机器学习中的数学(2)-支持向量机(SVM)基础

2016 年 12 月 27 日 深度学习 datadw


关于SVM的论文、书籍都非常的多,引用强哥的话“SVM是让应用数学家真正得到应用的一种算法”。SVM对于大部分的普通人来说,要完全理解其中的数学是非常困难的,所以要让这些普通人理解,得要把里面的数学知识用简单的语言去讲解才行。而且想明白了这些数学,对学习其他的内容也是大有裨益的。我就是属于绝大多数的普通人,为了看明白SVM,看了不少的资料,这里把我的心得分享分享。

注:本篇文章公式较多,回复“数学”可获取完整word文字版。更多资料加微信:hai299014

其实现在能够找到的,关于SVM的中文资料已经不少了,不过个人觉得,每个人的理解都不太一样,所以还是决定写一写,一些雷同的地方肯定是不可避免的,不过还是希望能够写出一点与别人不一样的地方吧。另外本文准备不谈太多的数学(因为很多文章都谈过了),尽量简单地给出结论,就像题目一样-机器学习中的算法(之前叫做机器学习中的数学),所以本系列的内容将更偏重应用一些。如果想看更详细的数学解释,可以看看参考文献中的资料。


1
线性分类器:

首先给出一个非常非常简单的分类问题(线性可分),我们要用一条直线,将下图中黑色的点和白色的点分开,很显然,图上的这条直线就是我们要求的直线之一(可以有无数条这样的直线)



假如说,我们令黑色的点 = -1, 白色的点 = +1,直线f(x) = w.x + b,这儿的x、w是向量,其实写成这种形式也是等价的f(x) = w1x1 + w2x2 … + wnxn + b, 当向量x的维度=2的时候,f(x) 表示二维空间中的一条直线, 当x的维度=3的时候,f(x) 表示3维空间中的一个平面,当x的维度=n > 3的时候,表示n维空间中的n-1维超平面。这些都是比较基础的内容,如果不太清楚,可能需要复习一下微积分、线性代数的内容。

刚刚说了,我们令黑色白色两类的点分别为+1, -1,所以当有一个新的点x需要预测属于哪个分类的时候,我们用sgn(f(x)),就可以预测了,sgn表示符号函数,当f(x) > 0的时候,sgn(f(x)) = +1, 当f(x) < 0的时候sgn(f(x)) = –1。

但是,我们怎样才能取得一个最优的划分直线f(x)呢?下图的直线表示几条可能的f(x)



一个很直观的感受是,让这条直线到给定样本中最近的点最远,这句话读起来比较拗口,下面给出几个图,来说明一下:

第一种分法:


第二种分法:



这两种分法哪种更好呢?从直观上来说,就是分割的间隙越大越好,把两个类别的点分得越开越好。就像我们平时判断一个人是男还是女,就是很难出现分错的情况,这就是男、女两个类别之间的间隙非常的大导致的,让我们可以更准确的进行分类。在SVM中,称为Maximum Marginal,是SVM的一个理论基础之一。选择使得间隙最大的函数作为分割平面是由很多道理的,比如说从概率的角度上来说,就是使得置信度最小的点置信度最大(听起来很拗口),从实践的角度来说,这样的效果非常好,等等。这里就不展开讲,作为一个结论就ok了,:)

上图被红色和蓝色的线圈出来的点就是所谓的支持向量(support vector)。



上图就是一个对之前说的类别中的间隙的一个描述。Classifier Boundary就是f(x),红色和蓝色的线(plus plane与minus plane)就是support vector所在的面,红色、蓝色线之间的间隙就是我们要最大化的分类间的间隙。


s.t的意思是subject to,也就是在后面这个限制条件下的意思,这个词在svm的论文里面非常容易见到。这个其实是一个带约束的二次规划(quadratic programming, QP)问题,是一个凸问题,凸问题就是指的不会有局部最优解,可以想象一个漏斗,不管我们开始的时候将一个小球放在漏斗的什么位置,这个小球最终一定可以掉出漏斗,也就是得到全局最优解。s.t.后面的限制条件可以看做是一个凸多面体,我们要做的就是在这个凸多面体中找到最优解。这些问题这里不展开,因为展开的话,一本书也写不完。如果有疑问请看看wikipedia。

