字词的向量表示

2016 年 6 月 13 日 黑龙江大学自然语言处理实验室

Vector Representations of Words

在本教程我们来看一下tensorflow/g3doc/tutorials/word2vec/word2vec_basic.py查看到一个最简单的实现。这个基本的例子提供的代码可以完成下载一些数据,简单训练后展示结果。一旦你觉得已经完全掌握了这个简单版本,你可以查看向量空间模型 (VSMs)将词汇表达(嵌套)于一个连续的向量空间中,语义近似的词汇被映射为相邻的数据点。向量空间模型在自然语言处理领域中有着漫长且丰富的历史,不过几乎所有利用这一模型的方法都依赖于 潜在语义分析), 和 预测方法 (e.g. Baroni et al.,不过简而言之:基于计数的方法计算某词汇与其邻近词汇在一个大型语料库中共同出现的频率及其他统计量,然后将这些统计量映射到一个小型且稠密的向量中。预测方法则试图直接从某词汇的邻近词汇对其进行预测,在此过程中利用已经学习到的小型且稠密的嵌套向量

Word2vec是一种可以进行高效率词嵌套学习的预测模型。其两种变体分别为:连续词袋模型(CBOW)及Skip-Gram模型。从算法角度看,这两种方法非常相似,其区别为CBOW根据源词上下文词汇('the cat sits on the')来预测目标词汇(例如,‘mat’),而Skip-Gram模型做法相反,它通过目标词汇来预测源词汇。Skip-Gram模型采取CBOW的逆过程的动机在于:CBOW算法对于很多分布式信息进行了平滑处理(例如将一整段上下文信息视为一个单一观察量)。很多情况下,对于小型的数据集,这一处理是有帮助的。相形之下,Skip-Gram模型将每个“上下文-目标词汇”的组合视为一个新观察量,这种做法在大型数据集中会更为有效。本教程余下部分将着重讲解Skip-Gram模型。

处理噪声对比训练

神经概率化语言模型通常使用softmax function 来最大化当提供前一个单词 h(代表 "history"),后一个单词的概率  (代表 "target"),

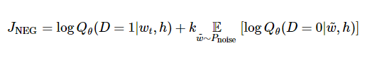
当 score(w_t,h) 计算了文字 w_t 和 上下文 h 的相容性(通常使用向量积)。我们使用对数似然函数来训练训练集的最大值,比如通过:

这里提出了一个解决语言概率模型的合适的通用方法。然而这个方法实际执行起来开销非常大,因为我们需要去计算并正则化当前上下文环境 h 中所有其他 V 单词 w' 的概率得分,在每一步训练迭代中

从另一个角度来说,当使用word2vec模型时,我们并不需要对概率模型中的所有特征进行学习。而CBOW模型和Skip-Gram模型为了避免这种情况发生,使用一个二分类器(逻辑回归)在同一个上下文环境里从 k 虚构的 (噪声) 单词 区分出真正的目标单词 。我们下面详细阐述一下CBOW模型,对于Skip-Gram模型只要简单地做相反的操作即可。

从数学角度来说,我们的目标是对每个样本最大化:

其中  代表的是数据集在当前上下文 h ,根据所学习的嵌套向量  ,目标单词 w 使用二分类逻辑回归计算得出的概率。在实践中,我们通过在噪声分布中绘制比对文字来获得近似的期望值(通过计算负抽样,而且使用这个损失函数在数学层面上也有很好的解释:这个更新过程也近似于softmax函数的更新。这在计算上将会有很大的优势,因为当计算这个损失函数时,只是有我们挑选出来的 k 个 噪声单词,而没有使用整个语料库 V。这使得训练变得非常快。我们实际上使用了与Levy et al.,比如说把目标单词左边的内容当做一个‘上下文’,或者以目标单词右边的内容,等等。现在我们把目标单词的左右单词视作一个上下文, 使用大小为1的窗口,这样就得到这样一个由(上下文, 目标单词) 组成的数据集:

([the, brown], quick), ([quick, fox], brown), ([brown, jumped], fox), ...

