From Word Embeddings To Document Distances 阅读笔记

2020 年 3 月 21 日 AINLP

作者:张贵发 

研究方向:自然语言处理





本文主要解决文本相似度问题,在word2vec, BOW的基础上提出了WMD模型(Word Mover’s Distance),主要思想是将A文档中的每个词,通过最小距离的转移到B文档中对应的词,最终将每个距离相加,作为衡量两个文档的距离。WMD是无超参数的,而且可解释性高。在一些nlp任务中取得了不错效果。

背景介绍:

解决这类问题的常见思路如下:

  • 文档最常用的两种表示方式BOW和TF-IDF。但是,这些特性通常不适合文档距离,因为它们经常接近正交性,它们无法捕捉单词之间的距离。
  • 特征分解 如LSI Latent Semantic Indexing通过特征值分解求解词袋矩阵得到语义特征空间  生成模型
  • 如LDA,尽可能可能将相似词分组为主题,并将文档表示为这些主题的分布 其他,如mSDA,CCG等 Word2Vec Embedding

WMD是基于word2vec的欧式距离来计算文档的距离的。我们首先要知道什么是word2vec。

  • word2vec是一种词向量
  • Word的相似性来自与周围的word
  • 可以直接下载已经与训练好的word2vec词向量

一种训练方式是根据当前词,预测周围的词,数学上的表达即使得给定当前词时,周围词的概率最大,目标函数如下:

可以捕捉到word之间的距离信息,语义相同的word,映射到向量的空间,也是相近的。看一个简单的例子。1、”king brave man” 2、”queen beautiful woman” 窗口大小为1时,我们有这样的训练数据:

在这里插入图片描述

在输入中,周围的单词成为网络的目标,通过训练得到如下结果,语义相相近的词被映射到的区域也是相近的。而且还可以进行简单的语义计算。king - man + woman =queen [1,1] - [1,3 ]+ [5,7]      =[5,5]

WMD

WMD使用了归一化的BOW。给定例子如下:

  • D0: The President greets the press in Chicago
  • D1: Obama speaks to the media in lllinois
  • D2: The band gave a concert in Japan
  • D3: Obama speaks in lllinois

首先需要进行的处理是去除停用词,然后进行bow的归一化如下:[President ,greets,  press,  Chicago, Obama, speaks  media,lllinois, band ,gave, concert  Japan]

  • D0:  President greets  press Chicago [0.25 ,0.25 ,0.25 ,0.25,0,0,...]
  • D1: Obama speaks media  lllinois  [0,..., 0.25 ,0.25 ,0.25 ,0.25 ,0,0,...]
  • D2:band gave  concert  Japan [0,..., 0.25 ,0.25 ,0.25 ,0.25]
  • D3: Obama speaks  lllinois [0,..., 0.33 ,0.33 ,0.33,0 ,0,...,0]

我们不需要零值,进行去除。

  • D0:  President greets  press Chicago [0.25 ,0.25 ,0.25 ,0.25]
  • D1:Obama speaks media  lllinois  [0.25 ,0.25 ,0.25 ,0.25]
  • D2:band gave concert  Japan [ 0.25 ,0.25 ,0.25 ,0.25]
  • D3: Obama speaks  lllinois[0.33 ,0.33 ,0.33,0]

我们寻找每个词对应最相近的词作为该词的距离。如Obama最相近的是President,那么我们将计算他们之间的距离作为这对pair的距离。依次寻找到所有词对应的相近词距离,最终相加作为最终结果。

对于长度不同的例子时,会出现交叉项,如:那么数学的角度怎么理解呢?先来看一下每个项代表的含义。目标函数和条件如下:我们要对   进行加权求和,求出最小值。约束条件保证所有转移的权重之和与该词在文档中占的权重值相同。在WMD的求解过程中存在什么问题呢?

计算两个文档之间的 WMD 距离相当于求解一个大型的线性规划问题,要是用它来做 kNN  就比较耗时了。文章接下来便考虑了 WMD 两个计算比较方便的下界,方便在kNN 的时候做加速,如果当前待检查文档跟中心 query 文档的 WMD 下界已经大到可以确定它不在 ,query 文档的kNN 列表里,那就直接扔掉而不用再花时间求当前文档的 WMD 距离了。

Word Centroid Distance(WCD):

