RealFormer:把残差转移到Attention矩阵上面去

2020 年 12 月 29 日 PaperWeekly


©PaperWeekly 原创 · 作者|苏剑林

单位|追一科技

研究方向|NLP、神经网络


大家知道 Layer Normalization 是 Transformer 模型的重要组成之一,它的用法有 PostLN 和 PreLN 两种,论文 On Layer Normalization in the Transformer Architecture [1] 中有对两者比较详细的分析。简单来说,就是 PreLN 对梯度下降更加友好,收敛更快,对训练时的超参数如学习率等更加鲁棒等,反正一切都好但就有一点硬伤:PreLN 的性能似乎总略差于 PostLN。

最近 Google 的一篇论文提出了 RealFormer 设计,成功地弥补了这个 Gap,使得模型拥有 PreLN 一样的优化友好性,并且效果比 PostLN 还好,可谓“鱼与熊掌兼得”了。


论文标题:

RealFormer: Transformer Likes Residual Attention


论文链接:

https://arxiv.org/abs/2012.11747


形式

RealFormer 全称为“Residual Attention Layer Transformer”,即“残差式 Attention 层的 Transformer 模型”,顾名思义就是把残差放到了 Attention 里边了。

关于这个名字,还有个小插曲。这篇文章发布的时候,RealFormer 其实叫做Informer,全称为“Residual Attention Transformer”,原论文名为 Informer: Transformer Likes Informed Attention [2] ,显然从 Informer 这个名字我们很难想象它的全称,为此笔者还吐槽了 Google 在起名方面的生硬和任性。

隔了一天之后,发现它改名为 RealFormer 了,遂做了同步。不知道是因为作者大佬看到了笔者的吐槽,还是因为 Informer 这个名字跟再早几天的一篇论文 Informer: Beyond Efficient Transformer for Long Sequence Time-Series Forecasting [3]  重名了,哈哈。

▲ PostLN、PreLN和RealFormer结构示意图
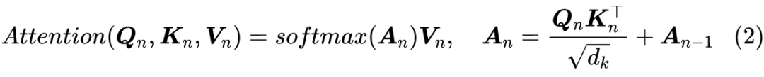
说回模型,如上图所示,RealFormer 主要是把残差放到了 Attention 矩阵上面了,而整体依然保持了 PostLN 的结构,因此既保持了 PostLN 的性能,又融合了残差的友好。具体来说,就是原来第 n 层的 Attention 为:

现在改为了:

而已。全文终。


实验

当然,那么快就“全文终”是不可能的,好歹也得做做实验看看效果,但只看改动的话,确实已经终了,就那么简单。原论文做的实验很多,基本上所有的实验结果都显示在效果上:
看来,这次 PostLN 可能真的需要退场了。部分实验结果如下:

▲ MLM准确率对比

▲ SQuAD评测对比

▲ GLUE评测对比

▲ 不同训练步数效果对比

值得特别指出的是第一张图和第四张图。从第一张图我们可以看到,对于 RealFormer 结构,加大模型规模(large 到 xlarge)可以带来性能的明显提升,而 ALBERT 论文曾经提到加大 BERT 的模型规模并不能带来明显受益,结合两者说明这可能是 PostLN 的毛病而不是 BERT 的固有毛病,换成 RealFormer 可以改善这一点。

从第四张图我们可以看到,RealFormer 结构训练 50 万步,效果就相当于 PostLN 训练 100 万步,这表明 RealFormer 有着很高的训练效率。

除了上述实验外,论文还对比了不同学习率、不同 Dropout 比例的效果,表明 RealFormer 确实对这些参数是比较鲁棒的。原论文还分析了 RealFormer 的 Attention 值分布,表明 RealFormer 的 Attention 结果更加合理。