前文提到Skip-Gram模型是把目标单词和上下文颠倒过来,所以在这个问题中,举个例子,就是用'quick'来预测 'the' 和 'brown' ,用 'brown' 预测 'quick' 和 'brown' 。因此这个数据集就变成由(输入, 输出)组成的:

(quick, the), (quick, brown), (brown, quick), (brown, fox), ...

目标函数通常是对整个数据集建立的,但是本问题中要对每一个样本(或者是一个batch_size 很小的样本集,通常设置为16 <= batch_size <= 512)在同一时间执行特别的操作,称之为t-SNE 降纬技术。当我们用可视化的方式来观察这些向量,就可以很明显的获取单词之间语义信息的关系,这实际上是非常有用的。当我们第一次发现这样的诱导向量空间中,展示了一些特定的语义关系,这是非常有趣的,比如文字中 male-femalegender 甚至还有 country-capital的关系, 如下方的图所示 (也可以参考 Collobert et al.或者 tensorflow/g3doc/tutorials/word2vec/word2vec_basic.py)。Skip-Gram模型有两个输入。一个是一组用整型表示的上下文单词,另一个是目标单词。给这些输入建立占位符节点,之后就可以填入数据了。

# 建立输入占位符
train_inputs = tf.placeholder(tf.int32, shape=[batch_size])
train_labels = tf.placeholder(tf.int32, shape=[batch_size, 1])

然后我们需要对批数据中的单词建立嵌套向量,TensorFlow提供了方便的工具函数。

embed = tf.nn.embedding_lookup(embeddings, train_inputs)

好了,现在我们有了每个单词的嵌套向量,接下来就是使用噪声-比对的训练方式来预测目标单词。

# 计算 NCE 损失函数, 每次使用负标签的样本.
loss = tf.reduce_mean(
  tf.nn.nce_loss(nce_weights, nce_biases, embed, train_labels,
                 num_sampled, vocabulary_size))

我们对损失函数建立了图形节点,然后我们需要计算相应梯度和更新参数的节点,比如说在这里我们会使用随机梯度下降法,TensorFlow也已经封装好了该过程。

# 使用 SGD 控制器.
optimizer = tf.train.GradientDescentOptimizer(learning_rate=1.0).minimize(loss)

训练模型

训练的过程很简单,只要在循环中使用feed_dict不断给占位符填充数据,同时调用 session.run即可。

for inputs, labels in generate_batch(...):
  feed_dict = {training_inputs: inputs, training_labels: labels}
  _, cur_loss = session.run([optimizer, loss], feed_dict=feed_dict)

完整地例子可参考 tensorflow/g3doc/tutorials/word2vec/word2vec_basic.py.

嵌套学习结果可视化

使用t-SNE来看一下嵌套学习完成的结果。

Et voila! 与预期的一样,相似的单词被聚类在一起。对word2vec模型更复杂的实现需要用到TensorFlow一些更高级的特性,具体是实现可以参考 Mikolov and colleagues,数据集下载地址为:tensorflow/models/embedding/word2vec.py.

超参数的选择对该问题解决的准确性有巨大的影响。想要模型具有很好的表现,需要有一个巨大的训练数据集,同时仔细调整参数的选择并且使用例如二次抽样的一些技巧。不过这些问题已经超出了本教程的范围。

优化实现

以上简单的例子展示了TensorFlow的灵活性。比如说,我们可以很轻松得用现成的tf.nn.sampled_softmax_loss()来代替tf.nn.nce_loss()构成目标函数。如果你对损失函数想做新的尝试,你可以用TensorFlow手动编写新的目标函数的表达式,然后用控制器执行计算。这种灵活性的价值体现在,当我们探索一个机器学习模型时,我们可以很快地遍历这些尝试,从中选出最优。