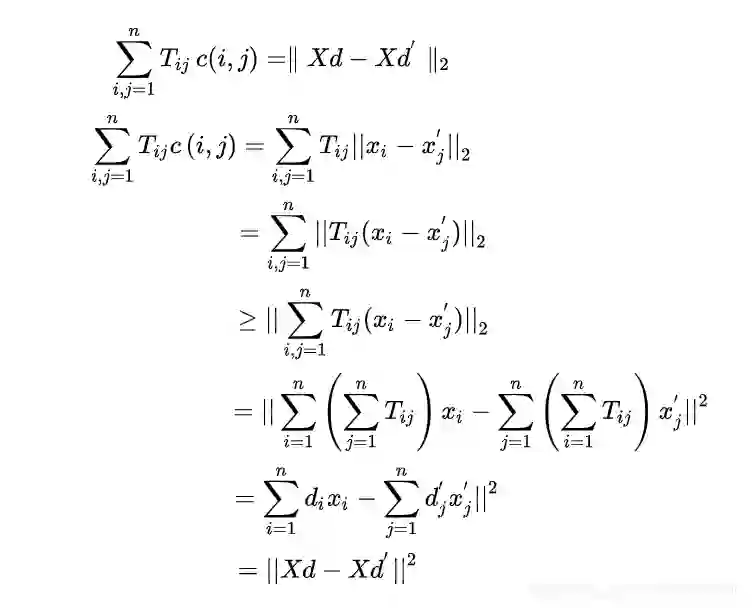
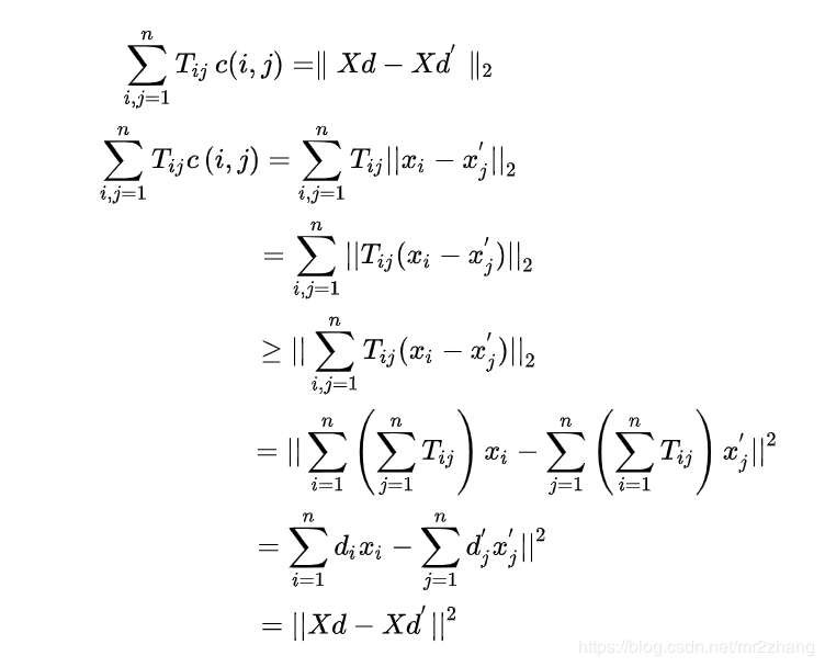
根据三角不等式,文档d和d′之间的质心距离 为其WMD距离的下界(lower bound),WCD算法的复杂度为 ,WMD用WCD的计算来作为下界。

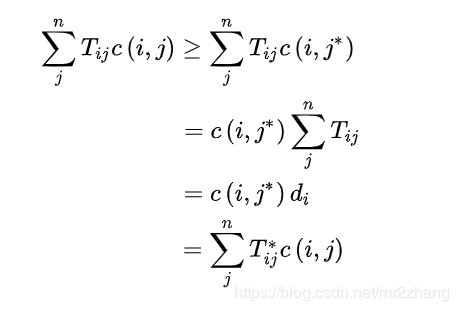
Relaxed word moving distance (RWMD)

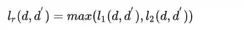
RWMD即去掉了WMD中的一个约束条件,只留下一个约束条件。目标变成如下:只考虑从文档出发转移到另一个文档的权重总和,不考虑另一个文档词语接收到的权重,那么很明显最优解将会是:当找到最近的词i(距离j最近)时,权重是  ,距离j次相近和其他相近的权重为0。定义 ,即词i与另一个文档中距离最小的词j,记为 ,对于单个词i来说距离为因此, 必能生成最小损失。计算该解仅需确定   ,可在欧氏word2vec空间中做最近邻搜索。对文档D中的每个词向量  ,需要找到文档D′中的最相似的词向量   。若移除第一个约束,最近邻搜索过程相反,即对文档D′中的每个词向量   ,需要找到文档D中的最相似的词向量  ,令两者分别为 ,通过取二者中的最大值,可得到更紧致的下界,称为松弛WMD(Relaxed WMD,RWMD):从图中我们可以看出WCD作为下界,与WMD的差距还是很大的,RWMD比较接近与WMD但是计算较慢,怎么合理应用这两种算法?

预取和裁剪

最后是如何利用这两个下界做所谓的 prefetch and prune 来为kNN   加速:给定 query 文档\mathbf{d}后,

  1. 用 WCD 取离它最近的m个文档;
  2. 计算前k个文档的 WMD;
  3. 计算剩下文档的 RWMD,如果某个文档的 RWMD 大于 k-NN 列表中第k个文档的 WMD 就扔掉,不然就计算它的 WMD。如果发现在 k-NN 列表中就更新 k-NN 列表,不然也扔掉。

实验:

实验主要比较7种文档表示baseline:,BOW、TFIDF、BM25 Okapi、LSI、LDA、mSDA、CCG 在不同数据上的错误率。上图中展示在不同数据集上KNN分类的错误率,除了ohsumed中WMD与LSI的错误率持平,WMD在其他的数据集中都是低于其他方法的。上图展示了相对于原始的WMD,利用下界后的提升速度。