2
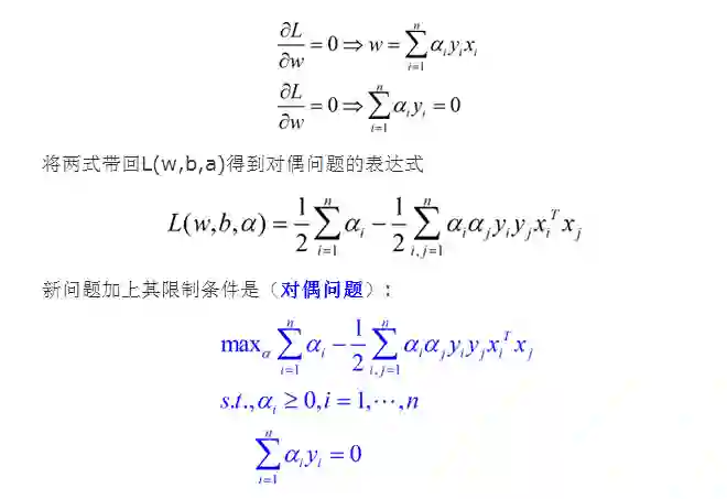
转化为对偶问题,并优化求解:

这个优化问题可以用拉格朗日乘子法去解,使用了KKT条件的理论,这里直接作出这个式子的拉格朗日目标函数:





这个就是我们需要最终优化的式子。至此,得到了线性可分问题的优化式子。

求解这个式子,有很多的方法,比如SMO等等,个人认为,求解这样的一个带约束的凸优化问题与得到这个凸优化问题是比较独立的两件事情,所以在这篇文章中准备完全不涉及如何求解这个话题,如果之后有时间可以补上一篇文章来谈谈:)。

3
线性不可分的情况(软间隔):

接下来谈谈线性不可分的情况,因为线性可分这种假设实在是太有局限性了:

下图就是一个典型的线性不可分的分类图,我们没有办法用一条直线去将其分成两个区域,每个区域只包含一种颜色的点。



要想在这种情况下的分类器,有两种方式,一种是用曲线去将其完全分开,曲线就是一种非线性的情况,跟之后将谈到的核函数有一定的关系:




另外一种还是用直线,不过不用去保证可分性,就是包容那些分错的情况,不过我们得加入惩罚函数,使得点分错的情况越合理越好。其实在很多时候,不是在训练的时候分类函数越完美越好,因为训练函数中有些数据本来就是噪声,可能就是在人工加上分类标签的时候加错了,如果我们在训练(学习)的时候把这些错误的点学习到了,那么模型在下次碰到这些错误情况的时候就难免出错了(假如老师给你讲课的时候,某个知识点讲错了,你还信以为真了,那么在考试的时候就难免出错)。这种学习的时候学到了“噪声”的过程就是一个过拟合(over-fitting),这在机器学习中是一个大忌,我们宁愿少学一些内容,也坚决杜绝多学一些错误的知识。还是回到主题,用直线怎么去分割线性不可分的点:

我们可以为分错的点加上一点惩罚,对一个分错的点的惩罚函数就是这个点到其正确位置的距离:



在上图中,蓝色、红色的直线分别为支持向量所在的边界,绿色的线为决策函数,那些紫色的线表示分错的点到其相应的决策面的距离,这样我们可以在原函数上面加上一个惩罚函数,并且带上其限制条件为:



蓝色的部分是与线性可分的对偶问题表达式的不同之处。在线性不可分情况下得到的对偶问题,不同的地方就是α的范围从[0, +∞),变为了[0, C],增加的惩罚ε没有为对偶问题增加什么复杂度。

