从动力学角度看优化算法:自适应学习率算法

2018 年 12 月 27 日 PaperWeekly


作者丨苏剑林

单位丨广州火焰信息科技有限公司

研究方向丨NLP,神经网络

个人主页丨kexue.fm


从动力学角度看优化算法SGD:一些小启示一文中,我们提出 SGD 优化算法跟常微分方程(ODE)的数值解法其实是对应的,由此还可以很自然地分析 SGD 算法的收敛性质、动量加速的原理等等内容。


在这篇文章中,我们继续沿着这个思路,去理解优化算法中的自适应学习率算法。


RMSprop


首先,我们看一个非常经典的自适应学习率优化算法:RMSprop。RMSprop 虽然不是最早提出的自适应学习率的优化算法,但是它却是相当实用的一种,它是诸如 Adam 这样更综合的算法的基石,通过它我们可以观察自适应学习率的优化算法是怎么做的。


算法概览


一般的梯度下降是这样的:



很明显,这里的 γ 是一个超参数,便是学习率,它可能需要在不同阶段做不同的调整。而 RMSprop 则是:



算法分析


对比朴素的 SGD,可以发现 RMSprop 在对 θ 的更新中,将原来是标量的学习率 γ,换成了一个向量。



如果把这个向量也看成是学习率,那么 RMSprop 就是找到了一个方案,能够给参数的每个分量分配不同的学习率。


这个学习率的调节,是通过因子来实现的,而则是梯度平方的滑动平均。本质上来说,“滑动平均”平均只是让训练过程更加平稳一些,它不是起到调节作用的原因,起作用的主要部分是“梯度”,也就是说,可以用梯度大小来调节学习率。


自适应学习率


为什么用梯度大小可以来调节学习率呢?其实这个思想非常朴素。


极小值点和ODE


话不多说,简单起见,我们先从一个一维例子出发:假设我们要求 L(θ) 的一个极小值点,那么我们引入一个虚拟的时间参数 t,转化为 ODE:



不难判断,L(θ) 的一个极小值点就是这个方程的稳定的不动点,我们从任意的 θ0 出发,数值求解这个 ODE,可以期望它最终会收敛于这个不动点,从而也就得到了一个极小值点。


最简单的欧拉解法,就是用去近似,从而得到:



也就是:



这就是梯度下降法了,θt+γ 相当于 θn+1,而 θt 相当于 θn,也就是每步前进 γ 那么多。


变学习率思想


问题是,γ 选多少为好呢?当然,从“去近似”这个角度来看,当然是 γ 越小越精确,但是 γ 越小,需要的迭代次数就越多,也就是说计算量就越大,所以越小越好是很理想,但是不现实。


所以,最恰当的方案是:每一步够用就好可是我们怎么知道够用了没有?


因为我们是去近似的,那么就必须分析近似程度:根据泰勒级数,我们有:



在我们这里有,那么我们有:



可以期望,当 γ 比较小的时候,误差项,也就是说,在一定条件下,γ∣L′(θt)∣ 本身就是误差项的度量,如果我们将 γ∣L′(θt)∣  控制在一定的范围内,那么误差也被控制住了。即:



其中 γ̃ 是一个常数,甚至只需要简单地 γ∣L′(θt)∣=γ̃(暂时忽略 L′(θt)=0 的可能性,先观察整体的核心思想),也就是:



这样我们就通过梯度来调节了学习率。


滑动平均处理


读者可能会诟病,把 γ=γ̃/∣L′(θt)∣ 代入原来的迭代结果,不就是:



整个梯度你只用了它的符号信息,这是不是太浪费了?过于平凡:也就是不管梯度大小如何,每次迭代 θ 都只是移动固定的长度。


注意,从解 ODE 的角度看,其实这并没有毛病,因为 ODE 的解是一条轨迹 (t,θ(t)),上面这样处理,虽然 θ 变得平凡了,但是 t 却变得不平凡了,也就是相当于 t,θ 的地位交换了,因此还是合理的。