一旦你有了一个满意的模型结构,或许它就可以使实现运行地更高效(在短时间内覆盖更多的数据)。比如说,在本教程中使用的简单代码,实际运行速度都不错,因为我们使用Python来读取和填装数据,而这些在TensorFlow后台只需执行非常少的工作。如果你发现你的模型在输入数据时存在严重的瓶颈,你可以根据自己的实际问题自行实现一个数据阅读器,参考 新的数据格式。对于Skip-Gram 模型,我们已经完成了如下这个例子tensorflow/models/embedding/word2vec_optimized.py。请自行调节以上几个过程的标准,使模型在每个运行阶段有更好地性能。

总结

在本教程中我们介绍了word2vec模型,它在解决词嵌套问题中具有良好的性能。我们解释了使用词嵌套模型的实用性,并且讨论了如何使用TensorFlow实现该模型的高效训练。总的来说,我们希望这个例子能够让向你展示TensorFlow可以提供实验初期的灵活性,以及在后期优化模型时对模型内部的可操控性。

原文地址:https://github.com/tensorflow/tensorflow/blob/master/tensorflow/g3doc/tutorials/word2vec/index.md 校对:waiwaizheng



登录查看更多
4

相关内容

连续词袋模型(CBOW),利用上下文或周围的单词来预测中心词。其输入为某一个特征词的上下文相关对应的词向量(单词的one-hot编码);输出为这特定的一个词的词向量(单词的one-hot编码)。
【MIT-ICML2020】图神经网络的泛化与表示的局限
专知会员服务
43+阅读 · 2020年6月23日
【斯坦福大学-论文】实体上下文关系路径的知识图谱补全
Transformer文本分类代码
专知会员服务
118+阅读 · 2020年2月3日
深度上下文词向量
微信AI
27+阅读 · 2018年9月13日
Word2Vec与Glove:词嵌入方法的动机和直觉
论智
14+阅读 · 2018年6月23日
基于 Doc2vec 训练句子向量
AI研习社
6+阅读 · 2018年5月16日
干货|自然语言处理中的词向量 — word2vec!
全球人工智能
7+阅读 · 2018年1月25日
情感分析的新方法,使用word2vec对微博文本进行情感分析和分类
数据挖掘入门与实战
22+阅读 · 2018年1月6日
基础|Word2vec的原理介绍
全球人工智能
10+阅读 · 2018年1月4日
机器学习(19)之支持向量回归机
机器学习算法与Python学习
12+阅读 · 2017年10月3日
Word2Vec还可以这样图解
人工智能头条
9+阅读 · 2017年8月23日
Word2Vec 与 GloVe 技术浅析与对比
LibRec智能推荐
25+阅读 · 2017年5月15日
Domain Representation for Knowledge Graph Embedding
Arxiv
14+阅读 · 2019年9月11日
Arxiv
4+阅读 · 2018年9月6日
Arxiv
3+阅读 · 2018年2月12日
Arxiv
8+阅读 · 2018年1月30日
VIP会员
相关资讯
深度上下文词向量
微信AI
27+阅读 · 2018年9月13日
Word2Vec与Glove:词嵌入方法的动机和直觉
论智
14+阅读 · 2018年6月23日
基于 Doc2vec 训练句子向量
AI研习社
6+阅读 · 2018年5月16日
干货|自然语言处理中的词向量 — word2vec!
全球人工智能
7+阅读 · 2018年1月25日
情感分析的新方法,使用word2vec对微博文本进行情感分析和分类
数据挖掘入门与实战
22+阅读 · 2018年1月6日
基础|Word2vec的原理介绍
全球人工智能
10+阅读 · 2018年1月4日
机器学习(19)之支持向量回归机
机器学习算法与Python学习
12+阅读 · 2017年10月3日
Word2Vec还可以这样图解
人工智能头条
9+阅读 · 2017年8月23日
Word2Vec 与 GloVe 技术浅析与对比
LibRec智能推荐
25+阅读 · 2017年5月15日
Top
微信扫码咨询专知VIP会员