4
核函数:

刚刚在谈不可分的情况下,提了一句,如果使用某些非线性的方法,可以得到将两个分类完美划分的曲线,比如接下来将要说的核函数。

我们可以让空间从原本的线性空间变成一个更高维的空间,在这个高维的线性空间下,再用一个超平面进行划分。这儿举个例子,来理解一下如何利用空间的维度变得更高来帮助我们分类的(例子以及图片来自pluskid的kernel函数部分):

下图是一个典型的线性不可分的情况



用另外一个哲学例子来说:世界上本来没有两个完全一样的物体,对于所有的两个物体,我们可以通过增加维度来让他们最终有所区别,比如说两本书,从(颜色,内容)两个维度来说,可能是一样的,我们可以加上 作者 这个维度,是在不行我们还可以加入 页码,可以加入 拥有者,可以加入 购买地点,可以加入 笔记内容等等。当维度增加到无限维的时候,一定可以让任意的两个物体可分了。

回忆刚刚得到的对偶问题表达式:



上面这个核称为多项式核,下面这个核称为高斯核,高斯核甚至是将原始空间映射为无穷维空间,另外核函数有一些比较好的性质,比如说不会比线性条件下增加多少额外的计算量,等等,这里也不再深入。一般对于一个问题,不同的核函数可能会带来不同的结果,一般是需要尝试来得到的。

5
一些其他的问题:

1)如何进行多分类问题:

上面所谈到的分类都是2分类的情况,当N分类的情况下,主要有两种方式,一种是1 vs (N – 1)一种是1 vs 1,前一种方法我们需要训练N个分类器,第i个分类器是看看是属于分类i还是属于分类i的补集(出去i的N-1个分类)。

后一种方式我们需要训练N * (N – 1) / 2个分类器,分类器(i,j)能够判断某个点是属于i还是属于j。

这种处理方式不仅在SVM中会用到,在很多其他的分类中也是被广泛用到,从林教授(libsvm的作者)的结论来看,1 vs 1的方式要优于1 vs (N – 1)。

2)SVM会overfitting吗?

SVM避免overfitting,一种是调整之前说的惩罚函数中的C,另一种其实从式子上来看,min ||w||^2这个看起来是不是很眼熟?在最小二乘法回归的时候,我们看到过这个式子,这个式子可以让函数更平滑,所以SVM是一种不太容易over-fitting的方法。


(本文由LeftNotEasy所有,发布于http://leftnoteasy.cnblogs.com)

注:本篇文章公式较多,回复“数学”可获取完整word文字版。更多资料加微信:hai299014


~~数据挖掘资料书籍放在小天猫校园,小编很认真地提醒大家

【1】一定要在订单的备注栏填写邮箱,以便通过邮箱发资料;

【2】如果订单在微店支付不了,请加小编个人微信:hai299014 发给小编微信红包也可以。

(点击“阅读原文”,获取资料

登录查看更多
0

相关内容

在机器学习中,支持向量机(SVM,也称为支持向量网络)是带有相关学习算法的监督学习模型,该算法分析用于分类和回归分析的数据。支持向量机(SVM)算法是一种流行的机器学习工具,可为分类和回归问题提供解决方案。给定一组训练示例,每个训练示例都标记为属于两个类别中的一个或另一个,则SVM训练算法会构建一个模型,该模型将新示例分配给一个类别或另一个类别,使其成为非概率二进制线性分类器(尽管方法存在诸如Platt缩放的问题,以便在概率分类设置中使用SVM)。SVM模型是将示例表示为空间中的点,并进行了映射,以使各个类别的示例被尽可能宽的明显间隙分开。然后,将新示例映射到相同的空间,并根据它们落入的间隙的侧面来预测属于一个类别。

