从动力学角度看优化算法:GAN的第三个阶段

2019 年 5 月 13 日 PaperWeekly


作者丨苏剑林

单位丨追一科技

研究方向丨NLP,神经网络

个人主页丨kexue.fm


在对 GAN 的学习和思考过程中,我发现我不仅学习到了一种有效的生成模型,而且它全面地促进了我对各种模型各方面的理解,比如模型的优化和理解视角、正则项的意义、损失函数与概率分布的联系、概率推断等等。GAN不单单是一个“造假的玩具”,而是具有深刻意义的概率模型和推断方法。 


作为事后的总结,我觉得对 GAN 的理解可以粗糙地分为三个阶段: 


1. 样本阶段:在这个阶段中,我们了解了 GAN 的“鉴别者-造假者”诠释,懂得从这个原理出发来写出基本的 GAN 公式(如原始 GAN、LSGAN),比如判别器和生成器的 loss,并且完成简单 GAN 的训练;同时,我们知道 GAN 有能力让图片更“真”,利用这个特性可以把 GAN 嵌入到一些综合模型中。 


2. 分布阶段:在这个阶段中,我们会从概率分布及其散度的视角来分析 GAN,典型的例子是 WGAN 和 f-GAN,同时能基本理解 GAN 的训练困难问题,比如梯度消失和 mode collapse 等,甚至能基本地了解变分推断,懂得自己写出一些概率散度,继而构造一些新的 GAN 形式。 


3. 动力学阶段:在这个阶段中,我们开始结合优化器来分析 GAN 的收敛过程,试图了解 GAN 是否能真的达到理论的均衡点,进而理解 GAN 的 loss 和正则项等因素如何影响的收敛过程,由此可以针对性地提出一些训练策略,引导 GAN 模型到达理论均衡点,从而提高 GAN 的效果。 


事实上,不仅仅是 GAN,对于一般的模型理解,也可以大致上分为这三个阶段。当然也许有热衷于几何解释或其他诠释的读者会不同意第二点,觉得没必要非得概率分布的角度来理解。但事实上几何视角和概率视角都有一定的相通之处,而本文所写的三个阶段只是一个粗糙的总结,简单来说就是从局部到整体,然后再到优化器。 


而本文主要聚焦于 GAN 的第三个阶段:GAN 的动力学


基本原理


一般情况下,GAN 可以表示为一个 min-max 过程,记作:



其中 maxDL(G,D) 这一步定义了一个概率散度而 maxG 这一步则在最小化散度,相关的讨论也可以参考文章《f-GAN简介:GAN模型的生产车间》[1]不用L约束又不会梯度消失的GAN,了解一下?。 


注意,从理论上讲,这个 min-max 过程是有序的,即需要彻底地、精确地完成 maxD 这一步,然后才去 minG。但是很显然,实际训练 GAN 时我们做不到这一点,我们都是 D,G 交替训练的,理想情况下我们还希望 D,G 每次只各自训练一次,这样训练效率最高,而这样的训练方法对应于一个动力系统。 


动力系统


在我们的“从动力学角度看优化算法”系列中,我们将梯度下降看成是在数学求解动力系统(也就是一个常微分方程组,简称 ODEs)。



其中 L(θ) 是模型的 loss,而 θ 是模型的参数。如果考虑随机性,那么则需要加上一个噪声项,变成一个随机微分方程,但本文我们不考虑随机性,这不影响我们对局部收敛性的分析。假定读者已经熟悉了这种转换,下面就来讨论 GAN 对应的过程。


GAN 是一个 min-max 的过程,换句话说,一边是梯度下降,另一边是梯度上升,假设 φ 是判别器的参数,θ 是判别器的参数,那么 GAN 对应的动力系统是:



当然,对于更一般的 GAN,有时候两个 L 会稍微不一样:



不管是哪一种,右端两项都是一正一负,而就是因为这一正一负的差异,导致了 GAN 训练上的困难。我们下面就逐步认识到这一点。 


相关工作


将 GAN 的优化过程视为一个(随机)动力系统,基于这个观点进行研究分析的文献已有不少,我读到的包括 The Numerics of GANs [2]GANs Trained by a Two Time-Scale Update Rule Converge to a Local Nash Equilibrium [3]Gradient descent GAN optimization is locally stable [4]Which Training Methods for GANs do actually Converge? [5],而本文只不过是前辈大牛们的工作的一个学习总结。 


在这几篇文献中,大家可能比较熟悉的是第二篇,因为就是第二篇提出了 TTUR 的 GAN 训练策略以及提出了 FID 作为 GAN 的性能指标,而这篇论文的理论基础也是将 GAN 的优化看成前述的随机动力系统,然后引用了随机优化中的一个定理,得出可以给生成器和判别器分别使用不同的学习率(TTUR)。


而其余几篇,都是直接将 GAN 的优化看成确定性的动力系统(ODEs),然后用分析 ODEs 的方法来分析 GAN。由于 ODEs 的理论分析/数值求解都说得上相当成熟,因此可以直接将很多 ODEs 的结论用到 GAN 中。


Dirac GAN


本文的思路和结果主要参考 Which Training Methods for GANs do actually Converge? [5],这篇论文的主要贡献如下: 


1. 提出了 Dirac GAN 的概念,借助它可以快速地对 GAN 的性态有个基本的认识; 


2. 完整地分析了带零中心梯度惩罚的 WGAN(也是 WGAN-div)的局部收敛性; 


3. 利用零中心梯度惩罚的 WGAN 训练了 1024 的人脸、256 的 LSUN 生成,并且不需要像 PGGAN 那样渐进式训练。 


由于实验设备限制,第三点我们难以复现,而第二点涉及到比较复杂的理论分析,我们也不作过多讨论,有兴趣攻克的读者直接读原论文即可。本文主要关心第一点:Dirac GAN。 


所谓 Dirac GAN,就是考虑真样本分布只有一个样本点的情况下,待研究的 GAN 模型的表现。假设真实样本点是零向量 0,而假样本为 θ,其实它也代表着生成器的参数;而判别器采用最简单的线性模型,即(加激活函数之前)为 D(x)=x⋅φ,其中 φ 代表着判别器的参数。Dirac GAN 就是考虑这样的一个极简模型下,假样本最终能否收敛到真样本,也就是说 θ 最终能否收敛到 0。 


然而,原论文只考虑了样本点的维度是一维的情形,即 0,θ,φ 都是标量,但本文后面的案例表明,对于某些例子,一维 Dirac GAN 不足以揭示它的收敛性态,一般情况下至少需要 2 维 Dirac GAN 才能较好地分析一个 GAN 的渐近收敛性。


常见GAN分析


上一节我们给出了 Dirac GAN 的基本概念,指出它可以帮助我们对 GAN 的收敛性态有个快速的认识。在这部分内容中,我们通过分析若干常见 GAN,来更详细地表明 Dirac GAN 怎么做到这一点。 


Vanilla GAN


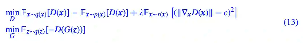
Vanilla GAN,或者叫做原始 GAN、标准 GAN,它就是指 Goodfellow 最早提出来的 GAN,它有 saturating 和 non-saturating 两种形式。作为例子,我们来分析比较常用的 non-saturating 形式:



这里的 p(x),q(x) 分别是真假样本分布,而 q(z) 是噪声分布,D(x) 用 sigmoid 激活。对应到 Dirac GAN 下,那就简单得多,因为真样本只有一个点而且为 0,所以判别器的 loss 只有一项,而判别器可以完全写出为 θ⋅φ,其中 θ 也就是假样本,或者说生成器,最终结果是:



对应的动力系统是:



这个动力系统的均衡点(让右端直接等于 0)是 φ=θ=0,也就是假样本变成了真样本。但问题是从一个初始点出发,该初始点最终能否收敛到均衡点却是个未知数。


 数值求解的non-saturating的Dirac GAN的优化轨迹(二维情形),可以发现它确实只是在均衡点(红色点)周围振荡,不收敛


为了做出判断,我们假设系统已经跑到了均衡点附近,即 φ≈0,θ≈0,那么可以近似地线性展开:



最终近似地有:



学过常微分方程的同学都知道,这是最简单的线性常微分方程之一,只要初始值不是 0,那么它的解是一个周期解,也就是说并不会出现 θ→0 的特性。换句话说,对于 non-saturating 的 Vanilla GAN,哪怕模型的初始化已经相当接近均衡点了,但是它始终不会收敛到均衡点,而是在均衡点附近振荡。数值模拟的结果则进一步证明了这一点。 


事实上,类似的结果出现在任何形式的 f-GAN 中,即以 f 散度为基础的所有 GAN 都存在同样的问题(不计正则项),即它们会慢慢收敛到均衡点附近,最终都只是在均衡点附近振荡,无法完全收敛到均衡点。 


这里再重复一下逻辑:我们知道系统的理论均衡点确实是我们想要的,但是从任意一个初值(相当于模型的初始化)出发,经过迭代后最终是否能跑到理论均衡点(相当于理想地完成 GAN 的训练),这无法很显然地得到结果,至少需要在均衡点附近做线性展开,分析它的收敛性,这就是说所谓的局部渐近收敛性态。


WGAN


f-GAN 败下阵来了,那 WGAN 又如何呢?它又能否收敛到理想的均衡点呢? 


WGAN 的一般形式是:



对应到 Dirac GAN,D(x)=x⋅φ,而 ‖D‖L≤1 可以由 ‖φ‖=1 来保证(‖⋅‖ 是 l2 模长),换言之,D(x) 加上 L 约束后为 D(x)=x⋅φ/‖φ‖,那么 WGAN 对应的 Dirac GAN 为:



对应的动力系统是:



我们主要关心 θ 是否会趋于 0,可以引入类似前一节的线性展开,但是由于 ‖φ‖ 在分母,所以讨论起来会比较困难。最干脆的方法是直接数值求解这个方程组,结果如下图:


 数值求解的WGAN对应的Dirac GAN的优化轨迹(二维情形),可以发现它确实只是在均衡点(红色点)周围振荡,不收敛


可以看到,结果依然是在均衡点附近振荡,并没能够达到均衡点。这个结果表明了,WGAN(同时自然也包括了谱归一化)都没有局部收敛性,哪怕已经跑到了均衡点附近,依然无法准确地落在均衡点上。 


注:稍加分析就能得出,如果只考虑一维的 Dirac GAN,那么将无法分析本节的 WGAN 和后面的 GAN-QP,这就是只考虑一维情形的局限性。


WGAN-GP


大家可能会疑惑,前面不是讨论了WGAN了吗,怎么还要讨论WGAN-GP? 


事实上,从优化角度看,前面所说的 WGAN 和 WGAN-GP 是两类不一样的模型。前面的 WGAN 是指事先在判别器上加上 L 约束(比如谱归一化),然后进行对抗学习;这里的 WGAN-GP 指的是判别器不加 L 约束,而是通过梯度惩罚项(Gradient Penalty)来迫使判别器具有 L 约束。


这里讨论的梯度惩罚有两种,第一种是 Improved Training of Wasserstein GANs [6] 提出来的“以1为中心的梯度惩罚”,第二种是 Wasserstein Divergence for GANs [7]Which Training Methods for GANs do actually Converge? [5] 等文章提倡的“以 0 为中心的梯度惩罚”。下面我们会对比这两种梯度惩罚的不同表现。 


梯度惩罚的一般形式是:



其中 c=0 或 c=1,而 r(x) 是 p(x) 和 q(x) 的某个衍生分布,一般直接取真样本分布、假样本分布或者真假样本插值。 


对于 Dirac GAN 来说:



也就是说它跟 x 没关系,所以 r(x) 怎么取都不影响结果了。因此,WGAN-GP 版本的 Dirac GAN 形式为:



对应的动力系统是:



下面我们分别观察 c=0,c=1 时 θ 是否会趋于 0,当 c=0 时其实只是一个线性常微分方程组,可以解析求解,但 c=1 时比较复杂,因此简单起见,我们还是直接用数值求解的方式:


 数值求解的WGAN-GP(c=0)对应的Dirac GAN的优化轨迹(二维情形),可以发现它能够渐近收敛到均衡点(红色点)

 数值求解的WGAN-GP(c=1)对应的Dirac GAN的优化轨迹(二维情形),可以发现它确实只是在均衡点(红色点)周围振荡,不收敛


上图是在同样的初始条件(初始化)下,c=0,c=1 的梯度惩罚的不同表现,两图的其他参数都一样。可以看到,加入“以1为中心的梯度惩罚”后,Dirac GAN 并没有渐近收敛到原点,反而只是收敛到一个圆上;而加入“以 0 为中心的梯度惩罚”则可以达到这个目的。这说明早期提出的梯度惩罚项确实是存在一些缺陷的,而“以 0 为中心的梯度惩罚”在收敛性态上更好


尽管上述仅仅对Dirac GAN做了分析,但结论具有代表性,因为关于0中心的梯度惩罚的优越性的一般证明在 Which Training Methods for GANs do actually Converge? [5] 中已经给出,并得到实验验证。


GAN-QP


最后来分析一下自己提出的 GAN-QP 表现如何。相比 WGAN-GP,GAN-QP 用二次型的差分惩罚项替换了梯度惩罚,并补充了一些证明。相比梯度惩罚,差分惩罚的最主要优势是计算速度更快。 


GAN-QP 可以有多种形式,一种基本形式是:



对应的 Dirac GAN 为:



对应的动力系统是:



数值结果如下图(第一个图像):


 数值求解的GAN-QP对应的Dirac GAN的优化轨迹(二维情形),可以发现它确实只是在均衡点(红色点)周围振荡,不收敛

 数值求解的带有L2正则项的GAN-QP版本的Dirac GAN,其他条件一样,仅加入了L2正则,这表明适当的L2正则项有可能诱导收敛


很遗憾,同大多数 GAN 一样,GAN-QP 也是振荡的。


缓解策略


通过上面的分析,我们得到的结论是:目前零中心的 WGAN-GP(或者称为 WGAN-div)的理论性质最好,只有它是局部收敛的,其余的 GAN 变体都一定的振荡性,无法真正做到渐近收敛。当然,实际情况可能复杂得多,Dirac GAN 的结论只能一定程度上说明问题,带来一个直观感知。 


那么,如果 Dirac GAN 的结论具有代表性的话(即多数 GAN 实际情况下都难以真正收敛,而是在均衡点附近振荡),我们应该如何缓解这个问题呢? 


L2正则项


第一个方案是考虑往(任意 GAN 的)判别器的权重加入 L2 正则项。综上所述,零中心的梯度惩罚确实很好,但无奈梯度惩罚太慢,如果不愿意加梯度惩罚,那么可以考虑加入 L2 正则项。 


直观上看,GAN 在均衡点附近陷入振荡,达到一种动态平衡(周期解,而不是静态解),而 L2 正则项会迫使判别器的权重向零移动,从而有可能打破这种平衡,如上图中的第二个图像。在我自己的 GAN 实验中,往判别器加入一个轻微的 L2 正则项,能使得模型收敛更稳定,效果也有轻微提升。(当然,正则项的权重需要根据模型来调整好。)


权重滑动平均


事实上,缓解这个问题最有力的技巧,当属权重滑动平均(EMA)


权重滑动平均的基本概念,我们在“让Keras更酷一些!”:中间变量、权重滑动和安全生成器已经介绍过。对于 GAN 上的应用,其实不难理解,因为可以观察到,尽管多数 GAN 最终都是在振荡,但它们振荡中心就是均衡点!所以解决方法很简单,直接将振荡的轨迹上的点平均一下,得到近似的振荡中心,然后就得到了一个更接近均衡点(也就是更高质量)的解! 