分析

这一节我们对 RealFormer 做一个简单的思考分析。

RealFormer 对梯度下降更加友好,这不难理解,因为 的设计确实提供了一条直通路,使得第一层的 Attention 能够直通最后一层,自然就没有什么梯度消失的风险了。
相比之下,PostLN 是 的结构,看上去 防止了梯度消失,但是 这一步会重新增加了梯度消失风险,造成的后果是初始阶段前面的层梯度很小,后面的层梯度很大,如果用大学习率,后面的层容易崩,如果用小学习率,前面的层学不好,因此 PostLN 更难训练,需要用小的学习率加 warmup 慢慢训。
那么 PreLN 改善了梯度状况,为什么又比不上 PostLN 呢?按照笔者的猜测,PreLN 每一步都是 的形式,到了最后一层就变成了 的形式,一层层累加,可能导致数值和方差都很大,所以最后“迫不得已”会强制加一层 Layer Norm 让输出稳定下来。这样,尽管 PreLN 改善了梯度状况,但它本身设计上就存在一些不稳定因素,也许这就是它效果略差的原因。
事实上,很早就有人注意到残差的这个特点会造成不稳定,笔者之前研究 GAN 的时候,就发现 Which Training Methods for GANs do actually Converge?  [4] 一文中的实现就把 换成了 。受到他们实现的启发,笔者也试过将 换成 ,其中 是初始化为 0 的可训练标量参数,也取得不错的效果。
今年年初的论文 ReZero is All You Need: Fast Convergence at Large Depth  [5] 则正式地提出了这个方法,命名为 ReZero,里边的实验表明用 ReZero 可以干脆去掉 Layer Norm。遗憾的是,ReZero 的论文没有对 Transformer 做更多的实验,而 RealFormer 也没有比较它与 ReZero 的效果差别。
读者可能会反驳,既然 PreLN 存在问题,那 RealFormer 的 不也是存在同样的叠加问题吗?如果只看 ,那么确实会有这样的问题,但别忘了 后面还要做个 softmax 归一化后才参与运算,也就是说,模型对矩阵 是自带归一化功能的,所以它不会有数值发散的风险。
而且刚刚相反,随着层数的增加, 的叠加会使得 的元素绝对值可能越来越大,Attention 逐渐趋于 one hot 形式,造成后面的层梯度消失,但是别忘了,我们刚才说 PostLN 前面的层梯度小后面的层梯度大,而现在也进一步缩小了后面层的梯度,反而使得两者更同步从而更好优化了;
另一方面,Attention 的概率值可能会有趋同的趋势,也就是说 Attention 的模式可能越来越稳定,带来类似 ALBERT 参数共享的正则化效应,这对模型效果来说可能是有利的,直觉上来说,用 RealFormer 结构去做 FastBERT [6] 之类的自适应层数的改进,效果会更好,因为 RealFormer 的 Attention 本身会有趋同趋势,更加符合 FastBERT 设计的出发点。
此外,我们也可以将 RealFormer 理解为还是使用了常规的残差结构,但是残差结构只用在 而没有用在 上:

这在一定程度上与 是等价的,而 PreLN 相当于 都加了残差。
为啥 “不值得”一个残差呢?从近来的一些相对位置编码的改进中,笔者发现似乎有一个共同的趋势,那就是去掉了 的偏置,比如像 NEZHA 的相对位置编码,是同时在 Attention 矩阵(即 上施加的,而较新的 XLNET 和 T5 的相对位置编码则只施加在 Attention 矩阵上,所以,似乎去掉 的不必要的偏置是一个比较好的选择,而 RealFormer 再次体现了这一点。


总结


实验结果表明,RealFormer 同时有着 PostLN 和 PreLN 的优点,甚至比两者更好,是一个值得使用的改进点。

参考文献

[1] https://arxiv.org/abs/2002.04745
[2] https://arxiv.org/abs/2012.11747v1
[3] https://arxiv.org/abs/2012.07436
[4] https://arxiv.org/abs/1801.04406
[5] https://arxiv.org/abs/2003.04887
[6] https://arxiv.org/abs/2004.02178

更多阅读




#投 稿 通 道#

 让你的论文被更多人看到 



如何才能让更多的优质内容以更短路径到达读者群体,缩短读者寻找优质内容的成本呢?答案就是:你不认识的人。


总有一些你不认识的人,知道你想知道的东西。PaperWeekly 或许可以成为一座桥梁,促使不同背景、不同方向的学者和学术灵感相互碰撞,迸发出更多的可能性。 


PaperWeekly 鼓励高校实验室或个人,在我们的平台上分享各类优质内容,可以是最新论文解读,也可以是学习心得技术干货。我们的目的只有一个,让知识真正流动起来。


📝 来稿标准:

• 稿件确系个人原创作品,来稿需注明作者个人信息(姓名+学校/工作单位+学历/职位+研究方向) 

• 如果文章并非首发,请在投稿时提醒并附上所有已发布链接 

• PaperWeekly 默认每篇文章都是首发,均会添加“原创”标志


📬 投稿邮箱:

• 投稿邮箱:hr@paperweekly.site 

• 所有文章配图,请单独在附件中发送 

• 请留下即时联系方式(微信或手机),以便我们在编辑发布时和作者沟通



🔍


现在,在「知乎」也能找到我们了

进入知乎首页搜索「PaperWeekly」

点击「关注」订阅我们的专栏吧



关于PaperWeekly


PaperWeekly 是一个推荐、解读、讨论、报道人工智能前沿论文成果的学术平台。如果你研究或从事 AI 领域,欢迎在公众号后台点击「交流群」,小助手将把你带入 PaperWeekly 的交流群里。