知识荟萃

精品入门和进阶教程、论文和代码整理等

更多

查看相关VIP内容、论文、资讯等
干货书《数据科学数学系基础》2020最新版,266页pdf
专知会员服务
322+阅读 · 2020年3月23日
机器学习速查手册,135页pdf
专知会员服务
345+阅读 · 2020年3月15日
《深度学习》圣经花书的数学推导、原理与Python代码实现
【经典书】精通机器学习特征工程,中文版,178页pdf
专知会员服务
360+阅读 · 2020年2月15日
专知会员服务
118+阅读 · 2019年12月24日
【机器学习课程】Google机器学习速成课程
专知会员服务
170+阅读 · 2019年12月2日
从零推导支持向量机 (SVM)
AI科技评论
10+阅读 · 2019年2月7日
【收藏】支持向量机原理详解+案例+代码!【点击阅读原文下载】
机器学习算法与Python学习
10+阅读 · 2018年9月13日
决策树
Datartisan数据工匠
4+阅读 · 2018年4月19日
【机器学习理论】我所理解的 SVM(支持向量机)- 1
机器学习研究会
5+阅读 · 2018年3月16日
动手写机器学习算法:SVM支持向量机(附代码)
七月在线实验室
12+阅读 · 2017年12月5日
【直观详解】支持向量机SVM
机器学习研究会
18+阅读 · 2017年11月8日
机器学习(18)之支持向量机原理(三)线性不可分支持向量机与核函数
机器学习算法与Python学习
3+阅读 · 2017年9月23日
机器学习(16)之支持向量机原理(二)软间隔最大化
机器学习算法与Python学习
6+阅读 · 2017年9月8日
机器学习(15)之支持向量机原理(一)线性支持向量机
机器学习算法与Python学习
6+阅读 · 2017年9月1日
机器学习(13)之最大熵模型详解
机器学习算法与Python学习
7+阅读 · 2017年8月24日
Adaptive Neural Trees
Arxiv
4+阅读 · 2018年12月10日
Arxiv
19+阅读 · 2018年6月27日
Arxiv
5+阅读 · 2016年12月29日
VIP会员
相关VIP内容
干货书《数据科学数学系基础》2020最新版,266页pdf
专知会员服务
322+阅读 · 2020年3月23日
机器学习速查手册,135页pdf
专知会员服务
345+阅读 · 2020年3月15日
《深度学习》圣经花书的数学推导、原理与Python代码实现
【经典书】精通机器学习特征工程,中文版,178页pdf
专知会员服务
360+阅读 · 2020年2月15日
专知会员服务
118+阅读 · 2019年12月24日
【机器学习课程】Google机器学习速成课程
专知会员服务
170+阅读 · 2019年12月2日
相关资讯
从零推导支持向量机 (SVM)
AI科技评论
10+阅读 · 2019年2月7日
【收藏】支持向量机原理详解+案例+代码!【点击阅读原文下载】
机器学习算法与Python学习
10+阅读 · 2018年9月13日
决策树
Datartisan数据工匠
4+阅读 · 2018年4月19日
【机器学习理论】我所理解的 SVM(支持向量机)- 1
机器学习研究会
5+阅读 · 2018年3月16日
动手写机器学习算法:SVM支持向量机(附代码)
七月在线实验室
12+阅读 · 2017年12月5日
【直观详解】支持向量机SVM
机器学习研究会
18+阅读 · 2017年11月8日
机器学习(18)之支持向量机原理(三)线性不可分支持向量机与核函数
机器学习算法与Python学习
3+阅读 · 2017年9月23日
机器学习(16)之支持向量机原理(二)软间隔最大化
机器学习算法与Python学习
6+阅读 · 2017年9月8日
机器学习(15)之支持向量机原理(一)线性支持向量机
机器学习算法与Python学习
6+阅读 · 2017年9月1日
机器学习(13)之最大熵模型详解
机器学习算法与Python学习
7+阅读 · 2017年8月24日
Top
微信扫码咨询专知VIP会员