权重滑动平均带来的提升是非常可观的,如下图比较了有无权重滑动平均时,O-GAN 的生成效果图:


 没有权重滑动平均时的随机生成效果


 权重滑动平均的衰减率为0.999时的随机生成效果


 权重滑动平均的衰减率为0.9999时的随机生成效果


可以看到,权重滑动平均几乎给生成效果带来了质的提升。衰减率越大,所得到的生成结果越平滑,但同时会丧失一些细节;衰减率越小,保留的细节越多,但自然也可能保留了额外的噪声。现在主流的 GAN 都使用了权重滑动平均,衰减率一般为 0.999。


顺便说一下,在普通的监督训练模型中,权重滑动平均一般也能带来收敛速度的提升,比如下图是有/无权重滑动平均时,ResNet20 模型在 cifar10 上的训练曲线,全程采用 Adam 优化器训练,学习率恒为 0.001,权重滑动平均的衰减率为 0.9999:


 有无EMA时Adam默认学习率训练ResNet20的表现


可以看到,加上权重滑动平均之后,模型以一种非常平稳、快速的姿态收敛到 90%+ 的准确率,而不加的话模型准确率一直在 86% 左右振荡。这说明类似 GAN 的振荡现象在深度学习训练时是普遍存在的,通过权重平均可以得到质量更好的模型。


文章小结


本文主要从动力学角度探讨了 GAN 的优化问题。跟本系列的其他文章一样,将优化过程视为常微分方程组的求解,对于 GAN 的优化,这个常微分方程组稍微复杂一些。 


分析的过程采用了 Dirac GAN 的思路,利用单点分布的极简情形对 GAN 的收敛过程形成快速认识,得到的结论是大多数 GAN 都无法真正收敛到均衡点,而只是在均衡点附近振荡。而为了缓解这个问题,最有力的方法是权重滑动平均,它对 GAN 和普通模型训练都有一定帮助。


本文作图代码参考:


https://github.com/bojone/gan/blob/master/gan_numeric.py


参考文献


[1] https://kexue.fm/archives/6016

[2] Lars Mescheder and Sebastian Nowozin and Andreas Geiger. "The Numerics of GANs". Advances in Neural Information Processing Systems. 2017. 

[3] Martin Heusel, Hubert Ramsauer, Thomas Unterthiner, Bernhard Nessler and Sepp Hochreiter. "GANs Trained by a Two Time-Scale Update Rule Converge to a Local Nash Equilibrium". Advances in Neural Information Processing Systems. 2017. 

[4] Vaishnavh Nagarajan, J. Zico Kolter. "Gradient descent GAN optimization is locally stable". Advances in Neural Information Processing Systems. 2017. 

[5] Lars Mescheder, Andreas Geiger and Sebastian Nowozin. "Which Training Methods for GANs do actually Converge?". International Conference on Machine Learning 2018. 

[6] Ishaan Gulrajani, Faruk Ahmed, Martin Arjovsky, Vincent Dumoulin and Aaron Courville. "Improved Training of Wasserstein GANs". Advances in Neural Information Processing Systems. 2017. 

[7] Jiqing Wu, Zhiwu Huang, Janine Thoma, Dinesh Acharya and Luc Van Gool. "Wasserstein Divergence for GANs". The European Conference on Computer Vision (ECCV). 2018.




点击以下标题查看作者其他文章: 





#投 稿 通 道#

 让你的论文被更多人看到 



如何才能让更多的优质内容以更短路径到达读者群体,缩短读者寻找优质内容的成本呢?答案就是:你不认识的人。


总有一些你不认识的人,知道你想知道的东西。PaperWeekly 或许可以成为一座桥梁,促使不同背景、不同方向的学者和学术灵感相互碰撞,迸发出更多的可能性。


PaperWeekly 鼓励高校实验室或个人,在我们的平台上分享各类优质内容,可以是最新论文解读,也可以是学习心得技术干货。我们的目的只有一个,让知识真正流动起来。


📝 来稿标准:

• 稿件确系个人原创作品,来稿需注明作者个人信息(姓名+学校/工作单位+学历/职位+研究方向) 

