Word2Vec还可以这样图解

2017 年 8 月 23 日 人工智能头条 Shenglei

Word2Vec的含义


一个单词,神经网络理解不了,需要人转换成数字再喂给它。最naive的方式就是one-hot,但是太过于稀疏,不好。所以在改进一下,把one-hot进一步压缩成一个dense vector。

word2vec算法就是根据上下文预测单词,从而获得词向量矩阵。

预测单词的任务只是一个幌子,我们需要的结果并不是预测出来的单词,而是通过预测单词这个任务,不断更新着的参数矩阵weights。

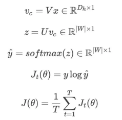
预测任务由一个简单的三层神经网络来完成,其中有两个参数矩阵V与U,V∈RDh*|W|,U∈R|W|*Dh

V是输入层到隐藏层的矩阵,又被称为look-up table(因为,输入的是one-hot向量,一个one-hot向量乘以一个矩阵相当于取了这个矩阵的其中一列。将其中的每一列看成是词向量)

U是隐藏层到输出层的矩阵,又被称为word representation matrix(将其中的每一行看成是词向量

最后需要的词向量矩阵是将两个词向量矩阵相加 =V+UT,然后每一列就是词向量。

两种实现方法


2.1. Skip-Gram


训练任务:根据中心词,预测出上下文词 


输入:一个中心词(center word,x∈R|W|*1)


参数:一个look up table V∈RDh*|W|,一个word representation matrix U∈R|W|*Dh



Skip-Gram步骤图:



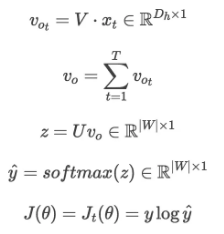
2.2. CBOW

与Skip-Gram相反,是通过完成上下文词预测中心词的任务来训练词向量的。


CBOW步骤图:




CSDN AI热衷分享 欢迎扫码关注 

登录查看更多
9

相关内容

分散式表示即将语言表示为稠密、低维、连续的向量。 研究者最早发现学习得到词嵌入之间存在类比关系。比如apple−apples ≈ car−cars, man−woman ≈ king – queen 等。这些方法都可以直接在大规模无标注语料上进行训练。词嵌入的质量也非常依赖于上下文窗口大小的选择。通常大的上下文窗口学到的词嵌入更反映主题信息,而小的上下文窗口学到的词嵌入更反映词的功能和上下文语义信息。
一份简明有趣的Python学习教程,42页pdf
专知会员服务
77+阅读 · 2020年6月22日
斯坦福大学经典《自然语言处理cs224n》2020课件合集
专知会员服务
97+阅读 · 2020年5月25日
注意力图神经网络的多标签文本分类
专知会员服务
112+阅读 · 2020年3月28日
Transformer文本分类代码
专知会员服务
118+阅读 · 2020年2月3日
【强化学习】深度强化学习初学者指南
专知会员服务
183+阅读 · 2019年12月14日
一步步理解BERT
AINLP
34+阅读 · 2019年6月19日
深度上下文词向量
微信AI
27+阅读 · 2018年9月13日
基于 Doc2vec 训练句子向量
AI研习社
6+阅读 · 2018年5月16日
不懂 word2vec,还敢说自己是做 NLP 的?
AI研习社
8+阅读 · 2018年5月4日
学习 | word2vec的前世今生
菜鸟的机器学习
14+阅读 · 2018年3月21日
干货|自然语言处理中的词向量 — word2vec!
全球人工智能
7+阅读 · 2018年1月25日
基础|Word2vec的原理介绍
全球人工智能
10+阅读 · 2018年1月4日
基于典型相关分析的词向量
AI研习社
7+阅读 · 2017年12月24日
Word2Vec 与 GloVe 技术浅析与对比
LibRec智能推荐
25+阅读 · 2017年5月15日
字词的向量表示
黑龙江大学自然语言处理实验室
4+阅读 · 2016年6月13日
Visualizing and Measuring the Geometry of BERT
Arxiv
7+阅读 · 2019年10月28日
Physical Primitive Decomposition
Arxiv
4+阅读 · 2018年9月13日
Arxiv
4+阅读 · 2018年9月6日
Arxiv
22+阅读 · 2018年8月30日
Arxiv
5+阅读 · 2017年10月27日
Arxiv
24+阅读 · 2017年3月9日
VIP会员
相关VIP内容
一份简明有趣的Python学习教程,42页pdf
专知会员服务
77+阅读 · 2020年6月22日
斯坦福大学经典《自然语言处理cs224n》2020课件合集
专知会员服务
97+阅读 · 2020年5月25日
注意力图神经网络的多标签文本分类
专知会员服务
112+阅读 · 2020年3月28日
Transformer文本分类代码
专知会员服务
118+阅读 · 2020年2月3日
【强化学习】深度强化学习初学者指南
专知会员服务
183+阅读 · 2019年12月14日
相关资讯
一步步理解BERT
AINLP
34+阅读 · 2019年6月19日
深度上下文词向量
微信AI
27+阅读 · 2018年9月13日
基于 Doc2vec 训练句子向量
AI研习社
6+阅读 · 2018年5月16日
不懂 word2vec,还敢说自己是做 NLP 的?
AI研习社
8+阅读 · 2018年5月4日
学习 | word2vec的前世今生
菜鸟的机器学习
14+阅读 · 2018年3月21日
干货|自然语言处理中的词向量 — word2vec!
全球人工智能
7+阅读 · 2018年1月25日
基础|Word2vec的原理介绍
全球人工智能
10+阅读 · 2018年1月4日
基于典型相关分析的词向量
AI研习社
7+阅读 · 2017年12月24日
Word2Vec 与 GloVe 技术浅析与对比
LibRec智能推荐
25+阅读 · 2017年5月15日
字词的向量表示
黑龙江大学自然语言处理实验室
4+阅读 · 2016年6月13日
相关论文
Visualizing and Measuring the Geometry of BERT
Arxiv
7+阅读 · 2019年10月28日
Physical Primitive Decomposition
Arxiv
4+阅读 · 2018年9月13日
Arxiv
4+阅读 · 2018年9月6日
Arxiv
22+阅读 · 2018年8月30日
Arxiv
5+阅读 · 2017年10月27日
Arxiv
24+阅读 · 2017年3月9日
Top
微信扫码咨询专知VIP会员