登录查看更多
1

相关内容

Attention机制最早是在视觉图像领域提出来的,但是真正火起来应该算是google mind团队的这篇论文《Recurrent Models of Visual Attention》[14],他们在RNN模型上使用了attention机制来进行图像分类。随后,Bahdanau等人在论文《Neural Machine Translation by Jointly Learning to Align and Translate》 [1]中,使用类似attention的机制在机器翻译任务上将翻译和对齐同时进行,他们的工作算是是第一个提出attention机制应用到NLP领域中。接着类似的基于attention机制的RNN模型扩展开始应用到各种NLP任务中。最近,如何在CNN中使用attention机制也成为了大家的研究热点。下图表示了attention研究进展的大概趋势。
Transformer替代CNN?8篇论文概述最新进展!
专知会员服务
77+阅读 · 2021年1月19日
专知会员服务
16+阅读 · 2020年7月27日
如何建模动态图?看这份《时序图神经网络》26页ppt
专知会员服务
142+阅读 · 2020年7月25日
【IJCAJ 2020】多通道神经网络 Multi-Channel Graph Neural Networks
专知会员服务
26+阅读 · 2020年7月19日
【ICLR 2019】双曲注意力网络,Hyperbolic  Attention Network
专知会员服务
84+阅读 · 2020年6月21日
专知会员服务
27+阅读 · 2020年2月15日
BERT进展2019四篇必读论文
专知会员服务
70+阅读 · 2020年1月2日
注意力机制介绍,Attention Mechanism
专知会员服务
171+阅读 · 2019年10月13日
最新BERT相关论文清单,BERT-related Papers
专知会员服务
53+阅读 · 2019年9月29日
【论文笔记】自注意力图池化
专知
82+阅读 · 2019年11月18日
语义分割中的Attention和低秩重建
极市平台
37+阅读 · 2019年9月1日
用Attention玩转CV,一文总览自注意力语义分割进展
从Seq2seq到Attention模型到Self Attention(二)
量化投资与机器学习
23+阅读 · 2018年10月9日
从Seq2seq到Attention模型到Self Attention(一)
量化投资与机器学习
76+阅读 · 2018年10月8日
论文荐读 | NLP之Attention从入门到精通
人工智能前沿讲习班
5+阅读 · 2018年5月14日
一文看懂常用特征工程方法
AI研习社
17+阅读 · 2018年5月2日
基础 | GRU神经网络
黑龙江大学自然语言处理实验室
27+阅读 · 2018年3月5日
论文共读 | Attention is All You Need
黑龙江大学自然语言处理实验室
14+阅读 · 2017年9月7日
Implicit Maximum Likelihood Estimation
Arxiv
7+阅读 · 2018年9月24日
Arxiv
11+阅读 · 2018年5月21日
VIP会员
相关VIP内容
Transformer替代CNN?8篇论文概述最新进展!
专知会员服务
77+阅读 · 2021年1月19日
专知会员服务
16+阅读 · 2020年7月27日
如何建模动态图?看这份《时序图神经网络》26页ppt
专知会员服务
142+阅读 · 2020年7月25日
【IJCAJ 2020】多通道神经网络 Multi-Channel Graph Neural Networks
专知会员服务
26+阅读 · 2020年7月19日
【ICLR 2019】双曲注意力网络,Hyperbolic  Attention Network
专知会员服务
84+阅读 · 2020年6月21日
专知会员服务
27+阅读 · 2020年2月15日
BERT进展2019四篇必读论文
专知会员服务
70+阅读 · 2020年1月2日
注意力机制介绍,Attention Mechanism
专知会员服务
171+阅读 · 2019年10月13日
最新BERT相关论文清单,BERT-related Papers
专知会员服务
53+阅读 · 2019年9月29日
相关资讯
【论文笔记】自注意力图池化
专知
82+阅读 · 2019年11月18日
语义分割中的Attention和低秩重建
极市平台
37+阅读 · 2019年9月1日
用Attention玩转CV,一文总览自注意力语义分割进展
从Seq2seq到Attention模型到Self Attention(二)
量化投资与机器学习
23+阅读 · 2018年10月9日
从Seq2seq到Attention模型到Self Attention(一)
量化投资与机器学习
76+阅读 · 2018年10月8日
论文荐读 | NLP之Attention从入门到精通
人工智能前沿讲习班
5+阅读 · 2018年5月14日
一文看懂常用特征工程方法
AI研习社
17+阅读 · 2018年5月2日
基础 | GRU神经网络
黑龙江大学自然语言处理实验室
27+阅读 · 2018年3月5日
论文共读 | Attention is All You Need
黑龙江大学自然语言处理实验室
14+阅读 · 2017年9月7日
Top
微信扫码咨询专知VIP会员