总结与展望:

WMD在文档的相似度计算中确实取得了一定进展,具有如下优点:

  • 效果出色:充分利用了word2vec的领域迁移能力
  • 无监督:不依赖标注数据,没有冷启动问题
  • 模型简单:仅需要词向量的结果作为输入,没有任何超参数
  • 可解释性:将问题转化成线性规划,有全局最优解
  • 灵活性:可以人为干预词的重要性

缺点:

  • BOW,没有保留语序信息
  • 不能很好的处理词向量的OOV(Out of vocabulary)问题
  • 处理否定词能力偏差
  • 处理领域同义词互斥词的能力偏差

在WMD中,向量d的每一位代表词在文本中的词频进行归一化,因此在排除出现次数的影响因素的情况下,不同词对于文本的贡献是一样的。但实际上在一条文本中,不同词的重要性是不一样的,因此我们可以尝试使用tf-idf与bm25进行进一步优化。

5. 参考文献

WMD: http://proceedings.mlr.press/v37/kusnerb15.pdf ↩  理解WMD算法:https://supernan1994.github.io/nlp/wmd1.html 文本相似度度量:https://zhuanlan.zhihu.com/p/76958536 https://www.zhihu.com/question/33952003


本文由作者授权AINLP原创发布于公众号平台,欢迎投稿,AI、NLP均可。原文链接,点击"阅读原文"直达:


https://blog.csdn.net/mr2zhang/article/details/104874561


推荐阅读

AINLP年度阅读收藏清单

模型压缩实践系列之——bert-of-theseus,一个非常亲民的bert压缩方法

模型压缩实践系列之——layer dropout

模型压缩真的有用吗

BottleSum——文本摘要论文系列解读

抛开模型,探究文本自动摘要的本质——ACL2019 论文佳作研读系列

关于AINLP

AINLP 是一个有趣有AI的自然语言处理社区,专注于 AI、NLP、机器学习、深度学习、推荐算法等相关技术的分享,主题包括文本摘要、智能问答、聊天机器人、机器翻译、自动生成、知识图谱、预训练模型、推荐系统、计算广告、招聘信息、求职经验分享等,欢迎关注!加技术交流群请添加AINLP君微信(id:AINLP2),备注工作/研究方向+加群目的。


登录查看更多
0

相关内容

分散式表示即将语言表示为稠密、低维、连续的向量。 研究者最早发现学习得到词嵌入之间存在类比关系。比如apple−apples ≈ car−cars, man−woman ≈ king – queen 等。这些方法都可以直接在大规模无标注语料上进行训练。词嵌入的质量也非常依赖于上下文窗口大小的选择。通常大的上下文窗口学到的词嵌入更反映主题信息,而小的上下文窗口学到的词嵌入更反映词的功能和上下文语义信息。
【论文推荐】文本摘要简述
专知会员服务
69+阅读 · 2020年7月20日
零样本文本分类,Zero-Shot Learning for Text Classification
专知会员服务
97+阅读 · 2020年5月31日
论文浅尝 | Global Relation Embedding for Relation Extraction
开放知识图谱
12+阅读 · 2019年3月3日
论文浅尝 | 基于RNN与相似矩阵CNN的知识库问答
开放知识图谱
8+阅读 · 2018年5月29日
干货|自然语言处理中的词向量 — word2vec!
全球人工智能
7+阅读 · 2018年1月25日
用线性规划去计算句子之间的相似度
AI研习社
9+阅读 · 2017年12月27日
【干货】卷积神经网络CNN学习笔记
机器学习研究会
15+阅读 · 2017年12月17日
Word2Vec 与 GloVe 技术浅析与对比
LibRec智能推荐
25+阅读 · 2017年5月15日
自然语言处理 (三) 之 word embedding
DeepLearning中文论坛
19+阅读 · 2015年8月3日
Talking-Heads Attention
Arxiv
15+阅读 · 2020年3月5日
Arxiv
3+阅读 · 2018年8月27日
Arxiv
7+阅读 · 2018年1月30日
Arxiv
5+阅读 · 2017年10月27日
VIP会员
相关资讯
论文浅尝 | Global Relation Embedding for Relation Extraction
开放知识图谱
12+阅读 · 2019年3月3日
论文浅尝 | 基于RNN与相似矩阵CNN的知识库问答
开放知识图谱
8+阅读 · 2018年5月29日
干货|自然语言处理中的词向量 — word2vec!
全球人工智能
7+阅读 · 2018年1月25日
用线性规划去计算句子之间的相似度
AI研习社
9+阅读 · 2017年12月27日
【干货】卷积神经网络CNN学习笔记
机器学习研究会
15+阅读 · 2017年12月17日
Word2Vec 与 GloVe 技术浅析与对比
LibRec智能推荐
25+阅读 · 2017年5月15日
自然语言处理 (三) 之 word embedding
DeepLearning中文论坛
19+阅读 · 2015年8月3日
Top
微信扫码咨询专知VIP会员