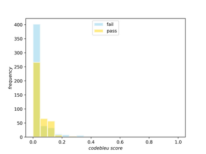
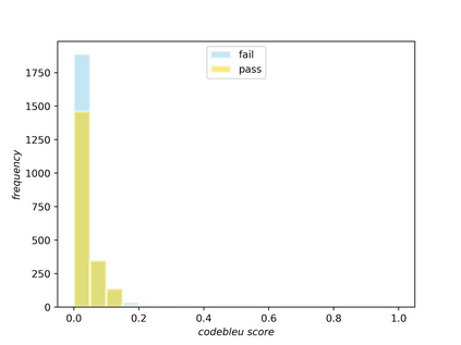
To extend the scope of coding queries to more realistic settings, we propose ODEX, the first open-domain execution-based natural language (NL) to code generation dataset. ODEX has 945 NL-Code pairs spanning 79 diverse libraries, along with 1,707 human-written test cases for execution. Our NL-Code pairs are harvested from StackOverflow forums to encourage natural and practical coding queries, which are then carefully rephrased to ensure intent clarity and prevent potential data memorization. Moreover, ODEX supports four natural languages as intents, in English, Spanish, Japanese, and Russian. ODEX unveils intriguing behavioral differences between top-performing Code LMs: Codex performs better on open-domain queries, yet CodeGen captures a better balance between open- and closed-domain. ODEX corroborates the merits of execution-based evaluation over metrics without execution but also unveils their complementary effects. Powerful models such as CodeGen-6B only achieve an 11.96 pass rate at top-1 prediction, suggesting plenty of headroom for improvement. We release ODEX to facilitate research into open-domain problems for the code generation community.


翻译:为了将编码查询的范围扩大到更现实的设置,我们建议ODEX,这是第一个以开放域执行为基础的自然语言(NL),用于代码生成数据集。ODEX有945种NL-Code配对,涵盖79个不同的图书馆,还有1 707个人为的测试案例供执行。我们的NL-Code配对从StackOverslow论坛收获出来,以鼓励自然和实际的编码查询,然后仔细地重新表述,以确保意图清晰,防止潜在的数据记忆化。此外,ODEX支持四种自然语言,作为用英文、西班牙文、日文和俄文表示的意图。ODEX揭露了最高性能代码LMS之间令人好奇的行为差异:代码在开放域查询方面表现更好,而代码Gen则在开放域与封闭域之间取得更好的平衡。ODEX印证了在不执行的情况下对衡量标准进行基于执行的评价的优点,但也暴露了它们的互补效果。DODEX等强大的模型在顶层-1的预测中只达到11.96的通过率,这表明头室在生成软件方面有大量的问题。

0
下载
关闭预览

相关内容

代码(Code)是专知网的一个重要知识资料文档板块,旨在整理收录论文源代码、复现代码,经典工程代码等,便于用户查阅下载使用。
专知会员服务
124+阅读 · 2020年9月8日
Linux导论,Introduction to Linux,96页ppt
专知会员服务
82+阅读 · 2020年7月26日
100+篇《自监督学习(Self-Supervised Learning)》论文最新合集
专知会员服务
167+阅读 · 2020年3月18日
强化学习最新教程,17页pdf
专知会员服务
182+阅读 · 2019年10月11日
机器学习入门的经验与建议
专知会员服务
94+阅读 · 2019年10月10日
【哈佛大学商学院课程Fall 2019】机器学习可解释性
专知会员服务
105+阅读 · 2019年10月9日
VCIP 2022 Call for Special Session Proposals
CCF多媒体专委会
1+阅读 · 2022年4月1日
IEEE ICKG 2022: Call for Papers
机器学习与推荐算法
3+阅读 · 2022年3月30日
ACM MM 2022 Call for Papers
CCF多媒体专委会
5+阅读 · 2022年3月29日
AIART 2022 Call for Papers
CCF多媒体专委会
1+阅读 · 2022年2月13日
【ICIG2021】Latest News & Announcements of the Tutorial
中国图象图形学学会CSIG
3+阅读 · 2021年12月20日
Hierarchically Structured Meta-learning
CreateAMind
27+阅读 · 2019年5月22日
Transferring Knowledge across Learning Processes
CreateAMind
29+阅读 · 2019年5月18日
Unsupervised Learning via Meta-Learning
CreateAMind
43+阅读 · 2019年1月3日
A Technical Overview of AI & ML in 2018 & Trends for 2019
待字闺中
18+阅读 · 2018年12月24日
vae 相关论文 表示学习 1
CreateAMind
12+阅读 · 2018年9月6日
国家自然科学基金
0+阅读 · 2015年12月31日
国家自然科学基金
0+阅读 · 2013年12月31日
国家自然科学基金
0+阅读 · 2013年12月31日
国家自然科学基金
0+阅读 · 2012年12月31日
国家自然科学基金
1+阅读 · 2012年12月31日
国家自然科学基金
0+阅读 · 2011年12月31日
国家自然科学基金
0+阅读 · 2011年12月31日
国家自然科学基金
0+阅读 · 2011年12月31日
国家自然科学基金
0+阅读 · 2009年12月31日
An Overview on Machine Translation Evaluation
Arxiv
14+阅读 · 2022年2月22日
VIP会员
相关VIP内容
专知会员服务
124+阅读 · 2020年9月8日
Linux导论,Introduction to Linux,96页ppt
专知会员服务
82+阅读 · 2020年7月26日
100+篇《自监督学习(Self-Supervised Learning)》论文最新合集
专知会员服务
167+阅读 · 2020年3月18日
强化学习最新教程,17页pdf
专知会员服务
182+阅读 · 2019年10月11日
机器学习入门的经验与建议
专知会员服务
94+阅读 · 2019年10月10日
【哈佛大学商学院课程Fall 2019】机器学习可解释性
专知会员服务
105+阅读 · 2019年10月9日
相关资讯
VCIP 2022 Call for Special Session Proposals
CCF多媒体专委会
1+阅读 · 2022年4月1日
IEEE ICKG 2022: Call for Papers
机器学习与推荐算法
3+阅读 · 2022年3月30日
ACM MM 2022 Call for Papers
CCF多媒体专委会
5+阅读 · 2022年3月29日
AIART 2022 Call for Papers
CCF多媒体专委会
1+阅读 · 2022年2月13日
【ICIG2021】Latest News & Announcements of the Tutorial
中国图象图形学学会CSIG
3+阅读 · 2021年12月20日
Hierarchically Structured Meta-learning
CreateAMind
27+阅读 · 2019年5月22日
Transferring Knowledge across Learning Processes
CreateAMind
29+阅读 · 2019年5月18日
Unsupervised Learning via Meta-Learning
CreateAMind
43+阅读 · 2019年1月3日
A Technical Overview of AI & ML in 2018 & Trends for 2019
待字闺中
18+阅读 · 2018年12月24日
vae 相关论文 表示学习 1
CreateAMind
12+阅读 · 2018年9月6日
相关基金
国家自然科学基金
0+阅读 · 2015年12月31日
国家自然科学基金
0+阅读 · 2013年12月31日
国家自然科学基金
0+阅读 · 2013年12月31日
国家自然科学基金
0+阅读 · 2012年12月31日
国家自然科学基金
1+阅读 · 2012年12月31日
国家自然科学基金
0+阅读 · 2011年12月31日
国家自然科学基金
0+阅读 · 2011年12月31日
国家自然科学基金
0+阅读 · 2011年12月31日
国家自然科学基金
0+阅读 · 2009年12月31日
Top
微信扫码咨询专知VIP会员