只不过,如果关心的是优化问题,也就是求 L(θ) 的极小值点的话,那么上式确实有点平凡了,因为如果每次迭代 θ 都只是移动固定的长度,那就有点像网格搜索了,太低效。


所以,为了改善这种不平凡的情况,又为了保留用梯度调节学习率的特征,我们可以把梯度平均一下,结果就是:



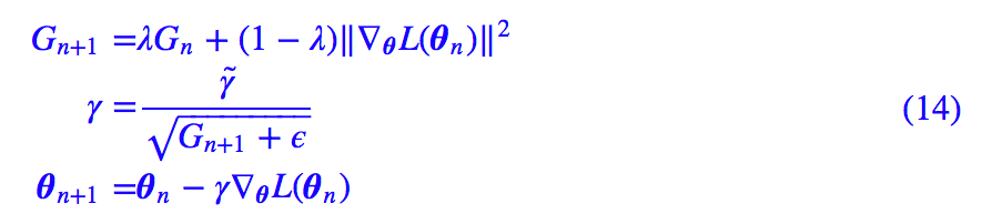
这个 λ 是一个接近于 1 但是小于 1 的常数,这样的话 Gt 在一定范围内就比较稳定,同时在一定程度上保留了梯度 L′(θt) 本身的特性,所以用它来调节学习率算是一个比较“机智”的做法。为了避免 t+γ̃,t+γ 引起记号上的不适应,统一用 n,n+1 来表示下标,得到:



这就是开头说的 RMSprop 算法了。


高维情形分析


上面的讨论都是一维的情况,如果是多维情况,那怎么推广呢? 


也许读者觉得很简单:把标量换成向量不就行了么?并没有这么简单,因为 (13) 推广到高维,至少有两种合理的选择:



或:



前者用梯度的总模长来累积,最终保持了学习率的标量性;后者将梯度的每个分量分别累积,这种情况下调节后的学习率就变成了一个向量,相当于给每个参数都分配不同的学习率。要是从严格理论分析的角度来,其实第一种做法更加严密,但是从实验效果来看,却是第二种更为有效。


我们平时所说的 RMSprop 算法,都是指后者 (15)。但是有很多喜欢纯 SGD 炼丹的朋友会诟病这种向量化的学习率实际上改变了梯度的方向,导致梯度不准,最终效果不够好。所以不喜欢向量化学习率的读者,不妨试验一下前者。


结论汇总


本文再次从 ODE 的角度分析了优化算法,这次是从误差控制的角度给出了一种自适应学习率算法(RMSprop)的理解。至于我们更常用的 Adam,则是 RMSprop 与动量加速的结合,这里就不赘述了。


将优化问题视为一个常微分方程的求解问题,这其实就是将优化问题变成了一个动力学问题,这样可以让我们从比较物理的视角去理解优化算法(哪怕只是直观而不严密的理解),甚至可以把一些 ODE 的理论结果拿过来用,后面笔者会试图再举一些这样的例子。




点击以下标题查看作者其他文章: 





#投 稿 通 道#

 让你的论文被更多人看到 



如何才能让更多的优质内容以更短路径到达读者群体,缩短读者寻找优质内容的成本呢? 答案就是:你不认识的人。


总有一些你不认识的人,知道你想知道的东西。PaperWeekly 或许可以成为一座桥梁,促使不同背景、不同方向的学者和学术灵感相互碰撞,迸发出更多的可能性。 


PaperWeekly 鼓励高校实验室或个人,在我们的平台上分享各类优质内容,可以是最新论文解读,也可以是学习心得技术干货。我们的目的只有一个,让知识真正流动起来。


📝 来稿标准:

• 稿件确系个人原创作品,来稿需注明作者个人信息(姓名+学校/工作单位+学历/职位+研究方向) 

• 如果文章并非首发,请在投稿时提醒并附上所有已发布链接 

• PaperWeekly 默认每篇文章都是首发,均会添加“原创”标志


📬 投稿邮箱:

• 投稿邮箱:hr@paperweekly.site 

• 所有文章配图,请单独在附件中发送 

• 请留下即时联系方式(微信或手机),以便我们在编辑发布时和作者沟通




🔍


现在,在「知乎」也能找到我们了

进入知乎首页搜索「PaperWeekly」

点击「关注」订阅我们的专栏吧



关于PaperWeekly


PaperWeekly 是一个推荐、解读、讨论、报道人工智能前沿论文成果的学术平台。如果你研究或从事 AI 领域,欢迎在公众号后台点击「交流群」,小助手将把你带入 PaperWeekly 的交流群里。


▽ 点击 | 阅读原文 | 查看作者博客

登录查看更多
8

相关内容

非凸优化与统计学,89页ppt,普林斯顿Yuxin Chen博士
专知会员服务
104+阅读 · 2020年6月28日
【斯坦福】凸优化圣经- Convex Optimization (附730pdf下载)
专知会员服务
231+阅读 · 2020年6月5日
【新书册】贝叶斯神经网络,41页pdf
专知会员服务
180+阅读 · 2020年6月3日
【伯克利】再思考 Transformer中的Batch Normalization
专知会员服务
41+阅读 · 2020年3月21日
【Nature论文】深度网络中的梯度下降复杂度控制
专知会员服务
41+阅读 · 2020年3月9日
从动力学角度看优化算法:GAN的第三个阶段
PaperWeekly
11+阅读 · 2019年5月13日
深度学习优化算法总结(SGD,AdaGrad,Adam等)
极市平台
34+阅读 · 2019年4月30日
从信息论的角度来理解损失函数
深度学习每日摘要
17+阅读 · 2019年4月7日
面试时让你手推公式不在害怕 | 梯度下降
计算机视觉life
14+阅读 · 2019年3月27日
从动力学角度看优化算法:一个更整体的视角
黑龙江大学自然语言处理实验室
8+阅读 · 2019年1月28日
已删除
将门创投
10+阅读 · 2018年5月2日
干货|深度神经网络(DNN)反向传播算法(BP)
全球人工智能
7+阅读 · 2018年1月12日
Adam那么棒,为什么还对SGD念念不忘 (2)
AI研习社
3+阅读 · 2018年1月1日
算法优化|梯度下降和随机梯度下降 — 从0开始
全球人工智能
8+阅读 · 2017年12月25日
绝对干货 | 随机梯度下降算法综述
菜鸟的机器学习
15+阅读 · 2017年10月30日
Explanatory Graphs for CNNs
Arxiv
4+阅读 · 2018年12月18日
Physical Primitive Decomposition
Arxiv
4+阅读 · 2018年9月13日
A Multi-Objective Deep Reinforcement Learning Framework
VIP会员
相关资讯
从动力学角度看优化算法:GAN的第三个阶段
PaperWeekly
11+阅读 · 2019年5月13日
深度学习优化算法总结(SGD,AdaGrad,Adam等)
极市平台
34+阅读 · 2019年4月30日
从信息论的角度来理解损失函数
深度学习每日摘要
17+阅读 · 2019年4月7日
面试时让你手推公式不在害怕 | 梯度下降
计算机视觉life
14+阅读 · 2019年3月27日
从动力学角度看优化算法:一个更整体的视角
黑龙江大学自然语言处理实验室
8+阅读 · 2019年1月28日
已删除
将门创投
10+阅读 · 2018年5月2日
干货|深度神经网络(DNN)反向传播算法(BP)
全球人工智能
7+阅读 · 2018年1月12日
Adam那么棒,为什么还对SGD念念不忘 (2)
AI研习社
3+阅读 · 2018年1月1日
算法优化|梯度下降和随机梯度下降 — 从0开始
全球人工智能
8+阅读 · 2017年12月25日
绝对干货 | 随机梯度下降算法综述
菜鸟的机器学习
15+阅读 · 2017年10月30日
Top
微信扫码咨询专知VIP会员