• 如果文章并非首发,请在投稿时提醒并附上所有已发布链接 

• PaperWeekly 默认每篇文章都是首发,均会添加“原创”标志


📬 投稿邮箱:

• 投稿邮箱:hr@paperweekly.site 

• 所有文章配图,请单独在附件中发送 

• 请留下即时联系方式(微信或手机),以便我们在编辑发布时和作者沟通




🔍


现在,在「知乎」也能找到我们了

进入知乎首页搜索「PaperWeekly」

点击「关注」订阅我们的专栏吧



关于PaperWeekly


PaperWeekly 是一个推荐、解读、讨论、报道人工智能前沿论文成果的学术平台。如果你研究或从事 AI 领域,欢迎在公众号后台点击「交流群」,小助手将把你带入 PaperWeekly 的交流群里。


▽ 点击 | 阅读原文 | 查看作者博客

登录查看更多
11

相关内容

GAN:生成性对抗网,深度学习模型的一种,在神经网络模型中引入竞争机制,非常流行。
【斯坦福】凸优化圣经- Convex Optimization (附730pdf下载)
专知会员服务
231+阅读 · 2020年6月5日
深度强化学习策略梯度教程,53页ppt
专知会员服务
184+阅读 · 2020年2月1日
GANs最新综述论文: 生成式对抗网络及其变种如何有用
专知会员服务
72+阅读 · 2019年10月19日
GAN新书《生成式深度学习》,Generative Deep Learning,379页pdf
专知会员服务
208+阅读 · 2019年9月30日
GAN 真的创造了新的信息吗?
GAN生成式对抗网络
5+阅读 · 2019年5月24日
深度学习优化算法总结(SGD,AdaGrad,Adam等)
极市平台
34+阅读 · 2019年4月30日
从动力学角度看优化算法:一个更整体的视角
黑龙江大学自然语言处理实验室
8+阅读 · 2019年1月28日
换个角度看GAN:另一种损失函数
机器学习算法与Python学习
7+阅读 · 2019年1月1日
从动力学角度看优化算法:自适应学习率算法
PaperWeekly
8+阅读 · 2018年12月27日
再谈变分自编码器VAE:从贝叶斯观点出发
PaperWeekly
13+阅读 · 2018年4月2日
GAN完整理论推导、证明与实现(附代码)
数据派THU
5+阅读 · 2017年10月6日
Bivariate Beta LSTM
Arxiv
6+阅读 · 2019年10月7日
Physical Primitive Decomposition
Arxiv
4+阅读 · 2018年9月13日
A Multi-Objective Deep Reinforcement Learning Framework
Arxiv
15+阅读 · 2018年6月23日
Arxiv
4+阅读 · 2018年4月10日
VIP会员
相关资讯
GAN 真的创造了新的信息吗?
GAN生成式对抗网络
5+阅读 · 2019年5月24日
深度学习优化算法总结(SGD,AdaGrad,Adam等)
极市平台
34+阅读 · 2019年4月30日
从动力学角度看优化算法:一个更整体的视角
黑龙江大学自然语言处理实验室
8+阅读 · 2019年1月28日
换个角度看GAN:另一种损失函数
机器学习算法与Python学习
7+阅读 · 2019年1月1日
从动力学角度看优化算法:自适应学习率算法
PaperWeekly
8+阅读 · 2018年12月27日
再谈变分自编码器VAE:从贝叶斯观点出发
PaperWeekly
13+阅读 · 2018年4月2日
GAN完整理论推导、证明与实现(附代码)
数据派THU
5+阅读 · 2017年10月6日
相关论文
Bivariate Beta LSTM
Arxiv
6+阅读 · 2019年10月7日
Physical Primitive Decomposition
Arxiv
4+阅读 · 2018年9月13日
A Multi-Objective Deep Reinforcement Learning Framework
Arxiv
15+阅读 · 2018年6月23日
Arxiv
4+阅读 · 2018年4月10日
Top
微信扫码咨询专知VIP会员