧



关于PaperWeekly


PaperWeekly 是一个推荐、解读、讨论、报道人工智能前沿论文成果的学术平台。如果你研究或从事 AI 领域,欢迎在公众号后台点击「交流群」,小助手将把你带入 PaperWeekly 的交流群里。



登录查看更多
0

相关内容

Attention机制最早是在视觉图像领域提出来的,但是真正火起来应该算是google mind团队的这篇论文《Recurrent Models of Visual Attention》[14],他们在RNN模型上使用了attention机制来进行图像分类。随后,Bahdanau等人在论文《Neural Machine Translation by Jointly Learning to Align and Translate》 [1]中,使用类似attention的机制在机器翻译任务上将翻译和对齐同时进行,他们的工作算是是第一个提出attention机制应用到NLP领域中。接着类似的基于attention机制的RNN模型扩展开始应用到各种NLP任务中。最近,如何在CNN中使用attention机制也成为了大家的研究热点。下图表示了attention研究进展的大概趋势。
专知会员服务
16+阅读 · 2020年7月27日
专知会员服务
43+阅读 · 2020年7月7日
【ICLR 2019】双曲注意力网络,Hyperbolic  Attention Network
专知会员服务
84+阅读 · 2020年6月21日
【CVPR2020】用多样性最大化克服单样本NAS中的多模型遗忘
【CVPR2020-港中文】 图像识别中的自注意力探索
专知会员服务
56+阅读 · 2020年4月29日
注意力图神经网络的多标签文本分类
专知会员服务
112+阅读 · 2020年3月28日
注意力机制介绍,Attention Mechanism
专知会员服务
171+阅读 · 2019年10月13日
一文读懂Attention机制
机器学习与推荐算法
63+阅读 · 2020年6月9日
赛尔笔记 | Attention!注意力机制可解释吗?
哈工大SCIR
23+阅读 · 2019年9月27日
用Attention玩转CV,一文总览自注意力语义分割进展
专栏 | 深入理解图注意力机制
机器之心
25+阅读 · 2019年2月19日
从Seq2seq到Attention模型到Self Attention(二)
量化投资与机器学习
23+阅读 · 2018年10月9日
从Seq2seq到Attention模型到Self Attention(一)
量化投资与机器学习
76+阅读 · 2018年10月8日
Word2Vec与Glove:词嵌入方法的动机和直觉
论智
14+阅读 · 2018年6月23日
一文读懂「Attention is All You Need」| 附代码实现
PaperWeekly
37+阅读 · 2018年1月10日
TensorFlow seq2seq中的Attention机制(续)
深度学习每日摘要
15+阅读 · 2017年11月16日
Factor Graph Attention
Arxiv
6+阅读 · 2019年4月11日
Arxiv
6+阅读 · 2019年4月8日
Arxiv
4+阅读 · 2019年1月1日
Arxiv
27+阅读 · 2017年12月6日
VIP会员
相关VIP内容
专知会员服务
16+阅读 · 2020年7月27日
专知会员服务
43+阅读 · 2020年7月7日
【ICLR 2019】双曲注意力网络,Hyperbolic  Attention Network
专知会员服务
84+阅读 · 2020年6月21日
【CVPR2020】用多样性最大化克服单样本NAS中的多模型遗忘
【CVPR2020-港中文】 图像识别中的自注意力探索
专知会员服务
56+阅读 · 2020年4月29日
注意力图神经网络的多标签文本分类
专知会员服务
112+阅读 · 2020年3月28日
注意力机制介绍,Attention Mechanism
专知会员服务
171+阅读 · 2019年10月13日
相关资讯
一文读懂Attention机制
机器学习与推荐算法
63+阅读 · 2020年6月9日
赛尔笔记 | Attention!注意力机制可解释吗?
哈工大SCIR
23+阅读 · 2019年9月27日
用Attention玩转CV,一文总览自注意力语义分割进展
专栏 | 深入理解图注意力机制
机器之心
25+阅读 · 2019年2月19日
从Seq2seq到Attention模型到Self Attention(二)
量化投资与机器学习
23+阅读 · 2018年10月9日
从Seq2seq到Attention模型到Self Attention(一)
量化投资与机器学习
76+阅读 · 2018年10月8日
Word2Vec与Glove:词嵌入方法的动机和直觉
论智
14+阅读 · 2018年6月23日
一文读懂「Attention is All You Need」| 附代码实现
PaperWeekly
37+阅读 · 2018年1月10日
TensorFlow seq2seq中的Attention机制(续)
深度学习每日摘要
15+阅读 · 2017年11月16日
相关论文
Top
微信扫码咨询专知VIP会员