论文小综 | Attention in Graph Neural Networks

2021 年 5 月 10 日 图与推荐

本文作者:方尹、杨海宏,浙江大学在读博士,主要研究方向为图表示学习


近年来,图卷积神经网络(Graph Convolutional Network, GCN)利用图卷积从图结构数据中提取特征,成功应用于节点分类、图分类、链接预测等任务,用途广泛。GCN在一系列任务中取得突破性进展的同时,其局限性也被放大:GCN擅长处理transductive任务(训练与测试阶段都基于同样的数据),但难以完成inductive任务(训练与测试阶段需要处理的数据不同,通常训练阶段在子图上进行,测试阶段需处理未知的节点);难以处理有向图,不易实现将不同的学习权重分配给不同的邻居节点。


Graph Attention Networks

发表会议:ICLR 2018

Motivation:

针对上述问题,本文在GCN中引入注意力机制,提出了Graph Attention Networks (GAT)。GAT允许处理不同大小的输入,通过关注输入中与任务最相关的部分来做出决策。本质上,GAT有两种运算方式,分别为global graph attention和mask graph attention.由于global graph attention方式中每一个节点对于图上任意节点都进行attention运算,相当于丢弃了图结构这个特征,且面临高昂的计算成本,因此作者在文中采用mask attention,即注意力的运算只在邻居节点之间进行。
Model:
与所有注意力机制一样,GAT的计算分为两步。
第一步:计算注意力系数(attention coefficient)

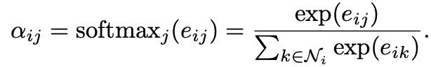
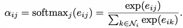
首先每个节点的输入特征向量,通过共享参数的线性变换进行特征增强。对于任意节点i,计算其与任意邻居节点j的特征之间的注意力系数:

为了使不同节点之间的注意力系数易于比较,通过softmax进行归一化处理:

具体实现方法如下:

第二步:加权求和(aggregate)

归一化的注意力系数被用于对特征加权求和,作为每个节点的最终输出特征:

为增加训练过程的稳定性,可使用multi-head并行计算K个分支,最后对所有分支的计算结果拼接或求均值:

与GCN不同,GAT允许隐式地为同一节点的邻居分配不同的重要性,同时学到的注意力有助于模型的可解释性。GAT的运算方式是逐点运算,不必预先访问全局图结构,适用于inductive任务。不要求图是无向的,如果边j→i不存在,只需省略   .

Experiment:

如上表所示,GAT分别在transductive和inductive任务上超越了GCN和GraphSAGE.


Graph Representation Learning via Hard and Channel-Wise Attention Networks

发表会议:KDD 2019

Motivation:

当图中含有大量节点时,graph attention operators(GAOs)会消耗大量的计算资源,包括计算成本和内存使用量。此外,GAO使用soft attention operator,计算图中所有相邻节点的信息。为了在大规模图数据中应用注意力机制,文中提出将硬注意力机制(hard graph attention operator, hGAO)引入GAOs来减少计算量。如果直接在图结构数据上使用hard attention仍会消耗大量计算资源。因此改进的hGAO对邻居节点进行筛选,保留部分邻居参与计算。

Model:

本文使用一个可训练的投影向量p,将特征矩阵X投影到N维向量空间中,y代表每个节点的重要性程度(4)。根据每个邻居节点的重要性程度进行排序,选择k个投影值最大的节点(5)。根据选出的idx,选择新的节点信息(6)。使用门操作来控制信息流,通过将sigmoid函数应用于选定的投影值来获得门向量(7)。通过矩阵乘法控制选定节点的信息(8),在通过注意力机制,生成新的节点信息。

hGAO能够减少时间复杂度,但因涉及到了邻接矩阵的操作,依然会有和GAO一样的空间复杂度。作者提出利用channel-wise graph attention operator(cGAO),只考虑节点本身的信息而不考虑邻接矩阵的信息来减少空间复杂度。将特征矩阵X的每一行看作一个通道,即每一类特征都是一个通道。假设假设同一节点内的特征彼此关联,且不同节点内的特征之间没有关联。这意味着cGAO不需要邻接矩阵A提供的连通性信息,从而避免了对邻接矩阵的依赖。

本文将hGAO和cGAO构建为GAM模块。如下图所示:

Experiment:

作者对比了GAO, hGAO和cGAO的计算效率。如下表所示:

除此之外,hGANet分别在transductive和inductive任务上取得了不错的效果。


How to find your friendly neighborhood: Graph attention design with self-supervision

发表会议:ICLR 2021

Motivation:

GAT通过给不同的邻居节点分配不同的权重,从而使聚合的节点特征更加合理。但是当图中存在噪声时,会影响GAT的结果。本文通过提出两种对GAT的不同改进,来解决目前存在的问题。

Model:

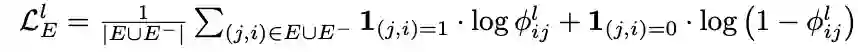
作者提出SuperGATs,旨在通过一个半监督的边预测任务来限制节点的特征向量。该函数预测了节点i和j之间存在边的概率:

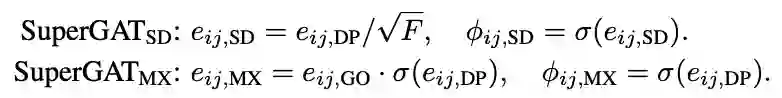
本文提到了四个方法:GO(original GAT)、DP(dot-product attention)、SD(scaled dot-product)、MX(mixed GO and DP). GO为原始的GAT算法,DP将两个节点的特征向量相乘。SD和MX分别定义如下:

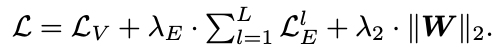
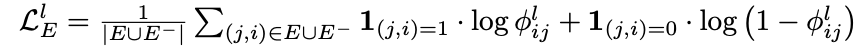
损失函数定义为:

其中,第一项是节点分类的交叉熵损失函数,最后一项是正则化项,中间一项代表着节点特征和两节点之间的边是否存在。将两节点的特征向量代入中,可以计算该边存在的概率。若两节点在真实图中不存在边,但计算出的存在边的概率很大,则损失很大。该项损失相当于通过图上已知的边关系,调整节点的特征向量。

Experiment:

本文在多个真实数据集上进行了实验,结果表明SuperGAT获得了不错的效果。


综上所述,在注意力机制的作用下,图神经网络(Graph Neural Network, GNN)会关注到图中最重要的节点和节点中最重要的信息。受益于注意力机制,模型能够过滤噪音邻居,提升模型性能并对结果具有一定的可解释性。NLP中通常针对单独或整体的attention head,在attention weight上建立probe classifier,以研究模型真正关注到的部分。这样的方法后续也可以迁移到图结构数据上,对attention-based GNN进行解释。
未来还有更多潜在的方法和任务等待发掘,欢迎大家补充和交流。


登录查看更多
2

相关内容

图注意力网络(Graph Attention Network,GAT),它通过注意力机制(Attention Mechanism)来对邻居节点做聚合操作,实现了对不同邻居权重的自适应分配,从而大大提高了图神经网络模型的表达能力。
【ICML2020】持续图神经网络,Continuous Graph Neural Networks
专知会员服务
151+阅读 · 2020年6月28日
【清华大学】图随机神经网络,Graph Random Neural Networks
专知会员服务
156+阅读 · 2020年5月26日
【ICLR2020-】基于记忆的图网络,MEMORY-BASED GRAPH NETWORKS
专知会员服务
110+阅读 · 2020年2月22日
一文读懂Attention机制
机器学习与推荐算法
63+阅读 · 2020年6月9日
【图神经网络入门】GAT图注意力网络
深度学习自然语言处理
28+阅读 · 2020年5月16日
图神经网络入门(三)GAT图注意力网络
图与推荐
10+阅读 · 2020年5月14日
【论文笔记】自注意力图池化
专知
82+阅读 · 2019年11月18日
Graph Neural Networks 综述
计算机视觉life
30+阅读 · 2019年8月13日
Relation Networks for Object Detection 论文笔记
统计学习与视觉计算组
16+阅读 · 2018年4月18日
图注意力网络
科技创新与创业
35+阅读 · 2017年11月22日
基于注意力机制的图卷积网络
科技创新与创业
74+阅读 · 2017年11月8日
Arxiv
0+阅读 · 2021年10月3日
Signed Graph Attention Networks
Arxiv
7+阅读 · 2019年9月5日
Self-Attention Graph Pooling
Arxiv
5+阅读 · 2019年4月17日
Arxiv
24+阅读 · 2018年10月24日
Arxiv
10+阅读 · 2018年2月4日
VIP会员
相关资讯
一文读懂Attention机制
机器学习与推荐算法
63+阅读 · 2020年6月9日
【图神经网络入门】GAT图注意力网络
深度学习自然语言处理
28+阅读 · 2020年5月16日
图神经网络入门(三)GAT图注意力网络
图与推荐
10+阅读 · 2020年5月14日
【论文笔记】自注意力图池化
专知
82+阅读 · 2019年11月18日
Graph Neural Networks 综述
计算机视觉life
30+阅读 · 2019年8月13日
Relation Networks for Object Detection 论文笔记
统计学习与视觉计算组
16+阅读 · 2018年4月18日
图注意力网络
科技创新与创业
35+阅读 · 2017年11月22日
基于注意力机制的图卷积网络
科技创新与创业
74+阅读 · 2017年11月8日
相关论文
Arxiv
0+阅读 · 2021年10月3日
Signed Graph Attention Networks
Arxiv
7+阅读 · 2019年9月5日
Self-Attention Graph Pooling
Arxiv
5+阅读 · 2019年4月17日
Arxiv
24+阅读 · 2018年10月24日
Arxiv
10+阅读 · 2018年2月4日
Top
微信扫码咨询专知VIP会员